Giải Chuyên đề Vật lí 12 Chân trời sáng tạo bài 1
Bài 1: Các đặc trưng của dòng điện xoay chiều
- Mở đầu trang 5 Chuyên đề Vật lí 12 Chân trời
- Câu hỏi 1 trang 5 Chuyên đề Vật lí 12 Chân trời
- Luyện tập trang 6 Chuyên đề Vật lí 12 Chân trời
- Câu hỏi 2 trang 7 Chuyên đề Vật lí 12 Chân trời
- Thí nghiệm trang 7 Chuyên đề Vật lí 12 Chân trời
- Luyện tập 1 trang 8 Chuyên đề Vật lí 12 Chân trời
- Luyện tập 2 trang 8 Chuyên đề Vật lí 12 Chân trời
- Câu hỏi 3 trang 9 Chuyên đề Vật lí 12 Chân trời
- Câu hỏi 4 trang 10 Chuyên đề Vật lí 12 Chân trời
- Luyện tập trang 11 Chuyên đề Vật lí 12 Chân trời
- Vận dụng trang 11 Chuyên đề Vật lí 12 Chân trời
- Câu hỏi 5 trang 12 Chuyên đề Vật lí 12 Chân trời
- Thí nghiệm trang 12 Chuyên đề Vật lí 12 Chân trời
- Bài 1 trang 13 Chuyên đề Vật lí 12 Chân trời
- Bài 2 trang 13 Chuyên đề Vật lí 12 Chân trời
- Bài 3 trang 13 Chuyên đề Vật lí 12 Chân trời
Giải Chuyên đề Vật lí 12 bài 1: Các đặc trưng của dòng điện xoay chiều được VnDoc.com sưu tầm và xin gửi tới bạn đọc cùng tham khảo. Mời các bạn cùng tham khảo thêm tại mục Vật lí 12 Chân trời sáng tạo nhé.
Mở đầu trang 5 Chuyên đề Vật lí 12 Chân trời
Các thiết bị điện, điện tử mà chúng ta sử dụng trong sinh hoạt và sản xuất hiện nay như: bóng đèn, ti vi, máy giặt, tủ lạnh, điều hoà, quạt điện, động cơ điện, ... chủ yếu dùng dòng điện xoay chiều. Vậy, dòng điện xoay chiều là gì? Nó có những đại lượng đặc trưng gì và cách đo các đại lượng đó như thế nào?
Lời giải:
Dòng điện xoay chiều là dòng điện có cường độ biến thiên điều hoà theo thời gian.
Các đại lượng đặc trưng như tần số, cường độ dòng điện, điện áp,…
Câu hỏi 1 trang 5 Chuyên đề Vật lí 12 Chân trời
Hãy viết biểu thức cường độ dòng điện và điện áp xoay chiều. Giải thích các đại lượng. So sánh giá trị hiệu dụng và giá trị cực đại của cường độ dòng điện, điện áp.
Lời giải:
Biểu thức cường độ dòng điện: i = I0cos(ωt + φi)
i: cường độ dòng điện tức thời, tức là cường độ dòng điện tại thời điểm t
I0: cường độ dòng điện cực đại
ω: tần số góc
φi: pha ban đầu của cường độ dòng điện
Giá trị hiệu dụng I =
\(\frac{I_{0} }{\sqrt{2} }\)
Biểu thức điện áp: u = U0cos(ωt + φu)
u: điện áp tức thời, tức là điện áp tại thời điểm t
U0: điện áp cực đại
ω: tần số góc
φu: pha ban đầu của điện áp
Giá trị hiệu dụng
\(U = \frac{U_{0} }{\sqrt{2} }\)
Luyện tập trang 6 Chuyên đề Vật lí 12 Chân trời
Từ đồ thị cường độ của dòng điện xoay chiều theo thời gian ở Hình 1.2, hãy xác định:

