Giải bài tập Vật lý 10 SBT bài 34, 35
Vật lý 10 - Chất rắn kết tinh. Chất rắn vô định hình. Biến dạng cơ của vật rắn
VnDoc xin giới thiệu tới các bạn học sinh lớp 10 tài liệu Giải bài tập Vật lý 10 SBT bài 34, 35, hy vọng qua bộ tài liệu các bạn học sinh sẽ rèn luyện giải bài tập Vật lý 10 được tốt hơn. Mời các bạn học sinh và thầy cô cùng tham khảo.
Giải bài tập Vật lý 10 SBT bài tập cuối chương 5
Giải bài tập Vật lý 10 SBT bài 32
Giải bài tập Vật lý 10
Bài 34 - 35.1, 34 - 35.2, 34 - 35.3, 34 - 35.4 trang 83 Sách bài tập (SBT) Vật lí 10
34-35.1. Một thanh đồng có đường kính 20 mm. Xác định độ biến dạng nén tỉ đối của thanh này khi hai đầu của nó chịu tác dụng một lực nén bằng 94,2 kN. Cho biết suất đàn hồi của đồng là 11,8.10l0 Pa.
A. 0,25%.
B. 0,025%.
C. 5,2%.
D. 0,52%.
Hướng dẫn trả lời:
Chọn đáp án A
34-35.2. Một dây cáp của cần cẩu chỉ chịu được ứng suất kéo không quá 60.106 Pa. Hỏi dây cáp này phải có đường kính nhỏ nhất bằng bao nhiêu để nó có thể kéo một vật trọng lượng 25 kN.
A. 23 cm.
B. 2,3 mm.
C. 23 mm.
D. 3,2 cm.
Hướng dẫn trả lời:
Chọn đáp án C
34-35.3. Một thanh thép dài 5 m có tiết diện 1,5 cm2 được giữ chặt một đầu. Khi chịu lực kéo tác dụng, thanh thép bị dãn dài thêm 2,5 mm. Cho biết suất đàn hồi của thép là E = 2,16.1011 Pa. Hãy xác định độ lớn của lực kéo này.
A. F = 6.144 N.
B. F = 1,62.104 N.
C. F= 1,5.107 N.
D. F = 3,5.105 N.
Hướng dẫn trả lời:
Chọn đáp án B
34-35.4. Một sợi dây sắt dài gấp đôi nhưng có tiết diện nhỏ bằng nửa tiết diện của sợi dây đồng. Giữ chặt đầu trên của mỗi sợi dây này và treo vào đầu dưới của mỗi dây một vật nặng giống nhau. Cho biết suất đàn hồi của sắt lớn hơn của đồng 1,6 lần. Hỏi sợi dây sắt bị dãn nhiều hơn hay ít hơn bao nhiêu lần
so với sợi dây đồng?
A. Dây sắt dãn ít hơn 1,6 lần.
B. Dây sắt dãn nhiều hơn 1,6 lần.
C. Dây sắt dãn ít hơn 2,5 lần.
D. Dây sắt dãn nhiều hơn 2,5 lần.
Hướng dẫn trả lời:
Chọn đáp án D
Bài 34 - 35.5 trang 83 Sách bài tập (SBT) Vật lí 10
Khi đun nóng chảy thiếc, đặc điểm gì chứng tỏ thiếc không phải là chất rắn vô định hình mà là chất rắn kết tinh?
Hướng dẫn trả lời:
Quan sát thấy thiếc nóng chảy ở nhiệt độ xác định không đổi. Đặc điểm này chứng tỏ thiếc không phải là vật rắn vô định hình, mà là chất rắn kết tinh.
Bài 34 - 35.6 trang 84 Sách bài tập (SBT) Vật lí 10
Sắt, đồng, nhôm và các kim loại khác dùng trong thực tế đều là những chất rắn kết tinh. Tại sao người ta không phát hiện được tính dị hướng của các chất rắn này?
Hướng dẫn trả lời:
Sắt, đồng, nhôm và các kim loại khác dùng trong thực tế thường là các vật rắn đa tinh thể. Chất rắn đa tinh thể cấu tạo từ vô số các tinh thể nhỏ sắp xếp hỗn độn nên tính dị hướng của các tinh thể nhỏ được bù trừ trong toàn khối chất Vì thế không phát hiện được tính dị hướng trong khối kim loại.
Bài 34 - 35.7 trang 84 Sách bài tập (SBT) Vật lí 10
Thanh dầm ngang bằng bê tông cốt thép luôn chịu tác dụng lực có xu hướng làm thanh dầm bị uốn cong. Cho biết bê tông chịu nén tốt, nhưng chịu kéo dãn kém. Hỏi trong phần nào của thanh dầm này, các thanh thép dùng làm cốt phải có đường kính lớn hơn và được đặt mau (dày) hơn?
