Vật lý 12 Kết nối tri thức bài 15
Vật lý 12 Kết nối tri thức bài 15: Lực từ tác dụng lên dây dẫn mang dòng điện - Cảm ứng từ được VnDoc sưu tầm và xin gửi tới bạn đọc cùng tham khảo để có thêm tài liệu giải SGK Vật lí 12 Kết nối tri thức nhé. Mời các bạn cùng theo dõi bài viết dưới đây.
Bài: Lực từ tác dụng lên dây dẫn mang dòng điện - Cảm ứng từ
Khởi động trang 61 Vật Lí 12: Tính chất cơ bản của từ trường là gây ra lực từ tác dụng lên một nam châm hay một dòng điện đặt trong từ trường đó. Vậy lực từ có đặc điểm như thế nào?
Lời giải:
Lực từ F tác dụng lên đoạn dây dẫn dài L mang dòng điện có cường độ I, đặt trong từ trường đều có cảm ứng từ
\(\underset{B}{\rightarrow}\) có:
- Điểm đặt tại trung điểm của đoạn dây mang dòng điện;
- Phương vuông góc với I và
\(\underset{B}{\rightarrow}\);
- Chiều tuân theo theo quy tắc bàn tay trái;
- Độ lớn: F = BILsinα.
I. Thí nghiệm về lực từ tác dụng lên đoạn dây dẫn mang dòng điện
Hoạt động trang 61 Vật Lí 12:
Thí nghiệm
Chuẩn bị: Thiết bị thí nghiệm gồm:
- Hộp gỗ có gắn các thiết bị dưới đây:
+ Nam châm điện có gắn hai tấm thép (1).
+ Đòn cân (2) có gắn gia trọng (3) và khớp nối với khung dây dẫn (4).
+ Hai ampe kế có giới hạn đo 2 A (5), (6).
+ Hai biến trở xoay 100 Ω - 2 A (7).
+ Hai công tắc dùng để đảo chiều dòng điện qua nam châm điện và khung dây (8), (9).
- Khung dây n = 200 vòng có chiều dài một cạnh l = 10 cm (10).
- Lực kế có giới hạn đo 0,5 N (11).
- Đèn chỉ hướng từ trường trong lòng nam châm điện (12).
- Nguồn điện một chiều, điện áp 12 V (13) và các dây nối.
Tiến hành:
- Nối hai cực của nguồn điện DC với hai chốt cắm trên hộp gỗ. Cắm khung dây vào khớp nối trên đòn cân, sao cho cạnh dưới của khung dây nằm trong từ trường của nam châm.
- Đóng công tắc điện.

Thực hiện các yêu cầu sau:
1. Quan sát và giải thích hiện tượng xảy ra với khung dây.
2. Quan sát đèn chỉ hướng từ trường trong lòng nam châm điện, các cực của nguồn điện nối với khung dây, chiều chuyển động của khung dây; từ đó xác định chiều của cảm ứng từ bên trong lòng nam châm điện, chiều dòng điện và chiều của lực từ tác dụng lên đoạn dây dẫn mang dòng điện I trong từ trường.
3. Dự đoán hiện tượng xảy ra nếu đổi chiều dòng điện chạy qua nam châm điện hoặc khung dây.
4. Đề xuất cách xác định chiều của lực từ.
Lời giải:
1. Khung dây bị nâng lên hoặc hạ xuống do chịu tác dụng của lực từ do từ trường của nam châm điện gây ra.
2. Học sinh tự quan sát thí nghiệm và đưa ra kết luận.
Giả sử các cực của nam châm như hình dưới đây, chiều chuyển động của khung dây, ta có thể xác định chiều của cảm ứng từ bên trong lòng nam châm điện, chiều dòng điện và chiều của lực từ tác dụng lên đoạn dây dẫn mang dòng điện I trong từ trường.

3. Nếu đổi chiều dòng điện chạy qua nam châm điện hoặc khung dây thì khung dây sẽ chuyển động ngược lại so với ban đầu.
4. Cách xác định chiều của lực từ: Quy tắc bàn tay trái:
Đặt bàn tay trái sao cho vecto cảm ứng từ
\(\underset{B}{\rightarrow}\) hướng vào lòng bàn tay, chiều từ cổ tay đến các ngón tay trùng với chiều dòng điện, thì ngón tay cái choãi ra 900 chỉ chiều của lực từ
\(\underset{F}{\rightarrow}\) tác dụng lên dòng điện.
Hoạt động trang 62 Vật Lí 12: Sử dụng quy tắc bàn tay trái để kiểm chứng chiều của lực từ tác dụng lên thanh kim loại M1M2 trong Hình 15.2.

Lời giải:
Học sinh tự kiểm chứng bằng quy tắc bàn tay trái. Kết quả thấy chính xác.
Câu hỏi trang 62 Vật Lí 12: Ba dây dẫn mang dòng điện đặt trong từ trường như Hình 15.4.
1. Hãy xác định phương và chiều của lực từ tác dụng lên dây dẫn ở Hình 15.4a, 15.4b.
2. Trong trường hợp Hình 15.4c, có lực từ tác dụng lên dây dẫn không? Dự đoán lực từ còn phụ thuộc vào yếu tố nào khác?

