Giải bài tập Hóa 10 nâng cao bài 51
Hóa học 10: Luyện tập. Tốc độ phản ứng và cân bằng hóa học
VnDoc xin giới thiệu tới bạn đọc tài liệu Giải bài tập Hóa 10 nâng cao bài 51, nội dung tài liệu gồm 7 bài tập trang 216, 217 SGK kèm theo lời giải chi tiết sẽ giúp các bạn học sinh có kết quả tốt hơn trong học tập. Mời các bạn học sinh tham khảo.
Giải bài tập Hóa 10 nâng cao bài 45
Giải bài tập Hóa 10 nâng cao bài 46
Giải bài tập Hóa 10 nâng cao
Bài 1 (trang 216 sgk Hóa học 10 nâng cao): Nội dung nào thể hiện trong các câu sau đây là sai?
A. Nhiên liệu cháy ở tầng khí quyển trên cao nhanh hơn khi cháy ở mặt đất.
B. Nước giải khát được nén khí CO2 ở áp suất cao hơn có độ chua (độ axit) lớn hơn.
C. Thực phẩm được bảo quản ở nhiệt độ thấp hơn sẽ giữ được lâu hơn.
D. Than cháy trong oxi nguyên chất nhanh hơn khi cháy trong không khí.
Lời giải:
Chọn A.
Bài 2 (trang 216 sgk Hóa 10 nâng cao): Nội dung nào thể hiện trong các câu sau đây là đúng?
A. Hằng số cân bằng KC của mọi phản ứng đều tăng khi tăng nhiệt độ.
B. Hằng số cân bằng KC càng lớn, hiệu suất phản ứng càng nhỏ.
C. Khi một phản ứng thuận nghịch ở trạng thái cân bằng cũ chuyển sang trạng thái cân bằng mới ở nhiệt độ không đổi, hằng số cân bằng KC biến đổi.
D. Khi thay đổi hệ số tỉ lượng các chất trong phương trình hóa học của một phản ứng, giá trị của hằng số cân bằng KC thay đổi.
Lời giải:
Chọn D.
Bài 3 (trang 216 sgk Hóa 10 nâng cao): Trong các cặp phản ứng sau, phản ứng nào có tốc độ lớn hơn?
a) Fe + CuSO4 (2M) và Fe + CuSO4 (4M) (cùng nhiệt độ).
b) Zn + CuSO4 (2M, 25oC) và Zn + CuSO4 (2M, 50°C).
c) Zn (hạt) + CuSO4 (2M) và Zn (bột) + CuSO4 (2M) (cùng nhiệt độ).
Lời giải:
Phản ứng có tốc độ lớn hơn:
a) Fe + CuSO4 (4M).
b) Zn + CuSO4 (2M, 50oC).
c) Zn (bột) + CuSO4 (2M).
![]()
Bài 4 (trang 216 sgk Hóa 10 nâng cao): Cho phản ứng thuận nghịch sau:
2NaHCO3(r) ⇌ Na2CO3(r) + CO2(k) + H2O(k); ΔH = 129kJ
Có thể dùng những biện pháp gì để chuyển hóa nhanh và hoàn toàn NaHCO3 thành Na2CO3?
Lời giải:
Biện pháp để cạn bằng chuyển dịch hoàn toàn theo chiều thuận:
Đun nóng.
- Giảm áp suất bằng cách thực hiện phản ứng trong bình hở.
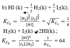
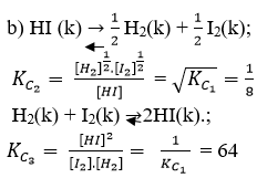
Bài 5 (trang 216 sgk Hóa 10 nâng cao): Khi đun nóng HI trong một bình kín, xảy ra phản ứng sau:
2HI(k) ⇌ H2(k) + I2(k)
a) Ở một nhiệt độ nào đó, hằng số cân bằng KC của phản ứng bằng 1/64. Tính xem có bao nhiêu phần trăm HI bị phân hủy ở nhiệt độ đó.
b) Tính hằng số cân bằng KC của hai phản ứng sau ở cùng nhiệt độ như trên:
Lời giải:
Gọi KC1, KC2, KC3 lần lượt là các hằng số cân bằng của các phản ứng đã cho.
a) Ta có:

Giả sử ban đầu nồng độ HI là 1 mol/l
Tại thời điểm cân bằng nồng độ HI phân hủy là 2x: [H2] = [I2] = x.
![]()
Phần trăm HI bị phân hủy:

Bài 6 (trang 217 sgk Hóa 10 nâng cao): Phản ứng nung vôi xảy ra như sau trong một bình kín:
CaCO3 (r) ⇌ CaO(r) + CO2(k); ΔH = 178kJ
Ở 820oC hằng số cân bằng KC = 4,28.10-3
a) Phản ứng trên là tỏa nhiệt hay thu nhiệt?
b) Khi phẳn ứng đang ở trạng thái cân bằng, nếu biến đổi một trong những điều kiện sau đây thì hằng số cân bằng KC có biến đổi không và biến đổi như thế nào? Giải thích.
- Thêm khí CO2 vào.
- Lấy bớt một lượng CaCO3 ra.
- Tăng dung tích của bình phản ứng lên.
- Giảm nhiệt độ của phản ứng xuống.
c) Tại sao miệng của các lò nung vôi lại để hở? Nếu đậy kín xảy ra hiện tượng gì? Tại sao?
Lời giải:
Phản ứng nung vôi: CaCO3 (r) ⇌ CaO(r) + CO2(k); ΔH = 178kJ
a) Phản ứng trên là thu nhiệt
b) - Khi thêm khí CO2, hằng số cân bằng KC tăng vì KC = [CO2]:
- Lượng CaCO3(r) không ảnh hưởng đến KC.
- Khi tăng dung tích của bình phản ứng, KC giảm vì [CO2] giảm.
- Khi giảm nhiệt độ, cân bằng của phản ứng nung vôi chuyển dịch theo chiều nghịch. Nồng độ CO2 giảm dẫn đến KC giảm.
c) Miệng các lò nung vôi để hở vì làm như vậy áp suất khí CO2 giảm, cân bằng chuyển dịch theo chiều thuận.
Nếu đậy kín, áp suất khí CO2 tăng, cân bằng chuyển dịch theo chiều nghịch.
Giải thích: Áp dụng nguyên lí La Sơ-tơ-li-ê nên Kc = [CO2].
Bài 7 (trang 217 sgk Hóa 10 nâng cao): Cho 0,1 mol CaCO3(r) vào bình chân không dung tích 1 lít để thực hiện phản ứng sau:
CaCO3 (r) ⇌ CaO(r) + CO2(k);
Ở nhiệt độ 820oC, hằng số cân bằng KC = 4,28.10-3
Ở nhiệt độ 880oC, hằng số cân bằng KC = 1,06.10-2.
Tính hiệu suất chuyển hóa CaCO3 thành CaO và CO2 (%CaCO3 bị phân hủy) khi đạt đến trạng thái cân bằng ở hai nhiệt độ trên. So sánh các kết quả thu được hãy rút ra kết luận và giải thích.
Lời giải:
Phản ứng xảy ra: CaCO3 (r) ⇌ CaO(r) + CO2(k);; K = [CO2].
+ Ở nhiệt độ 820oC: KC = 4,28.10-3, do đó [CO2] = 4,28.10-3 (mol/l)

+ Ở nhiệt độ 880oC: KC = 1,06.10-2, do đó [CO2] = 1,06.10-2 (mol/l)

Vậy ở nhiệt độ cao hơn, lượng CaO, CO2 tạo thành theo phản ứng nhiều hơn, nghĩa là ở nhiệt độ cao hơn hiệu suất chuyển hóa CaCO3 thành CaO và CO2 lớn hơn.
Giải thích: Phản ứng nung vôi là phản ứng thu nhiệt. Cân bằng phản ứng dịch chuyển theo chiều thuận khi tăng nhiệt độ.
-----------------------------------
Trên đây VnDoc.com đã giới thiệu tới bạn đọc tài liệu: Giải bài tập Hóa 10 nâng cao bài 51. Để có kết quả cao hơn trong học tập, VnDoc xin giới thiệu tới các bạn học sinh tài liệu Giải bài tập Toán 10, Giải bài tập Vật Lí 10, Giải bài tập Sinh học 10, Giải bài tập Hóa học 10 mà VnDoc tổng hợp và đăng tải.