a) Biên độ, tần số, chu kì, tần số góc, pha ban đầu, cường độ dòng điện hiệu dụng.
b) Biểu thức cường độ dòng điện tức thời.
c) Khoảng thời gian cường độ dòng điện tăng trong chu kì đầu tiên.
Lời giải:
a) Biên độ I0 = 2 A
Chu kì T = 0,02 s
Tần số f = 1T = 50Hz
Tần số góc ω = 2πf = 100 π (rad/s)
Pha ban đầu φ = 0 rad
Cường độ dòng điện hiệu dụng I =
\(\frac{I_{0} }{\sqrt{2} }\) = √2 A
b) Biểu thức cường độ dòng điện: i = 2cos (100πt)A
c) Khoảng thời gian cường độ dòng điện tăng trong chu kì đầu tiên từ 0,01 s đến 0,02 s (ứng với nửa chu kì sau).
Câu hỏi 2 trang 7 Chuyên đề Vật lí 12 Chân trời
Từ các dụng cụ thí nghiệm như Hình 1.4, đề xuất phương án thí nghiệm đo tần số và điện áp của dòng điện xoay chiều từ đầu ra của biến áp nguồn.

Lời giải:
Phương án thí nghiệm:
- Cắm biến áp nguồn vào ổ điện 220 V - 50 Hz. Bật công tắc cho biến áp hoạt động. Vặn núm xoay phía trước để điều chỉnh điện áp đầu ra xoay chiều hoặc tần số.
- Ấn nút ON/OFF để đồng hồ đo điện đa năng hoạt động, vặn núm xoay để điều chỉnh chế độ đo điện áp xoay chiều hoặc tần số.
- Cắm hai dây nối của que đo vào đồng hồ đo điện đa năng.
- Cắm hai đầu kim nhọn của hai dây nối vào hai lỗ cắm đầu ra của biến áp nguồn. Quan sát số chỉ điện áp hiệu dụng và tần số trên mặt đồng hồ đo.
Thí nghiệm trang 7 Chuyên đề Vật lí 12 Chân trời
* Mục đích:
Đo được tần số và điện áp xoay chiều bằng dụng cụ thực hành.
* Dụng cụ:
- Biến áp nguồn có điện áp đầu ra xoay chiều và có thể thay đổi được (1).
- Đồng hồ đo điện đa năng hiện số có chức năng đo lần số (2).
- Que đo đồng hồ đa năng (3).

* Tiến hành thí nghiệm
Bước 1: Cắm biến áp nguồn vào ổ điện 220 V - 50 Hz. Bật công tắc cho biến áp hoạt động. Vặn núm xoay phía trước để điều chỉnh điện áp đầu ra xoay chiều.
Bước 2: Ấn nút ON/OFF để đồng hồ đo điện đa năng hoạt động, vặn núm xoay để điều chỉnh chế độ đo điện áp xoay chiều.
Bước 3: Cắm hai dây nối của que đo vào đồng hồ đo điện đa năng.
Bước 4: Cắm hai đầu kim nhọn của hai dây nối vào hai lỗ cắm đầu ra của biến áp nguồn. Quan sát số chỉ điện áp hiệu dụng và tần số trên mặt đồng hồ đo. Khi các số chỉ ổn định, ghi lại hai giá trị này vào vở theo mẫu Bảng 1.1. Rút hai đầu kim nhọn ra khỏi biến áp nguồn.
Bước 5: Lặp lại bước 4 hai lần.
Bước 6: Tắt biến áp nguồn và rút phích cắm khỏi ổ điện. Tắt đồng hồ đo.

- Xác định độ chia nhỏ nhất của phép đo tần số, điện áp trên đồng hồ.
- Tính giá trị trung bình, sai số và viết kết quả. Nhận xét giá trị tần số đo được với tần số đã biết của mạng lưới điện.
Lời giải:
|
Lần đo |
U(V) |
f(Hz) |
|
1 |
9,012 |
50,03 |
|
2 |
9,005 |
49,97 |
|
3 |
8,995 |
50,05 |
|
Giá trị trung bình |
9,004 |
50,02 |
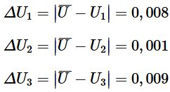
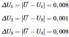
Giá trị trung bình của điện áp:
\(U = \frac{9,012 + 9,005 + 8,995}{3} = 9,004V\)
Sai số tuyệt đối ứng với các lần đo điện áp:

Sai số tuyệt đối trung bình của 3 lần đo:
\(\overline{\triangle U } = \frac{\triangle U_{1} + \triangle U_{2} + \triangle U_{3}}{3} = 0,006\)
Sai số tuyệt đối của phép đo:
\(\triangle U = \overline{\triangle U} + \triangle U_{dc} = 0,006\)
Kết quả phép đo:
\(U = 9,004 \pm 0,006V\)
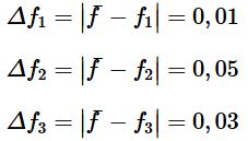
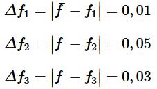
Giá trị trung bình của tần số:
\(\bar{f} = \frac{50,03 + 49,97+50,05}{3} \approx 50,02Hz\)
Sai số tuyệt đối ứng với các lần đo tần số:

Sai số tuyệt đối trung bình của 3 lần đo:
\(\overline{\triangle f } = \frac{\triangle f_{1} + \triangle f_{2} + \triangle f_{3}}{3} = 0,03\)
Sai số tuyệt đối của phép đo:
\(\triangle f = \overline{\triangle f} + \triangle f_{dc} = 0,03\)
Kết quả phép đo: f = 50,02 ± 0,03 Hz
Giá trị tần số đo được với tần số đã biết của mạng lưới điện gần bằng nhau.
Luyện tập 1 trang 8 Chuyên đề Vật lí 12 Chân trời
Thay biến áp nguồn bằng máy phát âm tần, thực hiện lại phép đo biên độ và tần số của tín hiệu xoay chiều do máy phát âm tần tạo ra.
Lời giải:
Học sinh tự thực hiện phép đo tương tự như đo điện áp.
Luyện tập 2 trang 8 Chuyên đề Vật lí 12 Chân trời
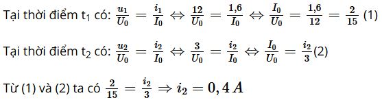
Đặt vào hai đầu điện trở R một điện áp u biến thiên điều hoà theo thời gian. Từ thời điểm t1 đến thời điểm t2 điện áp u giảm từ giá trị 12 V đến 3 V thì cường độ dòng điện qua mạch tương ứng giảm từ giá trị i1 = 1,6 A đến i2. Tìm i2.
Lời giải:
Cường độ dòng điện và điện áp hai đầu điện trở R cùng pha với nhau nên:
\(\frac{u}{U_{0} } = \frac{i}{I_{0} }\)