Lời giải:
1. Ở hình 15.4a, lực từ có phương vuông góc với mặt phẳng hình vẽ, có chiều hướng từ ngoài vào trong.
Ở hình 15.4b, lực từ có phương thẳng đứng, chiều từ trên xuống dưới.
2. Ở hình 15.4c, không xuất hiện lực từ. Lực từ còn phụ thuộc vào góc hợp bởi phương của từ trường và hướng của dòng điện.
II. Độ lớn cảm ứng từ
Câu hỏi 1 trang 63 Vật Lí 12: Xét một đoạn dây dẫn thẳng có chiều dài L = 1 m, có dòng điện I = 3 A chạy qua được đặt trong từ trường đều có cảm ứng từ B = 5.10-2 T. Hãy xác định độ lớn của lực từ tác dụng lên đoạn dây dẫn mang dòng điện nếu phương của dây dẫn hợp với vectơ cảm ứng từ một góc 60°.
Lời giải:
Độ lớn lực từ F = BLIsinα = 5.10−2.1.3.sin60° ≈ 0,13N
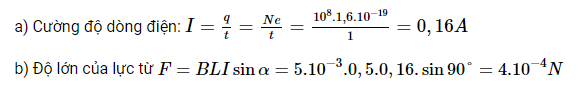
Câu hỏi 2 trang 63 Vật Lí 12: Một dây dẫn dài 50 cm có dòng điện chạy qua được đặt vuông góc với từ trường có độ lớn cảm ứng từ là 5 mT.
a) Nếu có 1018 electron chạy qua dây dẫn trong mỗi giây thì cường độ dòng điện chạy qua dây dẫn bằng bao nhiêu? (Cho biết độ lớn điện tích electron là |e| = 1,60.10-19 C).
b) Tính độ lớn của lực từ tác dụng lên dây dẫn.
Lời giải:

III. Thực hành đo độ lớn cảm ứng từ
Hoạt động trang 63 Vật Lí 12:
a) Từ công thức (15.1), hãy cho biết để xác định cảm ứng từ thì cần đo các đại lượng nào?
b) Nên đặt góc α bằng bao nhiêu? Tại sao?
c) Mô tả các bước tiến hành thí nghiệm để đo được cảm ứng từ của nam châm điện.
Lời giải:
a) Từ công thức (15.1)
\(B=\frac{F}{I.L.\sinα}\), để xác định cảm ứng từ thì cần đo các đại lượng: góc hợp bởi dòng điện và cảm ứng từ (hướng của cảm ứng từ hoàn toàn xác định được dựa vào các cực của nam châm hoặc nam châm điện…), cường độ dòng điện chạy qua dây dẫn, đo độ lớn lực từ tác dụng lên khung dây dựa vào giá trị trên lực kế.
b) Nên đặt góc α bằng 90o tức là khung dây vuông góc với vecto cảm ứng từ của nam châm điện. Vì khi đặt góc α bằng 90o để việc tính toán dễ hơn và tiến hành thí nghiệm được đơn giản hơn.
c) Các bước tiến hành thí nghiệm để đo được cảm ứng từ của nam châm điện.
- Treo khung dây vào đầu đòn cân.
- Điều chỉnh khung dây vuông góc với vectơ cảm ứng từ của nam châm điện (α = 90°).
- Điều chỉnh gia trọng và dây căng lực kế để lực kế đo được lực từ.
- Bật công tắc nguồn điện. Điều chỉnh cường độ dòng điện qua nam châm điện ở mức ban đầu 0,1 A. Xác định giá trị của lực từ F qua lực kế.
- Thay đổi giá trị cường độ dòng điện qua khung dây mỗi lần tăng lên 0,1 A. Đọc giá trị cường độ dòng điện I qua khung dây và xác định giá trị lực từ F qua lực kế, ghi kết quả vào vở như ví dụ ở Bảng 15.1.

Hoạt động trang 64 Vật Lí 12:
- Tính
\(\frac{F}{IL}\) và điền vào bảng như ví dụ minh hoạ ở Bảng 15.1.
- Tính giá trị trung bình, sai số phép đo độ lớn cảm ứng từ B của từ trường nam châm.
Nhận xét và đánh giá kết quả thí nghiệm:
Nhận xét về nguyên nhân gây ra sai số của phép đo và đề ra giải pháp để giảm sai số đó.
Lời giải:


Nguyên nhân gây ra sai số có thể do thao tác đo, cách đọc giá trị đo, do ngoại lực (gió thổi vào khung dây làm cho giá trị của lực chưa chuẩn)…
Cách khắc phục: thực hiện thao tác đúng, đảm bảo điều kiện thí nghiệm tốt nhất.
Em có thể trang 65 Vật Lí 12: Giải thích được nguyên tắc hoạt động của tàu đệm từ.
Lời giải:
Tàu đệm từ hoạt động dựa trên tính chất từ của nam châm: cùng cực thì đẩy nhau, khác cực thì hút nhau.
>>> Bài tiếp theo: Vật lý 12 Kết nối tri thức bài 16
Như vậy VnDoc đã giới thiệu các bạn tài liệu Giải SGK Vật lý lớp 12 bài 15: Lực từ tác dụng lên dây dẫn mang dòng điện - Cảm ứng từ. Mời các bạn tham khảo thêm tài liệu: Trắc nghiệm Vật lý 12, Ngữ văn 12 Kết nối tri thức, Toán 12 Kết nối tri thức, Tài liệu học tập lớp 12.