Giải Vật lí 12 Chân trời sáng tạo bài 15
Giải Vật lí 12 Chân trời sáng tạo bài 15: Năng lượng liên kết hạt nhân
Giải Vật lí 12 Chân trời sáng tạo bài 15: Năng lượng liên kết hạt nhân được VnDoc.com tổng hợp gồm có hướng dẫn bạn đọc trả lời các câu hỏi trong SGK Vật lý 12 các trang 100, 101, 102, 103, 104.
Giải Vật lí 12 trang 100 Chân trời
Mở đầu trang 100 SGK Vật lý 12
Ta đã biết hạt nhân gồm các proton mang điện dương và các neutron trung hoà về điện. Lực đẩy tĩnh điện giữa các proton là rất lớn vì khoảng cách giữa chúng rất nhỏ. Để duy trì sự tồn tại của hạt nhân, các proton và các neutron (các nucleon) cần một lực hút mạnh hơn lực đẩy tĩnh điện, lực này được gọi là lực hạt nhân. Vậy mức độ liên kết của các nucleon có giống nhau hay không đổi với các hạt nhân khác nhau? Độ bền vững của các hạt nhân được đánh giá dựa vào đại lượng vật lí nào?
Lời giải:
Mức độ liên kết của các nucleon khác nhau đối với các hạt nhân khác nhau.
Độ bền vững của hạt nhân được đánh giá dựa trên năng lượng liên kết riêng của hạt nhân.
Thảo luận 1 trang 100 SGK Vật lý 12
Tính năng lượng nghỉ của một đồng xu có khối lượng 2g đang nằm yên trên bàn theo hệ thức về mối liên hệ giữa khối lượng và năng lượng.
Lời giải:
Năng lượng nghỉ của đồng xu: E0 = m0c2 = 2.10−3.(3.108)2 = 1,8.1014J
Giải Vật lí 12 trang 101 Chân trời
Luyện tập trang 101 SGK Vật lý 12
Mặt Trời là một nguồn phát năng lượng khổng lồ với công suất rất lớn. Công suất trung bình của Mặt Trời khoảng 4.1026 W. Hãy ước tính khối lượng Mặt Trời mất đi trong mỗi giây để tạo ra được công suất nói trên
Lời giải:
Khối lượng mặt trời mất đi trong mỗi giây:
\(m = \frac{E}{c^{2} } = \frac{P.t}{c^{2}} = \frac{4.10^{6}.1 }{(3.10^{8})^{2} } = 4,4.10^{9} kg\)
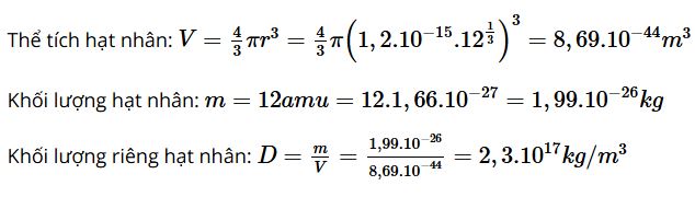
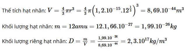
Thảo luận 2 trang 101 SGK Vật lý 12
Hãy ước lượng khối lượng riêng của hạt nhân
\(_{6}^{12}C\). Nhận xét.
Lời giải:

Giải Vật lí 12 trang 102 Chân trời
Thảo luận 3 trang 102 SGK Vật lý 12
Sử dụng hệ thức E = mc2 để xác định năng lượng của các hạt trong Bảng 15.1 theo đơn vị MeV và J.

Lời giải:

Thảo luận 4 trang 102 SGK Vật lý 12
So sánh lực đẩy tĩnh điện và lực hấp dẫn giữa hai proton đặt cách nhau 1 fm. Biết rằng điện tích của proton là 1,6.10-19 C và lực hấp dẫn giữa hai proton ở khoảng cách 1 fm là 1,87.10-34 N.
Lời giải:
Đổi: 1 fm = 10-15 m
Lực đẩy tĩnh điện: F =
\(k\frac{\left | q_{1}q_{2} \right | }{r^{2} }\) =
\(9.10^{9} .\frac{(1,6.10^{-19})^{2} }{(10^{-15})^{2} }\)= 230,4N
Lực hấp dẫn: Fhd = 1,87.10-34 N
Lực đẩy tĩnh điện lớn hơn rất nhiều lần so với lực hấp dẫn.
Giải Vật lí 12 trang 103 Chân trời
Thảo luận 5 trang 103 SGK Vật lý 12
Tính độ hụt khối của hai hạt nhân bất kì được cho trong Bảng 15.1.