Câu hỏi 3 trang 9 Chuyên đề Vật lí 12 Chân trời
Dựa vào biểu thức dung kháng
\(Z_{C} = \frac{1}{\omega C'}\), giải thích tại sao tụ điện lại không cho dòng điện một chiều đi qua.
Lời giải:
Dung kháng
\(Z_{C} = \frac{1}{\omega C'} = \frac{1}{2\pi fC}\) do dòng điện một chiều có tần số f = 0 nên dung kháng khi đó bằng vô cùng, do đó tụ điện không cho dòng điện một chiều đi qua.
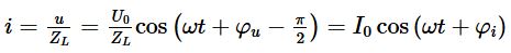
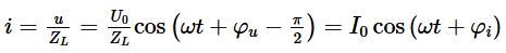
Câu hỏi 4 trang 10 Chuyên đề Vật lí 12 Chân trời
Dựa vào biểu thức cảm kháng ZL = ωL, tìm mối quan hệ giữa u và i khi đặt điện áp không đổi vào hai đầu cuộn cảm thuần.
Lời giải:
Điện áp đặt vào 2 đầu cuộn cảm thuần: u = U0cos(ωt + φu)
Cường độ dòng điện: ![]()
Pha ban đầu của cường độ dòng điện: φi = φu − π/2
Cường độ dòng điện cực đại: 
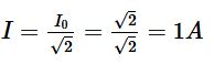
Luyện tập trang 11 Chuyên đề Vật lí 12 Chân trời
Đặt điện áp u = 50√2cos100πt(V) vào hai đầu đoạn mạch RLC nối tiếp gồm điện trở thuần 30 Ω, cuộn cảm thuần có độ tự cảm
\(\frac{0,8}{\pi } H\), tụ điện có điện dung
\(\frac{250}{\pi } \mu F\).
a) Tính tổng trở toàn mạch.
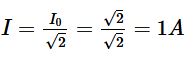
b) Tính cường độ dòng điện cực đại, cường độ dòng điện hiệu dụng qua đoạn mạch.
Lời giải:
a) Cảm kháng: ZL = ωL = 100π.0,8/π = 80Ω
Dung kháng: 
Tổng trở: 
b) Cường độ dòng điện cực đại: ![]()
Cường độ dòng điện hiệu dụng: 
Vận dụng trang 11 Chuyên đề Vật lí 12 Chân trời
Hình 1.13 mô tả một đèn huỳnh quang chiếu sáng trong phòng sử dụng dòng điện xoay chiều. Từ quan sát thực tiễn và tìm hiểu trên sách, báo, internet, ... em hãy vẽ lại sơ đồ mạch điện đơn giản của đèn huỳnh quang và cho biết tác dụng của cuộn chấn lưu và tắc te.

Lời giải:

Chấn lưu được mắc nối tiếp với hai đầu điện cực, có tác dụng điều chỉnh và ổn định tần số của dòng điện. Nó là một cuộn dây cảm kháng có tác dụng duy trì độ tự cảm tức là điện áp rơi trên nó để điện áp trên bóng luôn khoảng từ 80 -140V.
Tắc te được mắc song song với hai đầu điện cực.
Câu hỏi 5 trang 12 Chuyên đề Vật lí 12 Chân trời
Từ các dụng cụ thí nghiệm như Hình 1.14, đề xuất phương án thí nghiệm khảo sát mối liên hệ giữa điện áp hiệu dụng và cường độ dòng điện hiệu dụng trong mạch RLC nối tiếp theo các gợi ý sau:

- Cách bố trí thí nghiệm và các bước tiến hành thí nghiệm.
- Dự kiến kết quả cần thu thập và xử lí số liệu.
Lời giải:
Các bước tiến hành thí nghiệm, sắp các phần tử như sơ đồ mạch điện hình 1.15
Bước 1: Lắp mạch điện như sơ đồ Hình 1.15.

Bước 2: Nối hai đầu đoạn mạch với đầu ra của biến áp nguồn để cấp dòng điện xoay chiều cho mạch.
Bước 3: Vặn núm xoay trên biến áp nguồn sao cho điện áp trên vôn kế lần lượt là 3 V, 6 V, 9 V, 12 V, 15 V, 18 V, 21 V. Đọc giá trị tương ứng của cường độ dòng điện trên ampe kế. Ghi kết quả vào vở theo mẫu Bảng 1.2.
* Dự kiến kết quả thí nghiệm (số liệu minh hoạ)

Thí nghiệm trang 12 Chuyên đề Vật lí 12 Chân trời
* Mục đích:
Khảo sát mối quan hệ giữa điện áp hiệu dụng và cường độ dòng điện hiệu dụng trong mạch điện xoay chiều RLC mắc nối tiếp.
* Dụng cụ:
- Bảng lắp ráp mạch điện (1).
- Biến áp nguồn có điện áp đầu ra xoay chiều và có thể thay đổi được (2).
- Điện trở (10 Ω - 20 W) (3).
- Tụ điện đã biết điện dung (4 μF) (4).
- Cuộn dây có lõi sắt (5).
- Ampe kế (6).
- Vôn kế (7).
- Bộ dây nối (8).

* Tiến hành thí nghiệm
Bước 1: Lắp mạch điện như sơ đồ Hình 1.15.

