Giải Vật lí 12 Chân trời sáng tạo bài 17
Giải Vật lí 12 Chân trời sáng tạo bài 17: Hiện tượng phóng xạ
Giải Vật lí 12 Chân trời sáng tạo bài 17: Hiện tượng phóng xạ được VnDoc.com tổng hợp với hướng dẫn bạn đọc trả lời các câu hỏi trong SGK Vật lý 12 các trang 111, 113, 114, 115, 116. Mời các bạn cùng theo dõi bài viết dưới đây.
Giải Vật lí 12 trang 111 Chân trời
Mở đầu trang 111 SGK Vật lý 12
Năm 1896, nhà vật lí Henri Becquerel (Hen-ri Béc-cơ-ren) (1852 - 1908) đã phát hiện những vết đen xuất hiện trên các kính ảnh được bao bọc kĩ (Hình 17.1) khi chúng vô tình được đặt cạnh những lọ chứa muối uranium. Những nghiên cứu sau đó của Becquerel chỉ ra rằng những vết đen trên kính ảnh được gây ra bởi một bức xạ không nhìn thấy và chưa từng được biết đến trước đó. Becquerel đã đặt tên cho bức xạ này là tia phóng xạ và quá trình phát ra bức xạ là hiện tượng phóng xạ. Vậy hiện tượng phóng xạ có bản chất là gì và có những loại phóng xạ nào?

Lời giải:
Hiện tượng phóng xạ là quá trình tự phát và ngẫu nhiên, không phụ thuộc vào các yếu tố bên ngoài như nhiệt độ, áp suất, …
Có các loại phóng xạ như phóng xạ α, β, γ.
Thảo luận 1 trang 111 SGK Vật lý 12
So sánh hiện tượng phóng xạ và phân hạch hạt nhân
Lời giải:
|
|
Hiện tượng phóng xạ |
Phân hạch hạt nhân |
|
Giống nhau |
- Đều tỏa năng lượng. - Phân tách hạt nhân nặng hơn thành hạt nhân nhẹ hơn. |
|
|
Khác nhau |
- Quá trình phân hủy tự phát của một hạt nhân không bền vững còn quá trình phân hạch tự phát xảy ra với xác suất rất nhỏ, đa số là các phản ứng phân hạch kích thích. - Năng lượng tỏa ra nhỏ hơn năng lượng từ phản ứng phân hạch. - Không thể tạo ra phản ứng dây chuyền. |
- Các hạt tạo ra từ phản ứng phân hạch có cùng một cỡ khối lượng. - Năng lượng tạo ra rất lớn. - Có thể tạo ra phản ứng dây chuyền |
Giải Vật lí 12 trang 113 Chân trời
Thảo luận 2 trang 113 SGK Vật lý 12
So sánh các tính chất vật lí của hạt electron và positron
Lời giải:
Hạt electron và positron có cùng khối lượng, cùng độ lớn điện tích nhưng positron mang điện tích dương
Thảo luận 3 trang 113 SGK Vật lý 12
Quan sát Hình 17.3, mô tả và giải thích về sự lệch hướng của các tia phóng xạ khi di chuyển trong điện trường đều. Giải thích vì sao tia β+ lệch nhiều hơn tia α

Lời giải:
Các tia phóng xạ có sự lệch hướng do điện tích:
- Tia β- lệch về phía bản dương do mang điện tích âm;
- Tia β+ và tia α lệch về phía bản âm do mang điện tích dương;
- Tia γ không lệch hướng do không mang điện tích.
- Tia β+ lệch nhiều hơn tia α vì: tia α là hạt nhân nguyên tử
\(_{2}^{4}He\), có khối lượng nặng hơn nhiều so với hạt β+.
Vận dụng trang 113 SGK Vật lý 12
Tìm hiểu và trình bày một số ứng dụng của tia gamma trong đời sống
Lời giải:
Trong y học:
- Sử dụng đến “dao mổ Gamma” - tập trung nhiều chùm tia bức xạ điện tử này vào các tế bào cần phá hủy, do mỗi chùm tia tương đối nhỏ nên nó ít làm tổn hại đến các mô tế bào khỏe mạnh.
- Điều trị các bệnh liên quan đến khối u hay dị dạng mạch máu, các bệnh chức năng của não, giúp các bác sĩ xác định chính xác các vị trí làm thương tổn, đem lại hiệu quả cao khi điều trị.
Tuy nhiên việc sử dụng tia Gamma trong y tế cần có sự kiểm soát và yêu cầu bắt buộc kiểm xạ để đảm bảo an toàn cho sức khỏe con người.
Trong công nghệ cơ khí: Sử dụng phương pháp chụp ảnh phóng xạ bằng việc sử dụng tia Gamma hoặc tia X phóng xuyên qua phim. Năng lượng truyền qua tùy theo mật độ sẽ cho ta biết vị trí nào bị khuyết tật bằng hình ảnh rõ ràng với độ chính xác cao.
Giải Vật lí 12 trang 114 Chân trời
Thảo luận 4 trang 114 SGK Vật lý 12
Quan sát Hình 17.4, xác định những thời điểm mà số hạt của chất phóng xạ đã giảm đi và còn lại một nửa, một phần tư và một phần tám so với số hạt ban đầu.
Lời giải:
Thời điểm T, số hạt của chất phóng xạ còn một nửa.
Thời điểm 2T, số hạt của chất phóng xạ còn một phần tư.
Thời điểm 3T, số hạt của chất phóng xạ còn một phần tám.
Thảo luận 5 trang 114 SGK Vật lý 12
Xác định đơn vị của hằng số phóng xạ λ trong hệ SI.
Lời giải:
Biểu thức hằng số phóng xạ
\(\lambda = \frac{ln2}{T}\) nên đơn vị của hằng số phóng xạ là s-1.
Giải Vật lí 12 trang 115 Chân trời
Thảo luận 6 trang 115 SGK Vật lý 12
Tính độ phóng xạ của một mẫu
\(_{19}^{38}K\) biết khối lượng của mẫu chất đó tại thời điểm đang xét là 10 g. Cho chu kì bán rã của
\(_{19}^{38}K\) là 7,64 phút.
Lời giải:
Độ phóng xạ:
![]()
Giải Vật lí 12 trang 116 Chân trời
Luyện tập trang 116 SGK Vật lý 12
Tính hằng số phóng xạ của các đồng vị phóng xạ trong Bảng 17.1.