Hướng dẫn trả lời
Khi thanh dầm ngang bằng bê tông cốt thép chịu biến dạng uốn thì phần nửa phía dưới chịu biến dạng kéo dãn và phần nửa phía trên chịu biến dạng nén. Vì bê tông chịu nén tốt, nhưng chịu kéo dãn kém nên cần phải dùng các thanh thép làm cốt có đường kính lớn hơn và phải đặt chúng mau (dày) hơn trong phần nửa phía dưới của thanh dầm bê tông.
Bài 34 - 35.8 trang 84 Sách bài tập (SBT) Vật lí 10
Một thanh xà ngang bằng thép dài 5 m có tiết diện 25 cm2. Hai đầu của thanh xà được gắn chặt vào hai bức tường đối diện. Hãy tính áp lực do thanh xà tác dụng lên hai bức tường khi thanh xà dãn dài thêm 1,2 mm do nhiệt độ của nó tăng. Cho biết thép có suất đàn hồi E = 20.1010 Pa. Bỏ qua biến dạng của các bức tường.
Hướng dẫn trả lời:
Vì hai bức tường cố định nên khoảng cách giữa chúng không đổi. Khi nhiệt độ tăng thì thanh xà nở dài thêm một đoạn Δl = 1,2 mm. Do đó, thanh xà tác dụng lên hai bức tường một lực có cường độ tính theo định luật Húc:
\(F = E{S \over {{l_0}}}\Delta l = {20.10^{10}}{{{{25.10}^{ - 4}}} \over 5}.1,{2.10^{ - 3}} = 1,{6.10^5}\left( N \right)\)
Bài 34 - 35.9 trang 84 Sách bài tập (SBT) Vật lí 10
Một chiếc cột bê tông cốt thép chịu lực nén F thẳng đứng do tải trọng đè lên nó. Giả sử suất đàn hồi của bê tông bằng 1/10 của thép, còn diện tích tiết diện ngang của thép bằng khoảng 1/20 của bê tông. Hãy tính phần lực nén do tải trọng tác dụng lên phần bê tông của chiếc cột này.
Hướng dẫn trả lời:
Gọi F1 là phần lực nén do tải trọng tác dụng lên phần bê tông của chiếc cột và F2 là phần lực nén do tải trọng tác dụng lên phần cốt thép của chiếc cột. Áp dụng định luật Húc, ta có:
\({F_1} = {E_1}{{{S_1}} \over l}\Delta l\) và
\({F_2} = {E_2}{{{S_2}} \over l}\Delta l\)
So sánh F1 với F2, với chú ý E1/E2 = 1/10 và S2/S1 = 1/20, ta tìm được
\({{{F_1}} \over {{F_2}}} = {{{E_1}{S_1}} \over {{E_2}{S_2}}} = 2\)
Vì F1 + F2 = F, nên ta suy ra: F1 = 2/3 F
Như vậy, lực nén lên bê tông bằng 2/3 lực nén của tải trọng tác dụng lên cột.
Bài 34 - 35.10 trang 84 Sách bài tập (SBT) Vật lí 10
Một chiếc vòng đồng bán kính 100 cm và tiết diện 4 mm2 được lồng khít vào mặt ngoài của một thanh thép bán kính 100,05 cm. Tính lực tác dụng tối thiểu đủ để làm găng (dãn) chiếc vòng đồng, nếu suất đàn hồi của đồ là E ≈ 12.1010Pa. Bỏ qụa biến dạng của thanh thép.
Hướng dẫn trả lời:
Gọi r là bán kính của vòng đồng và R là bán kính của thanh thép. Sau khi được lồng vào thanh thép, chiếc vòng đồng bị dãn dài thêm một đoạn:
Δl = 2πR - 2πr = 2π(R - r)
Theo định luật Húc, lực cần tác dụng để làm dãn chiếc vòng đồng bằng:
\(F = E{S \over {{l_0}}}\Delta l = E{S \over {2\pi r}}2\pi \left( {R - r} \right) = E{{S\left( {R - r} \right)} \over r}\)
Thay số ta tìm được:
\(F = {12.10^{10}}{{{{4.10}^{ - 6}}\left( {100,05 - 100} \right)} \over {100}} = 240\left( N \right)\)
Bài 34 - 35.11* trang 84 Sách bài tập (SBT) Vật lí 10
Người ta dùng một thanh sắt tròn có độ dài ban đầu l0= 50 cm và tiết diện ngang S = 2,5 mm2. Kéo dãn thanh sắt bằng lực F có cường độ tăng dần và đo độ dãn dài Δl tương ứng của nó (Bảng 34-35. 1).
a) Tính độ dãn dài tỉ đối ε của thanh sắt và ứng suất σ của lực kéo tác dụng lên nó trong mỗi lần đo (Bảng 34-35. 1).
b) Vẽ đồ thị biểu diễn sự phụ thuộc của ε vào ε.
c) Dựa vào đồ thị vẽ được, tìm giá trị của suất đàn hồi E và hệ số đàn hồi k.