Bước 2: Nối hai đầu đoạn mạch với đầu ra của biến áp nguồn để cấp dòng điện xoay chiều cho mạch.
Bước 3: Vặn núm xoay trên biến áp nguồn sao cho điện áp trên vôn kế lần lượt là 3 V, 6 V, 9 V, 12 V, 15 V, 18 V, 21 V. Đọc giá trị tương ứng của cường độ dòng điện trên ampe kế. Ghi kết quả vào vở theo mẫu Bảng 1.2.
* Báo cáo kết quả thí nghiệm (số liệu minh hoạ)

- Từ bảng số liệu, vẽ đồ thị mô tả sự phụ thuộc của I theo U trong mạch điện xoay chiều RLC mắc nối tiếp.
- Nhận xét về mối liên hệ của I và U từ đồ thị, so sánh với kết quả lí thuyết đã biết.
Lời giải:
Đồ thị mô tả sự phụ thuộc của I theo U trong mạch điện xoay chiều RLC mắc nối tiếp

- Nhận xét: U và I tỉ lệ thuận với nhau, phù hợp với kết quả lí thuyết đã học.
Bài 1 trang 13 Chuyên đề Vật lí 12 Chân trời
ạch điện xoay chiều gồm điện trở thuần 40 Ω ghép nối tiếp với một cuộn cảm thuần có độ tự cảm L =
\(\frac{0,4}{\pi }\)H. Biết biểu thức điện áp giữa hai đầu đoạn mạch là u = 80cos100πt (V). Cường độ dòng diện hiệu dụng chạy qua đoạn mạch là
A. 1 A.
B. √2A.
C.
\(\frac{1}{\sqrt{2} }\)A.
D. 2 A.
Lời giải:
Đáp án A
Bài 2 trang 13 Chuyên đề Vật lí 12 Chân trời
Hình 1P.1 biểu diễn sự biến thiên theo thời gian của điện áp và cường độ dòng điện xoay chiều qua một linh kiện X (X là một trong ba linh kiện R, L, C) thông qua phần mềm thí nghiệm mô phỏng.

a) Dựa vào đồ thị Hình 1P.1, viết biểu thức u, i theo thời gian.
b) Xác định độ lệch pha giữa điện áp và cường độ dòng điện, từ đó xác định tên linh kiện X.
c) Xác định thông số đặc trưng của linh kiện X.
Lời giải:
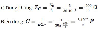
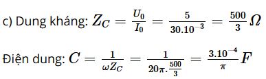
a) Chu kì T = 0,1 s ⇒ ω =
\(\frac{2\pi }{T}\) =
\(\frac{2\pi }{0,1}\) = 20π(rad/s)
U0 = 5 V; I0 = 30 mA
Tại thời điểm ban đầu điện áp u = 0 và đang giảm nên pha ban đầu φu =
\(\frac{\pi }{2}\)rad
Tại thời điểm ban đầu cường độ dòng điện i = -I0 và đang tăng nên pha ban đầu φi = −πrad
Biểu thức điện áp: u = 5cos(20πt +
\(\frac{\pi }{2}\))V
Biểu thức cường độ dòng điện: i = 30cos(20πt − π)mA
b) Tại thời điểm ban đầu điện áp bằng 0 (VTCB) và đang giảm, cường độ dòng điện i = -I0 (biên âm) và đang tăng nên điện áp và cường độ dòng điện vuông pha với nhau, linh kiện X là tụ điện (vì i sớm pha hơn u).

Bài 3 trang 13 Chuyên đề Vật lí 12 Chân trời
Đặt điện áp xoay chiều có tần số 50 Hz vào hai đầu đoạn mạch gồm RLC nối tiếp gồm điện trở thuần 150 Ω, tu điện có điện dung
\(\frac{200}{\pi }\)μF và cuộn cảm thuần có độ tự cảm
\(\frac{2}{\pi }\)H. Cường độ dòng diện hiệu dụng trong mạch là 1 A. Tính:
a) Tổng trở của toàn mạch.
b) Điện áp hiệu dụng đặt vào đoạn mạch.
Lời giải:
a) Tần số f = 50 Hz
