Vật lý 12 Kết nối tri thức bài 12
Với nội dung bài Giải bài tập Vật Lí lớp 12 bài 12: Áp suất khí theo mô hình động học phân tử - Quan hệ giữa động năng phân tử và nhiệt độ chi tiết sách Kết nối tri thức giúp học sinh xem và so sánh lời giải từ đó biết cách làm bài tập môn Vật lí 12.
Bài: Áp suất khí theo mô hình động học phân tử - Quan hệ giữa động năng phân tử và nhiệt độ
Khởi động trang 48 Vật lí 12: Áp suất khí phụ thuộc như thế nào vào những đại lượng đặc trưng sau đây của phân tử: khối lượng phân tử; tốc độ chuyển động của phân tử; mật độ phân tử; lực liên kết phân tử?
Lời giải:
- Khối lượng phân tử: Áp suất khí tỉ lệ thuận với khối lượng phân tử. Khi khối lượng phân tử tăng, các phân tử khí sẽ có động năng lớn hơn khi va chạm với thành bình, dẫn đến áp suất lên thành bình tăng.
- Tốc độ chuyển động của phân tử: Áp suất khí tỉ lệ thuận với bình phương tốc độ chuyển động của phân tử. Khi tốc độ chuyển động của phân tử tăng, số lần va chạm và lực va chạm của phân tử với thành bình tăng, dẫn đến áp suất tăng.
- Mật độ phân tử: Áp suất khí tỉ lệ thuận với mật độ phân tử. Khi mật độ phân tử tăng, số lượng phân tử trong một đơn vị thể tích tăng, dẫn đến số lần va chạm với thành bình tăng và áp suất tăng.
- Lực liên kết phân tử: Áp suất khí tỉ lệ nghịch với lực liên kết phân tử. Khi lực liên kết phân tử yếu, các phân tử dễ dàng di chuyển và va chạm với thành bình hơn, dẫn đến áp suất tăng.
I. Áp suất khí theo mô hình động học phân tử
Hoạt động 1 trang 48 Vật lí 12: Tại sao có thể coi chuyển động của phân tử khí trước và sau khi va chạm với thành bình là chuyển động thẳng đều?
Lời giải:
Có thể coi chuyển động của phân tử khí trước và sau khi va chạm với thành bình là chuyển động thẳng đều vì:
- Khoảng thời gian va chạm rất ngắn: Khi va chạm với thành bình, phân tử khí chỉ tương tác với thành bình trong một khoảng thời gian rất ngắn, thường là nano giây hoặc pico giây. Trong khoảng thời gian này, lực tác dụng lên phân tử khí rất lớn, nhưng thời gian tác dụng quá ngắn nên không ảnh hưởng đáng kể đến vận tốc của phân tử.
- Chuyển động của phân tử khí giữa hai lần va chạm là chuyển động thẳng đều: Sau khi va chạm với thành bình, phân tử khí sẽ tiếp tục chuyển động theo đường thẳng với vận tốc không đổi cho đến khi va chạm với thành bình tiếp theo hoặc với một phân tử khí khác.
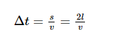
Hoạt động 2 trang 48 Vật lí 12: Hãy dựa vào tính chất trên của chuyển động phân tử để tính thời gian ∆t giữa hai va chạm liên tiếp của một phân tử lên thành bình ABCD theo l và v.
Từ đó dùng công thức tính xung lượng của lực trong thời gian At (đã học ở lớp 10) để chứng minh:
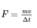
a) Lực do thành bình ABCD tác dụng lên một phân tử khí có giá trị là −mv2/l, lực do một phần từ khí tác dụng lên thành bình ABCD có giá trị là +mv2/l
b) Áp suất do một phân tử khí tác dụng lên thành bình ABCD có giá trị là:
với thể tích lượng khí V = P.
Lời giải:
Thời gian va chạm giữa hai lần va chạm liên tiếp của một phân tử:

a) Lực do thành bình ABCD tác dụng lên một phân tử khí và lực do một phân tử khí tác dụng lên thành bình ABCD:
- Theo định luật III Newton, hai lực này có cùng độ lớn và ngược chiều nhau.
- Lực do thành bình ABCD tác dụng lên một phân tử khí được gọi là lực phản xạ.
- Lực do một phân tử khí tác dụng lên thành bình ABCD được gọi là áp suất.
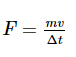
b) Áp suất do một phân tử khí tác dụng lên thành bình ABCD:
Áp suất được định nghĩa là lực tác dụng lên một đơn vị diện tích.
Lực do một phân tử khí tác dụng lên thành bình ABCD là

Diện tích bị tác dụng là diện tích một cạnh của hình vuông ABCD, A = l2.
Do đó, áp suất do một phân tử khí tác dụng lên thành bình ABCD là:

Câu hỏi 1 trang 49 Vật lí 12: Hãy chứng tỏ hệ thức (12.1) phù hợp với định luật Boyle.
Lời giải:
Áp suất và thể tích của một lượng khí nhất định tỉ lệ nghịch với nhau khi nhiệt độ không đổi vì các mặt của hình lập phương là bình đẳng nên áp suất tác dụng lên các mặt như nhau
Câu hỏi 2 trang 49 Vật lí 12: Hệ thức (12.2) cho thấy áp suất chất khí tác dụng lên thành bình phụ thuộc vào mật độ phân tử và động năng trung bình của phân tử: Hãy giải thích tại sao.
Lời giải:
- Khi mật độ phân tử tăng, số lượng phân tử va chạm với thành bình trong một đơn vị thời gian tăng, dẫn đến áp suất tăng.
- Khi động năng trung bình tăng, lực va chạm của các phân tử khí với thành bình tăng, dẫn đến áp suất tăng.
II. Mối quan hệ giữa động năng phân tử và nhiệt độ

Câu hỏi 1 trang 50 Vật lí 12: Hãy dùng các hệ thức (12.2) và (12.3) để giải thích tại sao áp suất trong quá trình đẳng tích của một lượng khí xác định tỉ lệ thuận với nhiệt độ tuyệt đối.
Lời giải:
Khi nhiệt độ tăng, động năng trung bình của các phân tử khí tăng theo. Do đó, lực va chạm của các phân tử khí với thành bình tăng, dẫn đến áp suất tăng.
Câu hỏi 2 trang 50 Vật lí 12: Không khí chứa chủ yếu các phân tử khí nitrogen, oxygen và carbon dioxide. Hãy so sánh khối lượng, tốc độ trung bình, động năng trung bình của các phân tử khí trên trong một phòng có nhiệt độ không đối.
Lời giải:
Khối lượng: N2 > O2 > CO2
Tốc độ trung bình: CO2 > O2 > N2
Động năng trung bình: O2 > N2 > CO2
>>> Bài tiếp theo: Vật lý 12 Kết nối tri thức bài 13
Như vậy VnDoc đã giới thiệu các bạn tài liệu Giải SGK Vật lý lớp 12 bài 12: Áp suất khí theo mô hình động học phân tử - Quan hệ giữa động năng phân tử và nhiệt độ. Mời các bạn tham khảo thêm tài liệu: Trắc nghiệm Vật lý 12, Ngữ văn 12 Kết nối tri thức, Toán 12 Kết nối tri thức, Tài liệu học tập lớp 12.