Giải bài tập Hóa 10 nâng cao bài 3
Hóa học 10 - Đồng vị. Nguyên tử khối và nguyên tử khối trung bình
VnDoc mời các bạn học sinh tham khảo tài liệu Giải bài tập Hóa 10 nâng cao bài 3 nội dung tài liệu gồm 6 bài tập trang 14 SGK kèm theo lời giải chi tiết sẽ giúp các bạn học sinh có kết quả cao hơn trong học tập. Mời thầy cô và các bạn học sinh cùng tham khảo.
Giải bài tập Hóa 10 nâng cao bài 1
Giải bài tập Hóa 10 nâng cao bài 2
Trắc nghiệm Hóa 10 Bài 1: Thành phần nguyên tử
Trắc nghiệm Hóa học 10 bài 3: Luyện tập: Thành phần nguyên tử
Giải bài tập Hóa 10 nâng cao
Bài 1 (trang 14 sgk Hóa học 10 nâng cao): Nguyên tố cacbon có hai đồng vị bền:
Nguyên tử khối trung bình của nguyên tố cacbon là:
A. 12,500.
B. 12,011.
C. 12,022.
D. 12,055.
Lời giải:
Chọn B. Ta có:

Bài 2 (trang 14 sgk Hóa 10 nâng cao): Cho biết số proton, số nơtron và số electron của các đồng vị sau đây:

Lời giải:

Bài 3 (trang 14 sgk Hóa 10 nâng cao): Nguyên tử khối trung bình của bạc bằng 107,02 lần nguyên tử khối của hiđro. Nguyên tử khối của hiđro bằng 1,008. Tính nguyên tử khối trung bình của bạc.
Lời giải:
Theo đề bài, ta có: AAg = 107,02.MH = 107,02.1,008 = 107,876 u.
Bài 4 (trang 14 sgk Hóa 10 nâng cao): Cho hai đồng vị hiđro và hai đồng vị của clo với tỉ lệ phần trăm số nguyên tử chiếm trong tự nhiên như sau:

a) Tính nguyên tử khối trung bình của mỗi nguyên tố
b) Có thể có bao nhiêu loại phân tử HCl khác nhau tạo nên từ hai đồng vị của hai nguyên tố đó?
c) Tính phân tử khối của mỗi loại phân tử nói trên.
Lời giải:
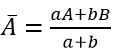
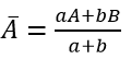
a) Nguyên tử khối trung bình mỗi nguyên tố.
Áp dụng công thức:

Ta tính được:
![]()
Các loại phân tử hiđro clorua có thể có:
Công thức phân tử:
![]()
c) Phân tử khối tương ứng của bốn loại trên là: 36; 38; 37; 39.
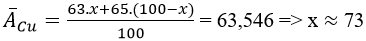
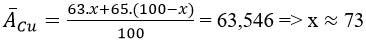
Bài 5 (trang 14 sgk Hóa 10 nâng cao): Nguyên tử khối trung bình của đồng bằng 63,546. Trong tự nhiên, đồng có hai đồng vị
\(_{29}^{63}Cu\) và
\(_{29}^{65}Cu\)
Tính tỉ lệ phần trăm số nguyên tử của đồng vị
\(_{29}^{63}Cu\)
tồn tại trong tự nhiên.
Lời giải:
Gọi X là phần trăm của đồng vị
\(_{29}^{63}Cu\)
=> Phần trăm của đồng vị
\(_{29}^{65}Cu\)
là (100 –x )
Ta có:
![]()
Vậy tỉ lệ phần trăm số nguyên tử của đồng vị
\(_{29}^{65}Cu\) là: 73%
Bài 6 (trang 14 sgk Hóa 10 nâng cao): Cho hai đồng vị
\(_1^1H^{ }\) (kí hiệu là H) và
\(_1^2H^{ }\) (kí hiệu là D)
a) Viết các công thức phân tử hiđro có thể có.
b) Tính phân tử khối của mỗi loại phân tử.
c) Một lít khí hiđro giàu đơteri ở điều kiện tiêu chuẩn nặng 0,05gam. Tính thành phần phần trăm khối lượng từng đồng vị của hiđro.
Lời giải:
a) Có 3 loại công thức phân tử hiđro là: H2; HD; D2.
b) Phân tử khối của mỗi phân tử là: 2; 3; 4;
c) Gọi x là phần trăm của đồng vị D => phần trăm của đồng vị H là (100 - x)
Ta có:
2x/100+1.(100-x)/100=0,05.22,4
Giải ra được %D = 12%; %H = 88%.
-----------------------------------
Trên đây VnDoc.com đã giới thiệu tới bạn đọc tài liệu: Giải bài tập Hóa 10 nâng cao bài 3. Để có kết quả cao hơn trong học tập, VnDoc xin giới thiệu tới các bạn học sinh tài liệu Giải bài tập Toán 10, Giải bài tập Vật Lí 10, Giải bài tập Sinh học 10, Giải bài tập Hóa học 10 mà VnDoc tổng hợp và đăng tải.