Lời giải:

Vận dụng trang 116 SGK Vật lý 12
Trình bày sơ lược về việc ứng dụng định luật phóng xạ để xác định tuổi của mẫu vật
Lời giải:
Carbon là nguyên tố phổ biến trong cơ thể sinh vật. Trong đó có lẫn cả đồng vị
\(_{6}^{12}C\),
\(_{6}^{13}C\) và
\(_{6}^{14}C\). Khi còn sống, hàm lượng 146C614C trong cơ thể sinh vật không đổi (
\(_{6}^{14}C\) chiếm 10-6 % tổng lượng carbon). Khi sinh vật chết đi, lượng 146C614C trong cơ thể chúng giảm dần theo thời gian trong khi lượng
\(_{6}^{13}C\) và
\(_{6}^{12}C\) không thay đổi. Do đó, tỉ lệ
\(_{6}^{14}C\) cũng giảm dần. Dựa vào tính chất này, các nhà khoa học có thể xác định niên đại của các mẫu vật cổ có nguồn gốc hữu cơ (gỗ, xương, giấy, ... ).
Bài tập 1 trang 116 SGK Vật lý 12
Hiện tượng phóng xạ là hiện tượng
A. một hạt nhân biến đổi thành một hạt nhân khác khi hấp thụ một neutron.
B. một hạt nhân không bền vững tự phát phân rã thành các hạt nhân khác và phát ra các tia phóng xạ.
C. có thể được kiểm soát bằng cách đặt hạt nhân phóng xạ vào vùng không gian có điện trường hoặc từ trường.
D. một hạt nhân phát ra các tia phóng xạ khi bị bắn phá bởi các hạt có động năng lớn.
Lời giải:
Đáp án đúng là B
Hiện tượng phóng xạ là hiện tượng một hạt nhân không bền vững tự phát phân rã thành các hạt nhân khác và phát ra các tia phóng xạ.
Bài tập 2 trang 116 SGK Vật lý 12
Tia có khả năng đâm xuyên mạnh nhất là
A. tia α.
B. tia β+.
C. tia β-.
D. tia γ.
Lời giải:
Đáp án đúng là D
Tia có khả năng đâm xuyên mạnh nhất là tia γ.
Bài tập 3 trang 116 SGK Vật lý 12
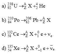
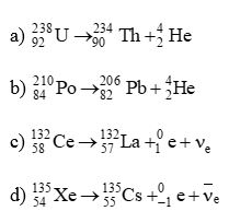
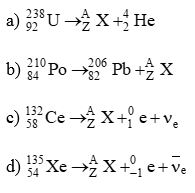
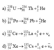
Xác định các hạt nhân
\(_{Z}^{A}X\) trong các phương trình phân rã sau:

Lời giải:

Bài tập 4 trang 116 SGK Vật lý 12
Một mẫu chất phóng xạ có hằng số phóng xạ λ = 0,1 s-1, ban đầu chứa 5.1012 hạt nhân chưa phân rã. Hãy xác định số hạt nhân phóng xạ đã phân rã và độ phóng xạ sau 30 giây kể từ lúc ban đầu.
Lời giải:
Số hạt nhân đã phân rã: ΔN = N0 − N = N0(1 − e−λt) = 5.1012.(1 − e−0,1.30) = 4,75.1012
Độ phóng xạ khi đó: H = λN = λ.N0.e−λt = 0,1.5.1012.e−0,1.30 = 2,49.1010Bq
Bài tập 5 trang 116 SGK Vật lý 12
Ta có thể xác định tuổi của các mẫu vật thông qua việc đo hoạt độ phóng xạ của đồng vị
\(_{6}^{14}C\) bên trong nó. Hãy xác định tuổi của một mẫu gỗ hoá thạch nếu tỉ số hoạt độ phóng xạ của đồng vị
\(_{6}^{14}C\) trong mẫu gỗ hoá thạch và trong một mẫu gỗ tươi có cùng khối lượng bằng 0,63.
Lời giải:
Đang cập nhật...
Bài tiếp theo: Giải Vật lí 12 Chân trời sáng tạo bài 18