Giải bài tập Hóa 10 nâng cao bài 46
Hóa học 10: Luyện tập chương 6
VnDoc xin giới thiệu tới bạn đọc tài liệu Giải bài tập Hóa 10 nâng cao bài 46, tài liệu gồm 10 bài tập trang 190, 191 SGK kèm theo đáp án sẽ giúp các bạn học sinh có kết quả cao hơn trong học tập. Mời các bạn học sinh và thầy cô cùng tham khảo.
Giải bài tập Hóa 10 nâng cao bài 42
Giải bài tập Hóa 10 nâng cao bài 43
Giải bài tập Hóa 10 nâng cao
Bài 1 (trang 190 sgk Hóa 10 nâng cao): Chất nào sau đây vừa có tính oxi hóa, vừa có tính khử?
A. O3.
B. H2SO4.
C. H2S.
D. H2O2
Lời giải:
Chọn D
Bài 2 (trang 190 sgk Hóa 10 nâng cao): Câu nào sau đây không diễn tả, đúng tính chất của các chất?
A. O2 và O3 cùng có tính oxi hóa, nhưng O3 có tính oxi hóa mạnh hơn.
B. H2O và H2O2 cùng có tính oxi hóa, nhưng H2O có tính oxi hóa yếu hơn.
C. H2SO3 và H2SO4 cùng có tính oxi hóa, nhưng H2SO4 có tính oxi hóa mạnh hơn.
D. H2S và H2SO4 cùng có tính oxi hóa, nhưng H2S có tính oxi hóa yếu hơn.
Lời giải:
Chọn D
Bài 3 (trang 190 sgk Hóa 10 nâng cao): Axit sunfuric tham gia phản ứng với các chất, tùy thuộc vào điều kiện của phản ứng (nồng độ của axit, nhiệt độ của phản ứng, mức độ hoạt động của chất khử) có những phản ứng hóa học:
H2SO4 + HI → I2 + H2S + H2O
H2SO4 + HBr → Br2 + SO2 + H2O
H2SO4 + Fe → Fe2(SO4)2 + SO2 + H2O
H2SO4 + Zn → ZnSO4 + SO2 + H2O
H2SO4 + Zn → ZnSO4 + S + H2O
H2SO4 + Zn → ZnSO4 + H2S + H2O
a) Hãy cho biết số oxi hóa của những nguyên tố nào thay đổi và thay đổi như thế nào?
b) Lập phương trình hóa học của những phản ứng trên.
c) Cho biết vai trò của những chất tham gia các phản ứng oxi hóa-khử trên.
Lời giải:
a) b) Sự thay đổi số oxi hóa và lập phương trình phản ứng

c) Trong những phản ứng trên: H2SO4 là chất oxi hóa còn HI, HBr, Fe, Zn là các chất khử.
Bài 4 (trang 190 sgk Hóa 10 nâng cao): Những dụng cụ bằng bạc hoặc đồng sẽ chuyển thành màu đen trong không khí hay trong nước có chứa hiđro sunfua, là do chúng bị phủ bằng một lớp muối sunfua kim loại có màu đen theo các phản ứng sau:
Ag + H2S + O2 → Ag2S + H2O
Cu + H2S + O2 → CuS + H2O
a) Hãy xác định số oxi hóa của những nguyên tố tham gia phản ứng oxi hóa-khử.
b) Lập phương trình hóa học của những phản ứng trên.
c) Cho biết vai trò của những chất tham gia phản ứng oxi hóa - khử.
Lời giải:
a) Số oxi hóa của nguyên tố tham gia phản ứng oxi hóa - khử:
![]()
Số oxi hóa của Ag tăng từ 0 đến +1
Số oxi hóa của oxi giảm từ 0 xuống -2.
![]()
Số oxi hóa của Cu tăng từ 0 đến +2.
Số oxi hóa của oxi giảm từ 0 xuống -2.
b) Cân bằng phản ứng oxi hóa - khử.
4Ag + 2H2S + O2 → 2Ag2S + 2H2O
2Cu + 2H2S + O2 → 2CuS + 2H2O
c) Trong các phản ứng trên: chất khử là Ag, Cu còn chất oxi hóa là oxi.
Bài 5 (trang 191 sgk Hóa 10 nâng cao): Nếu đốt Mg trong không khí rồi đưa vào bình đựng khí lưu huỳnh đioxit, nhận thấy có hai chất bột được sinh ra: bột A màu trắng và bột B màu vàng. Bột B không tác dụng với dung dịch axit sunfuric loãng, nhưng cháy được trong không khí, sinh ra khí D làm mất màu dung dịch kali pemanganat.
a) Hãy cho biết tên các chất A, B, D và giải thích.
b) Viết phương trình hóa học của các phản ứng đã xảy ra.
Lời giải:
a) Tên các chất A, B, D: Chất A: MgO; chất B: S; chất D: SO2
b) Các phản ứng:

Bài 6 (trang 191 sgk Hóa 10 nâng cao): Trong phòng thí nghiệm, người ta có thể điều chế khí clo bằng những phản ứng sau:
a) Dùng MnO2 oxi hóa dung dịch HCl đặc.
b) Dùng KMnO4 oxi hóa dung dịch HCl đặc.
c) Dùng H2SO4 đặc tác dụng với hỗn hợp NaCl và MnO2.
Hãy viết các phương trình hóa học.
Lời giải:
Các phương trình phản ứng điều chế clo trong phòng thí nghiệm:

Bài 7 (trang 191 sgk Hóa học 10 nâng cao): Những hiđro halogenua nào có thể điều chế được khi cho axit sunfuric đặc tác dụng lần lượt với muối?
a) Natri florua;
b) Natri clorua;
c) Natri bromua;
d) Natri iotua.
Giải thích và viết phương trình hóa học.
Lời giải:
Những hiđro halogenua sau có thể điều chế được khi cho H2SO4 đặc tác dụng với muối
a) Natri florua: H2SO4 + 2NaF → 2HF + Na2SO4
b) Natri clorua:

Những phản ứng của H2SO4 đặc tác dụng với các muối NaBr, NaI không thể điều chế được HBr, HI vì:
2NaBr + H2SO4 đặc → Na2SO4 + 2HBr
2HBr + → Br2 + SO2↑ + 2H2O
2NaI + H2SO4 đặc → Na2SO4 + 2HI
8HI + H2SO4 đặc → 4I2 + H2S + 4H2O.
![]()
Bài 8 (trang 191 sgk Hóa 10 nâng cao): Một bình kín đựng oxi ở nhiệt độ toC có áp suất P1(atm), sau khi phóng tia lửa điện để chuyển oxi thành ozon bình được đưa về nhiệt độ ban đầu, áp suất khí trong bình lúc này là P2. Tiếp tục dẫn khí trong bình qua dung dịch KI (dư), thu được dung dịch A và 2,2848 lít khí (điều kiện tiêu chuẩn).
a) Tính hiệu suất của quá trình ozon hóa. Biết rằng để trung hòa dung dịch A cần dùng 150ml dung dịch H2SO4 0,08M.
b) Tính P2 theo P1
Lời giải:

Vậy hiệu suất phản ứng là:
![]()
b) Bình kín và nhiệt độ không đổi ta có:
![]()
Bài 9 (trang 191 sgk Hóa 10 nâng cao): Oleum là gì?
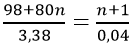
a) Hãy xác định công thức của oleum A, biết rằng sau khi hòa tan 3,38 gam A vào nước, người ta phải cùng 800ml dung dịch KOH 0,1M để trung hòa dung dịch A.
b) Cần hòa tan bao nhiêu gam oleum A vào 200 gam nước để được dung dịch H2SO4 10%?
Lời giải:
Oleum là dung dịch H2SO4 98% hấp thụ SO3 được oleum H2SO4.nSO3
H2SO4+ nSO3 → H2SO4.nSO3
a) Xác định công thức oleum.
![]()
Ta có: nKOH= 0,8.0,1 = 0,08 (mol)
Khi hòa tan oleum vào nước có quá trình:
H2SO4. nSO3 + nH2O → (n + 1) H2SO4 (2)
Từ (2) và đề bài, ta có:
![]()
Giải ra được n = 3. Vậy công thức phân tử oleum là: H2SO4. 3SO3.
b) Gọi a là số mol oleum H2SO4. 3SO3
Moleum = 98 + 240 = 338 u => moleum = 338a
Khi hòa tan oleum vào nước có phản ứng sau:

Khối lượng H2SO4 khi hòa tan a mol oleum: 98.4a = 392a
![]()
Vậy moleum phải dùng = 338.0,0558 = 18,86 (gam)
Bài 10 (trang 191 sgk Hóa 10 nâng cao): Nung 81,95 gam hỗn hợp KCl, KNO3, và KClO3 (xúc tác thích hợp) đến khi khối lượng không đổi. Sản phẩm khí sinh ra tác dụng với hiđro, thu được 14,4 gam H2O. Sản phẩm rắn sinh ra được hòa tan trong nước rồi xử lí dung dịch này bằng dung dịch AgNO3, sinh ra 100,45gam AgCl kết tủa.
a) Viết các phương trình hóa học.
b) Xác định khối lượng mỗi muối trong hỗn hợp ban đầu
Lời giải:
a) KClO3 và KNO3 bị nhiệt phân

b) Số mol H2O 0,8 mol; số mol AgCl 0,7 mol
Đặt số mol KClO3, KNO3 và KCl lần lượt là x mol, y mol và z mol
=>122,5x + 101y + 74,5z = 81,95 (*)
Từ (1), (2) và (3) => 1,5x + 0,5 y = 0,4 (**)
Từ (4) => nKCl = 0,7 = x + z (***)
Giải hệ (*), (**) và (***) ta được x = y = 0,2; z = 0,5

-----------------------------------
Trên đây VnDoc.com đã giới thiệu tới bạn đọc tài liệu: Giải bài tập Hóa 10 nâng cao bài 46. Để có kết quả cao hơn trong học tập, VnDoc xin giới thiệu tới các bạn học sinh tài liệu Giải bài tập Toán 10, Giải bài tập Vật Lí 10, Giải bài tập Sinh học 10, Giải bài tập Hóa học 10 mà VnDoc tổng hợp và đăng tải.
