Vật lý 12 Kết nối tri thức bài 17
VnDoc xin giới thiệu bài Vật lý 12 Kết nối tri thức bài 17: Máy phát điện xoay chiều được chúng tôi sưu tầm và xin gửi tới bạn đọc cùng tham khảo để có thêm tài liệu giải SGK Vật lí 12 Kết nối tri thức nhé. Mời các bạn cùng theo dõi bài viết dưới đây.
Bài: Máy phát điện xoay chiều
Khởi động trang 72 Vật Lí 12: Dòng điện xoay chiều được sử dụng rất phổ biến trong đời sống. Dòng điện xoay chiều được tạo ra bằng cách nào?
Lời giải:
Dòng điện xoay chiều được tạo ra dựa trên nguyên tắc của hiện tượng cảm ứng điện từ, cho khung dây dẫn quay trong từ trường, khi đó từ thông qua khung dây biến thiên, tạo ra dòng điện suất điện động cảm ứng.
I. Nguyên tắc tạo ra dòng điện xoay chiều
Câu hỏi 1 trang 72 Vật Lí 12: Khung dây dẫn trong Hình 17.2 ở vị trí nào thì suất điện động có giá trị cực đại? Giải thích.

Lời giải:
Ở vị trí 1 và 5 thì suất điện động có giá trị cực đại.

Ở vị trí 1 và 5 thì mặt phẳng khung dây song song với cảm ứng từ nên góc α = 90o. Do đó suất điện động cảm ứng có giá trị cực đại. Ở vị trí 3 thì mặt phẳng khung dây cũng song song với góc α = 90o tuy nhiên dòng điện qua khung dây đã đổi chiều.
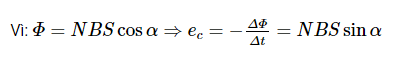
Câu hỏi 2 trang 72 Vật Lí 12: Giả sử tại thời điểm t, từ thông qua khung dây dẫn phẳng MNPQ là:
Φ = BScosα = BScosωt
Hãy chứng tỏ, suất điện động cảm ứng xuất hiện trong khung dây này có dạng:
e = BSωcos(ωt + φ0) (V)
Lời giải:
Ta có:

hay có thể viết ec = BSωcos(ωt + φ0)
Hoạt động 1 trang 73 Vật Lí 12: Dựa trên nguyên tắc tạo ra dòng điện xoay chiều, hãy thực hiện các nhiệm vụ sau:
Làm thế nào để dẫn dòng điện ra mạch ngoài khi khung dây dẫn quay đều trong từ trường (Hình 17.2)?

Lời giải:
Để dẫn dòng điện ra mạch ngoài, người ta dùng hai vành khuyên đặt đồng trục và cùng quay với khung dây. Mỗi vành khuyên có một thanh quét tì vào. Khi khung dây quay, hai vành khuyên trượt trên hai thanh quét, dòng điện truyền từ khung dây qua hai thanh quét ra ngoài.

Hoạt động 2 trang 73 Vật Lí 12: Thảo luận về:
- nguyên tắc tạo ra suất điện động xoay chiều.
- các yếu tố cần để tạo ra dòng điện xoay chiều.
- thiết kế phương án tạo ra dòng điện xoay chiều.
Lời giải:
- Nguyên tắc tạo ra dòng điện xoay chiều dựa trên hiện tượng cảm ứng điện từ (đây là hiện tượng hình thành một suất điện động (điện áp) trên một vật dẫn khi vật dẫn này được đặt trong một từ trường biến thiên).
- Có hai cách để tạo ra dòng điện xoay chiều như sau:
Cách thứ nhất: Cho nam châm quay xung quanh sau khi đặt một cuộn dây dẫn kín.
Cách thứ hai: Từ trường của nam châm để cuộn dây dẫn kín quay quanh.
II. Dòng điện xoay chiều
Hoạt động trang 74 Vật Lí 12: Dựa vào đồ thị biểu diễn cường độ dòng điện xoay chiều theo thời gian như Hình 17.3, hãy thực hiện các yêu cầu sau:

- Xác định chu kì T (s) và tần số f (Hz) của dòng điện xoay chiều.
- Xác định giá trị cực đại, giá trị hiệu dụng và pha ban đầu của cường độ dòng điện xoay chiều.
- Viết biểu thức cường độ dòng điện theo thời gian.
Lời giải:

III. Máy phát điện xoay chiều
Hoạt động 1 trang 75 Vật Lí 12: Hãy viết biểu thức suất điện động của máy phát điện xoay chiều trong trường hợp khung dây có N vòng dây, quay với tốc độ góc ω trong từ trường đều có cảm ứng từ
\(\underset{B}{\rightarrow}\) (
\(\underset{B}{\rightarrow}\) vuông góc với trục quay của khung).
Lời giải:

Hoạt động 2 trang 75 Vật Lí 12: Vì sao cần sử dụng vành khuyên và chổi quét để dẫn điện ra mạch ngoài đối với các máy phát điện xoay chiều hoạt động theo cách thứ nhất?
Lời giải:
Nếu không dùng vành khuyên và chổi quét thì 2 đầu dây của khung dây sẽ bị xoắn vào nhau, dẫn đến bị đứt, chập cháy.
IV. Ứng dụng và quy tắc an toàn khi sử dụng dòng điện xoay chiều
Hoạt động 1 trang 76 Vật Lí 12: Thảo luận để thực hiện các yêu cầu sau:
Ngoài thắp sáng, chạy máy thì dòng điện xoay chiều còn được sử dụng vào những việc gì?
Lời giải:
Ngoài thắp sáng, chạy máy thì điện còn được sử dụng vào những việc tạo ra nhiệt để đun nấu, sinh hoạt (nồi cơm điện, bàn là, bình nóng lạnh,…), truyền tin (điện thoại), làm lạnh (tủ lạnh,…),….
Hoạt động 2 trang 76 Vật Lí 12: Tìm hiểu thông qua sách báo, internet về các biện pháp giảm hao phí trong truyền tải điện năng đi xa bằng dòng điện xoay chiều.
Lời giải:
Một số cách giảm hao phí trong truyền tải điện năng đi xa bằng dòng điện xoay chiều:
- Giảm khoảng cách truyền từ nhà máy đến nơi tiêu thụ.
- Sử dụng dây dẫn có điện trở suất nhỏ như đồng, nhôm, ...
- Tăng tiết diện dây dẫn.
- Tăng điện áp hiệu dụng ở nhà máy phát điện khi đưa lên đường dây dẫn và giảm điện áp hiệu dụng ở nơi tiêu thụ tới giá trị cần thiết.
Hoạt động 1 trang 76 Vật Lí 12: Nhận biết được ý nghĩa của những biển báo an toàn điện.
Lời giải:
- Biển báo an toàn điện là loại biển báo thường được sử dụng ở các cơ sở sản xuất, kinh doanh, công trình,… nhằm mục đích cấm, cảnh báo, chỉ dẫn người lao động để đảm bảo an toàn điện khi thực hiện các hoạt động tại nơi làm việc.
- Biển báo an toàn điện được chia thành 03 (ba) loại: Biển cấm, biển cảnh báo và biển chỉ dẫn.
|
Biển báo cấm |
Biển cảnh báo |
Biển chỉ dẫn |
|
Cấm trèo! Điện cao áp nguy hiểm chết người
|
Dừng lại! Có điện nguy hiểm chết người: Viền và hình tia chớp màu đỏ tươi, nền màu trắng, chữ màu đen.
|
Làm việc tại đây
|
|
Cấm vào! Điện cao áp nguy hiểm chết người
|
Cáp điện lực: Viền, chữ và mũi tên màu xanh tím hoặc đen chìm 1 , 2 mm; nền màu trắng.
|
Vào hướng này
|
|
Cấm lại gần! Có điện nguy hiểm chết người
|
Đã nối đất
Trong đó: - (7), (8): Nền phía ngoài màu xanh lá cây, nền phía trong màu trắng, chữ màu đen. - (9): Viền và chữ màu đen, nền vàng. |
|
|
Cấm đóng điện! Có người đang làm việc
Trong đó: - (1), (2), (3): Viền và hình tia chớp màu đỏ tươi, nền màu trắng, chữ màu đen. - (4): Viền màu đỏ tươi, nền màu trắng, chữ màu đen. |
Hoạt động 2 trang 76 Vật Lí 12: Vì sao không nên sử dụng thiết bị điện trong quá trình sạc pin?
Lời giải:
Không nên sử dụng điện thoại khi đang sạc vì vừa nguy hiểm đến tính mạng do điện giật hay cháy nổ do dây dẫn điện bị rò rỉ điện và còn gây hỏng điện thoại do tỏa nhiệt lớn hơn nhiều lần bình thường trong khoảng thời gian ngắn.
Hoạt động 3 trang 76 Vật Lí 12: Vì sao cần lựa chọn và lắp đặt thiết bị đóng, ngắt điện ở vị trí phù hợp, dễ tiếp cận nhất tại gia đình?
Lời giải:
Cần lựa chọn và lắp đặt thiết bị đóng, ngắt điện ở vị trí phù hợp, dễ tiếp cận nhất tại gia đình vì khi xảy ra sự cố về điện dễ dàng ngắt điện, tránh hậu quả lớn nhất có thể xảy ra.
Hoạt động 4 trang 76 Vật Lí 12: Vì sao cần lựa chọn thiết bị điện có chất lượng, có công suất phù hợp với mạng lưới điện?
Lời giải:
Cần lựa chọn thiết bị điện có chất lượng, có công suất phù hợp với mạng lưới điện để các thiết bị điện hoạt động bình thường, an toàn, không gây ra chập cháy hay hỏng thiết bị làm ảnh hưởng đến sức khoẻ, kinh tế và an toàn cho bản thân, gia đình.
Hoạt động 5 trang 76 Vật Lí 12: Nêu tầm quan trọng của việc tuân thủ quy tắc an toàn khi sử dụng dòng điện xoay chiều trong cuộc sống.
Lời giải:
Việc tuân thủ quy tắc an toàn khi sử dụng điện xoay chiều trong cuộc sống:
- Đảm bảo được sức khoẻ của bản thân và gia đình.
- Nâng cao tuổi thọ của thiết bị điện.
- Tránh lãng phí điện năng, đảm bảo an ninh điện.
Em có thể trang 77 Vật Lí 12: • Nêu được ý nghĩa của các thông số ghi trên các thiết bị điện.
• Giải thích được cách tạo ra dòng điện xoay chiều trong nhà máy thuỷ điện.
• Đề xuất được một số biện pháp sử dụng điện an toàn trong gia đình.
Lời giải:
• Ý nghĩa của các thông số ghi trên các thiết bị điện.
- Kí hiệu … A cho biết dòng điện có thể chạy qua thiết bị để thiết bị hoạt động bình thường.
- Kí hiệu … W cho biết công suất định mức của thiết bị.
- Kí hiệu … V cho biết điện áp chạy qua thiết bị để thiết bị hoạt động bình thường.
• Giải thích được cách tạo ra dòng điện xoay chiều trong nhà máy thuỷ điện.
Nhà máy thủy điện được cấu tạo bởi các thành phần sau đây:
1. Đập thủy điện: giúp chứa nước tạo ra một hồ chứa lớn.
2. Ống dẫn nước: Dẫn nguồn nước đến tuabin.
3. Tua bin: Tua bin giúp gắn liền với máy phát điện ở phía trên nhờ một trục. Loại tuabin phổ biến dùng cho nhà máy thủy điện là Turbine Francis, có hình dạng giống như một đĩa lớn với những cánh cong. Mỗi chiếc tuabin có khối lượng lên tới khoảng 172 tấn và quay với tốc độ 90 vòng mỗi phút.
4. Máy phát điện: Là loại máy gồm một loạt các nam châm khổng lồ quay quanh cuộn dây đồng.
5. Máy biến áp đặt bên trong nhà máy điện tạo ra dòng điện xoay chiều AC và chuyển đổi nó thành dòng điện có điện áp cao hơn.
6. Đường dây điện: Đường dây điện gồm ba dây pha của năng lượng điện được sản xuất và một dây trung tính.
7. Cống xả: Giúp đưa nước chảy qua các đường ống và chảy vào hạ lưu sông.

