Giải bài tập Hóa 10 nâng cao bài 49
Hóa học 10: Tốc độ phản ứng hóa học
VnDoc xin giới thiệu tới bạn đọc tài liệu Giải bài tập Hóa 10 nâng cao bài 49, tài liệu gồm 9 bài tập trang 202, 203 SGK kèm theo lời giải chi tiết sẽ giúp các bạn học sinh có kết quả cao hơn trong học tập. Mời các bạn học sinh tham khảo.
Giải bài tập Hóa 10 nâng cao bài 43
Giải bài tập Hóa 10 nâng cao bài 44
Giải bài tập Hóa 10 nâng cao
Bài 1 (trang 202 sgk Hóa 10 nâng cao): Ý nào sau đây là đúng?
A. Bất cứ phản ứng nào cũng chỉ vận dụng được một trong các yếu tố ảnh hưởng đến tốc độ phản ứng để tăng tốc độ phản ứng.
B. Bất cứ phản ứng nào cũng phải vận dụng đủ các yếu tố ảnh hưởng đến tốc độ phản ứng mới tăng được tốc độ phản ứng.
C. Tùy theo phản ứng mà vận dụng một, một số hay tất cả các yếu tố ảnh hưởng đến tốc độ phản ứng để tăng tốc độ phản ứng.
D. Bất cứ phản ứng nào cũng cần chất xúc tác để tăng tốc độ phản ứng.
Lời giải:
Chọn C.
Bài 2 (trang 202 sgk Hóa 10 nâng cao): Yếu tố nào dưới đây không ảnh hưởng đến tốc độ của phản ứng sau:
2KClO3(r) → 2KCl(r) + 3O2(k)
A. Nhiệt độ.
B. Chất xúc tác.
C. Áp suất.
D. Kích thước các tinh thể KClO3.
Lời giải:
Chọn B.
Bài 3 (trang 202 sgk Hóa 10 nâng cao): Tìm một số thí dụ cho mỗi loại phản ứng nhanh và chậm mà em quan sát được trong cuộc sống và trong phòng thí nghiệm.
Lời giải:
Các ví dụ về loại phản ứng:
- Phản ứng nhanh: phản ứng nổ, sự đốt cháy các nhiên liệu (than, dầu, khí đốt,...) phản ứng giữa hai dung dịch AgNO3 và NaCl,...
- Phản ứng chậm: sự gỉ sắt, sự lên men rượu,...
Bài 4 (trang 202 sgk Hóa 10 nâng cao): Tốc độ phản ứng là gì?
Lời giải:
Tốc độ phản ứng là độ biến thiên nồng độ của một trong các chất phản ứng hoặc sản phẩm trong một đơn vị thời gian.
Bài 5 (trang 202 sgk Hóa 10 nâng cao): Hãy cho biết các yếu tố ảnh hưởng đến tốc độ phản ứng như thế nào? Giải thích.
Lời giải:
Các yếu tố ảnh hưởng đến tốc độ phản ứng.
a) Ảnh hưởng của nồng độ: Khi tăng nồng độ chất phản ứng, tốc độ phản ứng tăng. Giải thích: Điều kiện để các chất phản ứng với nhau là chúng phải va chạm vào nhau, tần số va chạm càng lớn thì tốc độ phản ứng càng lớn. Khi nồng độ các chất phản ứng tăng, tần số va chạm tăng nên tốc độ phản ứng tăng.
b) Ảnh hưởng của áp suất: Đối với phản ứng có chất khí, khi tăng áp suất, tốc độ phản ứng tăng.
Giải thích: Khi áp suất tăng, nồng độ các chất khí tăng tần số va chạm tăng nên tốc độ phản ứng tăng.
c) Ảnh hưởng của nhiệt độ: Khi tăng nhiệt độ, tốc độ phản ứng tăng.
Giải thích: Khi nhiệt độ tăng dần đến hai hệ quả sau:
- Tốc độ chuyển động của các phân tử tăng, dẫn đến tần số va chạm giữa các phân tử chất phản ứng tăng.
- Tần số va chạm có hiệu quả giữa các phân tử chất phản ứng tăng nhanh.
d) Ánh hưởng của diện tích bề mặt: Khi tăng diện tích bề mặt chất phản ứng, tốc độ phản ứng tăng.
Giải thích: Chất rắn với kích thước hạt nhỏ, có tổng diện tích bề mặt tiếp xúc với chất phản ứng lớn hơn so với chất rắn có kích thước lớn hơn và cùng khối lượng, nên tốc độ phản ứng lớn hơn.
e) Ảnh hưởng của chất xúc tác: Chất xúc tác là chất làm tăng tốc độ phản ứng, nhưng còn lại sau khi phản ứng kết thúc.
Giải thích: Chất xúc tác làm yếu liên kết giữa các nguyên tử của phân tử tham gia phản ứng làm biến đổi cơ chế phản ứng nên làm tăng tốc độ phản ứng.