Lời giải
Đổi khối lượng: mp = 1,673.10−27 kg = 1,00728 amu
mn = 1,675.10−27 kg = 1,00866 amu
Độ hụt khối của hạt nhân Carbon 12:
Δm = 6.1,00728 + 6.1,00866 − 11,996706 = 0,099amu
Độ hụt khối của hạt nhân Helium 4:
Δm = 2.1,00728 + 2.1,00866 − 4,001505 = 0,03amu
Thảo luận 6 trang 103 SGK Vật lý 12
Tính năng lượng liên kết của hai hạt nhân bất kì được cho trong Bảng 15.1

Lời giải:
Năng lượng liên kết của hạt nhân Carbon 12:
Elk = Δmc2 = 0,099.931,5 = 92,22 MeV
Năng lượng liên kết của hạt nhân Helium 4:
Elk = Δmc2 = 0,03.931,5 = 27,95 MeV
Giải Vật lí 12 trang 104 Chân trời
Thảo luận 7 trang 104 SGK Vật lý 12
Tính năng lượng liên kết riêng của các hạt nhân
\(_{6}^{12}C\),
\(_{2}^{4}He\),
\(_{8}^{16}O\),
\(_{92}^{235}U\) trong Bảng 15.1 và chỉ ra trong đó hạt nhân nào bền vững nhất và kém bền vững nhất.
Lời giải:

Hạt nhân
\(_{8}^{16}O\) bền vững nhất, hạt nhân
\(_{2}^{4}He\) kém bền vững nhất.
Luyện tập trang 104 SGK Vật lý 12
Hãy thảo luận và giải thích tại sao hạt nhân
\(_{1}^{1}H\) không xuất hiện trong Hình 15.2

Lời giải:
Vì hạt nhân
\(_{1}^{1}H\) chỉ có 1 proton, 0 neutron nên không có năng lượng liên kết.
Vận dụng trang 104 SGK Vật lý 12
a) Dựa vào Bảng 15.1, tính năng lượng liên kết và năng lượng liên kết riêng của hạt nhân
\(_{26}^{56}Fe\). Biết khối lượng của hạt nhân này là 55,934936 amu.
b) Từ kết quả câu a và Thảo luận 7, hãy so sánh mức độ bền vững của hạt nhân
\(_{26}^{56}Fe\) với các hạt nhân
\(_{6}^{12}C\),
\(_{2}^{4}He\),
\(_{8}^{16}O\) và
\(_{92}^{235}U\).
c) Kiểm tra kết quả câu b dựa vào Hình 15.2.

Lời giải:
a) Độ hụt khối của hạt nhân
\(_{26}^{56}Fe\) là:
Δm = 26.1,00728 + (56 − 26).1,00866 − 55,934936 = 0,514amu
Năng lượng liên kết: Elk = Δmc2 = 0,514.931,5 = 478,791MeV
Năng lượng liên kết riêng: Elkr =
\(\frac{E_{lk} }{A}\) =
\(\frac{478,791}{56}\) = 8,55 MeV/nucleon
b) Hạt nhân
\(_{26}^{56}Fe\) bền vững hơn so với các hạt nhân
\(_{6}^{12}C\),
\(_{2}^{4}He\),
\(_{8}^{16}O\) và
\(_{92}^{235}U\)
c) Dựa vào hình vẽ xác định được năng lượng liên kết riêng của hạt nhân
\(_{26}^{56}Fe\) cỡ 8,6 MeV/nucleon, gần đúng so với tính toán.
Bài tập 1 trang 104 SGK Vật lý 12
Độ bền vững của hạt nhân phụ thuộc vào đại lượng vật lí nào?
A. Năng lượng liên kết.
B. Năng lượng liên kết riêng.
C. Độ hụt khối.
D. Số khối và số neutron.
Lời giải:
Đáp án đúng là B
Độ bền vững của hạt nhân phụ thuộc vào năng lượng liên kết riêng.
Bài tập 2 trang 104 SGK Vật lý 12
Dựa vào Bảng 15.1, tính độ hụt khối, năng lượng liên kết và năng lượng liên kết riêng của hạt nhân 2
\(_{82}^{206}Pb\). Biết khối lượng của hạt nhân này là 205,974466 amu.
Lời giải:
Đang cập nhật...
Bài tiếp theo: Giải Vật lí 12 Chân trời sáng tạo bài 16