Giải Vật lí 12 Cánh diều bài 3: Phóng xạ
Giải Vật lí 12 Cánh diều bài 3
Giải Vật lí 12 Cánh diều bài 3: Phóng xạ được VnDoc.com tổng hợp và xin gửi tới bạn đọc cùng tham khảo. Bài viết gồm có hướng dẫn bạn đọc trả lời các câu hỏi trong SGK Vật lý 12 các trang 101, 103, 104, 105, 106, 107, 109.
Giải Vật lí 12 trang 101 Cánh diều
Mở đầu trang 101 SGK Vật lý 12
Carbon là nguyên tố phổ biến trong cơ thể sinh vật. Trong đó có lẫn cả đồng vị
\(_{6}^{12}C\),
\(_{6}^{13}C\),
\(_{6}^{14}C\). Khi còn sống, hàm lượng
\(_{6}^{14}C\) trong cơ thể sinh vật không đổi (
\(_{6}^{14}C\) chiếm 10-6 % tổng lượng carbon). Khi sinh vật chết đi, lượng
\(_{6}^{14}C\) trong cơ thể chúng giảm dần theo thời gian trong khi lượng
\(_{6}^{13}C\) và
\(_{6}^{12}C\) không thay đổi. Do đó, tỉ lệ
\(_{6}^{14}C\) cũng giảm dần. Dựa vào tính chất này, các nhà khoa học có thể xác định niên đại của các mẫu vật cổ có nguồn gốc hữu cơ (gỗ, xương, giấy, ...) (Hình 3.1). Quá trình nào xảy ra khiến cho lượng
\(_{6}^{14}C\) trong xác sinh vật giảm dần theo thời gian?

Lời giải:
Quá trình phóng xạ đã xảy ra làm cho lượng
\(_{6}^{14}C\) trong xác sinh vật giảm dần theo thời gian.
Giải Vật lí 12 trang 103 Cánh diều
Câu hỏi 1 trang 103 SGK Vật lý 12
Giải thích sự lệch khác nhau của các tia phóng xạ trong điện trường ở Hình 3.5.

Lời giải:
Tia α và β+ bị lệch sang bản điện âm do chúng mang điện dương, tia β- bị lệch sang bản điện dương do nó mang điện âm.
Tia γ không bị lệch trong điện trường do nó không mang điện.
Câu hỏi 2 trang 103 SGK Vật lý 12
Trong Hình 3.6, điền tên các tia phóng xạ theo khả năng đâm xuyên của chúng qua các chất.

Lời giải:
- Tia α màu tím than
- Tia β màu xanh
- Tia γ màu vàng
Luyện tập 1 trang 103 SGK Vật lý 12
Hoàn thành các phương trình phóng xạ sau đây và chỉ ra phương trình đó biểu diễn quá trình phóng xạ nào.

Lời giải:

Giải Vật lí 12 trang 104 Cánh diều
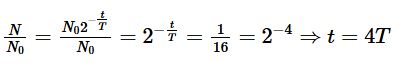
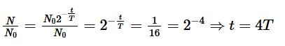
Luyện tập 2 trang 104 SGK Vật lý 12
Sau khoảng thời gian là bao nhiêu chu kì bán rã thì số hạt nhân chất phóng xạ còn lại bằng
\(\frac{1}{16}\) số hạt nhân ban đầu?
Lời giải:
Số hạt nhân còn lại:
\(N = N_{0} 2^{-\frac{t}{T} }\)
Số hạt nhân chất phóng xạ còn lại bằng
\(\frac{1}{16}\) số hạt nhân ban đầu:

Giải Vật lí 12 trang 105 Cánh diều
Câu hỏi 3 trang 105 SGK Vật lý 12
Độ phóng xạ của một mẫu chất phóng xạ phụ thuộc vào yếu tố nào?
Lời giải:
Độ phóng xạ của một mẫu chất phóng xạ phụ thuộc vào yếu tố:
+ Tỷ lệ phóng xạ tự nhiên (hoặc hằng số phóng xạ): Đây là tỷ lệ mà một số hạt phóng xạ phân rã trong một đơn vị thời gian. Mỗi loại izotope có một hằng số phóng xạ riêng, và nó quyết định tốc độ phóng xạ tự nhiên của mẫu. Các izotop không ổn định sẽ phóng xạ với tốc độ khác nhau, dựa trên độ không ổn định của hạt nhân của chúng.
+ Khối lượng và loại chất phóng xạ: Khối lượng của mẫu phóng xạ ảnh hưởng đến tỷ lệ phóng xạ. Một mẫu có khối lượng lớn hơn sẽ chứa nhiều hạt phóng xạ hơn, do đó, tỷ lệ phóng xạ sẽ cao hơn. Loại chất phóng xạ cũng quan trọng, vì một số loại đồng vị có tỷ lệ phóng xạ tự nhiên cao hơn so với những loại khác.
Câu hỏi 4 trang 105 SGK Vật lý 12
Vì sao độ phóng xạ của một mẫu chất phóng xạ giảm theo thời gian với cùng quy luật như số hạt chất phóng xạ?
Lời giải:
Độ phóng xạ kí hiệu là H được xác định bằng số hạt nhân phân rã trong một giây:
\(H = \frac{\triangle N}{\triangle t }\)
H phụ thuộc vào lượng hạt nhân phân rã do đó nó cũng giảm theo thời gian với cùng quy luật như hạt chất phóng xạ theo công thức: H = λN.
Luyện tập 3 trang 105 SGK Vật lý 12
Một mẫu chất phóng xạ β+ là
\(_{8}^{15}O\) có độ phóng xạ 2,80.107 Bq. Biết rằng hằng số phóng xạ của
\(_{8}^{15}O\) là 5,67.10-3 s-1.
a) Xác định số hạt nhân chất phóng xạ có trong mẫu khi đó.
b) Xác định số hạt positron mẫu chất phát ra trong khoảng thời gian 1,00 ms. Coi gần đúng rằng độ phóng xạ của mẫu không thay đổi trong khoảng thời gian rất ngắn này.
Lời giải:
a) Số hạt nhân chất phóng xạ trọng mẫu khi đó:
\(N_{0} = \frac{H}{\lambda } = \frac{2,8.10^{7} }{5,67.10^{-3} } = 4938271605\)
b) Mỗi phóng xạ hạt nhân
\(_{8}^{15}O\) sẽ phóng xạ ra 1 phóng xạ β+ (positron).
Sau khoảng thời gian 1,00 ms, số hạt nhân
\(_{8}^{15}O\) còn lại là:
\(N = N_{0} .e^{\lambda t} = 4938271605. e^{-5,57.10^{-3} .10^{-3}} = 4938244099\)
Số phóng xạ β+ (positron) phát ra tương đương với số hạt nhân bị phân rã: ΔN = N0 − N = 27506
Giải Vật lí 12 trang 106 Cánh diều
Vận dụng 1 trang 106 SGK Vật lý 12
Một mẫu chứa đồng vị
\(_{27}^{60}Co\) là chất phóng xạ với chu kì bán rã 5,27 năm, được sử dụng trong điều trị ung thư. Độ phóng xạ của mẫu khi mới sản xuất là H0. Mẫu đó sẽ hết hạn sử dụng khi độ phóng xạ của nó giảm còn 0,70H0. Xác định thời hạn sử dụng của mẫu đó.
Lời giải:

Câu hỏi 5 trang 106 SGK Vật lý 12
Tính chất nào của các tia phóng xạ là cơ sở cho phương pháp trị liệu bằng bức xạ?

Lời giải:
Tính chất của các tia phóng xạ là cơ sở cho phương pháp trị liệu bằng bức xạ là khả năng của chúng xâm nhập vào mô tế bào và gây ra sự tổn thương hoặc tiêu diệt tế bào sống.
Giải Vật lí 12 trang 107 Cánh diều
Vận dụng 2 trang 107 SGK Vật lý 12
Hạt nhân
\(_{6}^{14}C\) là chất phóng xạ β- có chu kì bán rã là 5 730 năm. Trong cây có chất phóng xạ
\(_{6}^{14}C\) do hấp thụ carbon dioxide từ không khí trong quá trình quang hợp. Độ phóng xạ của một mẫu gỗ tươi và một mẫu gỗ cổ đại đã chết cùng loài, cùng khối lượng lần lượt là 0,250 Bq và 0,215 Bq. Xác định xem mẫu gỗ cổ đại đã chết cách đây bao lâu.
Lời giải:
Tuổi mẫu gỗ cổ đại: 
Tìm hiểu thêm trang 107 SGK Vật lý 12
rong nghiên cứu địa chất, các nhà khoa học sử dụng đơn vị picocuri (pCi) để so sánh độ phóng xạ rất nhỏ của các mẫu đất đá tự nhiên.
1 pCi = 10-12 Ci
Trong đó, 1 Ci là độ phóng xạ của 1 gam
\(_{88}^{226}Ra\) có chu kì bán rã là 1 600 năm.
Hãy đổi 1 Ci ra đơn vị Bq. Lấy khối lượng mol nguyên tử của
\(_{88}^{226}Ra\) là 226 g/mol và số Avogadro là 6,02.1023 nguyên tử/mol.
Lời giải:
Số nguyên tử trong 1 gam
\(_{88}^{226}Ra\) là
\(N = \frac{m}{M} . N_{A} = \frac{1}{226} .6,02.10^{23} = 2,664.10^{21}\)
Độ phóng xạ của 1 gam
\(_{88}^{226}Ra\) có chu kì bán rã là 1 600 năm là
![]()
Vậy 1 Ci = 3,66.1010 Bq
Giải Vật lí 12 trang 109 Cánh diều
Luyện tập trang 109 SGK Vật lý 12
Giải thích tác dụng của những việc làm:
a. Nhấc các nguồn phóng xạ bằng kẹp dài.
b. Cất giữ các nguồn phóng xạ trong các hộp có vỏ chì dày.
c. Luôn mặc quần áo bảo hộ khi làm việc với các nguồn phóng xạ.
Lời giải:
a. Nhấc các nguồn phóng xạ bằng kẹp dài – Giữ khoảng cách an toàn với nguồn phóng xạ.
b. Cất giữ các nguồn phóng xạ trong các hộp có vỏ chì dày – Tránh nguồn phóng xạ phát ra môi trường, vỏ chỉ dày giúp làm giảm lượng phóng xạ bức xạ ra ngoài và giữ cho nguồn phóng xạ được bảo quản và vận chuyển một cách an toàn.
c. Luôn mặc quần áo bảo hộ khi làm việc với các nguồn phóng xạ - Sử dụng vật liệu che chắn giữa người với nguồn phóng xạ, tránh tiếp xúc trực tiếp.
Vận dụng 3 trang 109 SGK Vật lý 12
Bạn đã gặp các biển báo như trong Hình 3.13 ở đâu? Bạn nên làm gì khi nhìn thấy những biển báo đó?

Lời giải:
Đang cập nhật...
Bài tiếp theo: Giải Vật lí 12 Cánh diều bài tập chủ đề 4