Bài 6 (trang 202 sgk Hóa 10 nâng cao): Hãy cho biết người ta lợi dụng yếu tố nào để tăng tốc độ phản ứng trong các trường hợp sau:
a) Dùng không khí nén, nóng thổi vào lò cao để đốt cháy than cốc (trong sản xuất gang).
b) Nung đá vôi ở nhiệt độ cao để sản xuất vôi sống.
c) Nghiền nguyên liệu trước khi đưa vào lò nung để sản xuất clanhke (trong sản xuất xi măng).
Lời giải:
a) Dùng yếu tố áp suất nhiệt độ (tăng áp suất và nhiệt độ).
b) Dùng yếu tố nhiệt độ (tăng nhiệt độ).
c) Dùng yếu tố diện tích tiếp xúc (tăng diện tích tiếp xúc của nguyên liệu).
Bài 7 (trang 203 sgk Hóa 10 nâng cao): Cho 6 gam kẽm hạt vào một cốc đựng dung dịch H2SO4 4M (dư) ở nhiệt độ thường. Nếu giữ nguyên các điều kiện khác, chỉ biến đổi một trong các điều kiện sau đây thì tốc độ phản ứng biến đổi như thế nào (tăng lên, giảm xuống hay không đổi)?
a) Thay 6 gam kẽm hạt bằng 6g kẽm bột.
b) Thay dung dịch H2SO4 4M bằng dung dịch 2SO4 2M.
c) Thực hiện phản ứng ở nhiệt độ cao hơn (khoảng 50°C).
d) Dùng thể tích dung dịch 2SO4 4M gấp đôi ban đầu.
Lời giải:
a) Tốc độ phản ứng tăng lên (tăng diện tích bề mặt).
b) Tốc độ phản ứng giảm xuống (giảm nồng độ chất phản ứng).
c) Tốc độ phản ứng tăng lên (tăng nhiệt độ).
d) Tốc độ phản ứng không thay đổi.
Bài 8 (trang 203 sgk Hóa 10 nâng cao): Giải thích tại sao; nhiệt độ của ngọn lửa axetilen cháy trong oxi cao hơn nhiều so với cháy trong không khí.
Lời giải:
Nhiệt độ của ngọn lửa axetilen cháy trong oxi cao hơn nhiều so với cháy trong không khí vì nồng độ oxi trong oxi nguyên chất (100%) lớn hơn rất nhiều lần nồng độ oxi trong không khí (20% theo số mol). Do đó tốc độ phản ứng cháy trong oxi nguyên chất lớn hơn nhiều so với tốc độ phản ứng cháy trong không khí, nên phản ứng cháy của axetilen trong oxi nguyên chất xảy ra nhanh hơn, trong một đơn vị thời gian nhiệt tỏa ra nhiều hơn. Ngoài ra khí axetilen cháy trong không khí, một phần nhiệt lượng tỏa ra bị nitơ không khí hấp thụ làm nhiệt độ ngọn lửa giảm bớt.
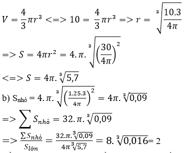
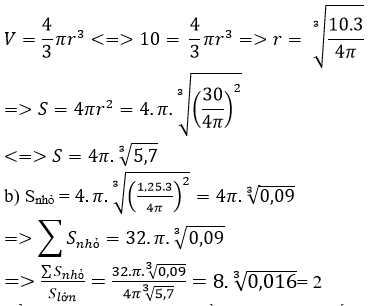
Bài 9 (trang 203 sgk Hóa học 10 nâng cao): Hai mẩu đá vôi hình cầu có cùng thể tích là 10,00cm3 (thể tích hình cầu V = 4/3 πr3, r là bán kính của hình cầu).
a) Tính diện tích mặt cầu của mỗi mẩu đá đó (diện tích mặt cầu S = 4πr2).
b) Nếu chia một mẩu đá trên thành 8 quả cầu bằng nhau, mỗi quả cầu có thể tích là l,25cm3. So sánh tổng diện tích mặt cầu của 8 quả cầu đó với diện tích mặt cầu của mỗi mẩu đá 10,00cm3.
Cho mỗi mẩu đá trên (một mẩu với thể tích 10,00cm3, mẩu kia gồm 8 quả cầu nhỏ) vào mỗi cốc đều chứa dung dịch HCl cùng nồng độ. Hỏi tốc độ phản ứng trong cốc nào lớn hơn? Giải thích.
Lời giải:
a) Áp dụng công thức tính thể tích khối cầu:
Tổng diện tích của 8 quả cầu nhỏ lớn hơn gấp hai lần diện tích quả cầu lớn.
=> Tốc độ phản ứng trong cốc chứa 8 quả cầu nhỏ sẽ lớn hơn, do diện tích tiếp xúc với HCl lớn hơn.
-----------------------------------
Trên đây VnDoc.com đã giới thiệu tới bạn đọc tài liệu: Giải bài tập Hóa 10 nâng cao bài 49. Để có kết quả cao hơn trong học tập, VnDoc xin giới thiệu tới các bạn học sinh tài liệu Giải bài tập Toán 10, Giải bài tập Vật Lí 10, Giải bài tập Sinh học 10, Giải bài tập Hóa học 10 mà VnDoc tổng hợp và đăng tải.