Hướng dẫn trả lời:
a) Tính độ dãn dài tỉ đối ε của thanh sắt và ứng suất σ của lực kéo tác dụng lên thanh sắt trong mỗi lần đo.

b) Vẽ đồ thị biểu diễn sự phụ thuộc của ε vào σ.
Chọn tỉ lệ vẽ trên các trục tọa độ:
- Trục hoành: 1 cm → σ = 0,5.108 N/m2.
- Trục tung: 1 cm → ε = 0,2.10-3.

Đồ thị có dạng đường thẳng chứng tỏ độ biến dạng tỉ đối Δl/l0 của thanh sắt tỉ lệ thuận với ứng suất σ của lực kéo tác dụng lên thanh sắt, nghĩa là:
\(\varepsilon = {{\Delta l} \over {{l_0}}} = a\varepsilon\)
Hệ số tỉ lệ a được xác định bởi hệ số góc của đường biểu diễn đồ thị:
\(\tan \theta = {{MH} \over {AH}} = {{1,{{2.10}^{ - 3}} - 0,{{2.10}^{ - 3}}} \over {2,{{4.10}^8} - 0,{{4.10}^8}}} = 0,{5.10^{ - 11}}\)
c) Tìm giá trị của suất đàn hồi E và hệ số đàn hồi k của thanh sắt.
Theo định luật Húc:
\(F = k\left| {\Delta l} \right| = E{S \over {{l_0}}}\Delta l\), ta suy ra
\({{\Delta l} \over {{l_0}}} = {1 \over E}.{F \over S}\)
Từ đó tìm được suất đàn hồi:
\(E = {1 \over {\tan \theta }} = {1 \over {0,{{5.10}^{ - 11}}}} = {20.10^{10}}Pa\)
và hệ số đàn hồi:
\(k = E{S \over {{l_0}}} = {20.10^{10}}.{{2,{{5.10}^{ - 6}}} \over {{{50.10}^{ - 2}}}} = {1.10^6}N/m\)
Bài 34 - 35.12* trang 85 Sách bài tập (SBT) Vật lí 10
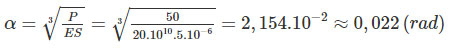
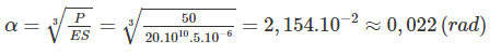
Một sợi dày thép tiết diện S = 5,0 mm2 căng ngang giữa hai đỉnh cột A, B. Tại trung điểm H của sợi dây, người ta treo một hộp đèn chiếu sáng trọng lượng P = 50 N, làm cho sợi dây trùng xuống tới vị trí AMB hợp với phương ban đầu một góc lệch nhỏ α (Hình 34-35.1). Tính góc α, cho biết suất đàn hồi của thép là E = 20.1010 Pa.

Hướng dẫn trả lời:
Lực căng của sợi dây thép:
\(T = {P \over {2\sin \alpha }}\)
Mặt khác theo định luật Húc:
\(T = E{S \over l}\Delta l\)
Vì độ biến dạng Δl của sợi dây thép bằng:
\(\Delta l = 2\left( {AM - AH} \right) = 2\left( {{1 \over {2\cos \alpha }} - {1 \over 2}} \right) = {{1.\left( {1 - \cos \alpha } \right)} \over {\cos \alpha }}\)
nên:
\(T = {\rm{ES}}{{1 - \cos \alpha } \over {\cos \alpha }}\)
Với α nhỏ, có thể coi gần đúng:
\(\sin \alpha \approx \tan \alpha {\rm{ }} \approx {\rm{ }}\alpha ;cos\alpha = 1 - 2{\sin ^2}\left( {{\alpha \over 2}} \right) \approx 1 - {{{\alpha ^2}} \over 2}\)
Khi đó ta tìm được:

-------------------------
Để có kết quả cao hơn trong học tập, VnDoc xin giới thiệu tới các bạn học sinh tài liệu Giải bài tập Toán 10, Giải bài tập Vật Lí 10, Giải bài tập Sinh học 10, Giải bài tập Hóa học 10 mà VnDoc tổng hợp và đăng tải.