Nguyên lý hoạt động của nhà máy thủy điện:
Quá trình vận hành nhà máy thủy điện gồm có bốn giai đoạn chính:
Giai đoạn 1: Dòng nước với áp lực lớn chảy qua các ống thép lớn được gọi là ống dẫn nước có áp tạo ra các cột nước khổng lồ với áp lực lớn đi vào bên trong nhà máy.
Giai đoạn 2: Nước chảy mạnh làm quay tuabin của máy phát điện, năng lượng cơ học được chuyển hóa thành điện năng.
Giai đoạn 3: Điện tạo ra đi quá máy biến áp để tạo ra dòng điện cao thế.
Giai đoạn 4: Dòng điện cao thế sẽ được kết nối vào mạng lưới phân phối điện và truyền về các thành phố.
• Đề xuất được một số biện pháp sử dụng điện an toàn trong gia đình.
Các biện pháp an toàn khi sử dụng điện cần ghi nhớ
1. Lắp đặt thiết bị đóng cắt điện đúng cách.
2. Lựa chọn thiết bị đóng cắt điện phù hợp.
3. Vị trí lắp đặt cầu dao, cầu chì, công tắc, ổ điện.
4. Giữ khoảng cách an toàn với nguồn điện trong gia đình.
5. Tránh xa nơi điện thế nguy hiểm.
6. Tránh sử dụng thiết bị điện khi đang sạc.
>>> Bài tiếp theo: Vật lý 12 Kết nối tri thức bài 18
Như vậy VnDoc đã giới thiệu các bạn tài liệu Giải SGK Vật lý lớp 12 bài 17: Máy phát điện xoay chiều. Mời các bạn tham khảo thêm tài liệu: Trắc nghiệm Vật lý 12, Ngữ văn 12 Kết nối tri thức, Toán 12 Kết nối tri thức, Tài liệu học tập lớp 12.









