Giải Chuyên đề Vật lí 12 Cánh diều bài 1: Năng lượng photon và hiệu ứng quang điện
Bài 1: Năng lượng photon và hiệu ứng quang điện
- Mở đầu trang 48 Chuyên đề Vật lí 12 Cánh diều
- Câu hỏi 1 trang 49 Chuyên đề Vật lí 12 Cánh diều
- Thực hành trang 50 Chuyên đề Vật lí 12 Cánh diều
- Câu hỏi 2 trang 51 Chuyên đề Vật lí 12 Cánh diều
- Câu hỏi 3 trang 52 Chuyên đề Vật lí 12 Cánh diều
- Luyện tập 1 trang 52 Chuyên đề Vật lí 12 Cánh diều
- Luyện tập 2 trang 54 Chuyên đề Vật lí 12 Cánh diều
- Câu hỏi 4 trang 54 Chuyên đề Vật lí 12 Cánh diều
- Luyện tập 3 trang 55 Chuyên đề Vật lí 12 Cánh diều
- Câu hỏi 5 trang 56 Chuyên đề Vật lí 12 Cánh diều
- Luyện tập 4 trang 56 Chuyên đề Vật lí 12 Cánh diều
- Luyện tập 5 trang 57 Chuyên đề Vật lí 12 Cánh diều
- Vận dụng trang 57 Chuyên đề Vật lí 12 Cánh diều
Giải Chuyên đề Vật lí 12 bài 1: Năng lượng photon và hiệu ứng quang điện là tài liệu hữu ích giúp bạn đọc có thể trau dồi nội dung kiến thức, học tập tốt hơn môn Vật lí 12 Cánh diều nhé.
Mở đầu trang 48 Chuyên đề Vật lí 12 Cánh diều
Chúng ta đã biết nhiều hiện tượng chứng tỏ ánh sáng là sóng điện từ, ví dụ như sự giao thoa ánh sáng. Ngoài tính chất sóng, ánh sáng còn có tính chất nào khác? Hiện tượng nào chứng tỏ ánh sáng có tính chất đó?
Lời giải:
Ngoài tính chất sóng, ánh sáng còn có tính chất:
- Tính chất lượng tử : Hiện tượng quang điện, hiện tượng quang hoá học
- Tính chất hạt
- Tính chất lưỡng tính sóng, hạt.
Ví dụ: Hiện tượng quang điện: Khi chiếu ánh sáng lên bề mặt kim loại, nếu năng lượng photon lớn hơn hoặc bằng năng lượng tối thiểu cần thiết để giải phóng electron khỏi nguyên tử kim loại, electron sẽ được giải phóng và tạo ra dòng điện.
Câu hỏi 1 trang 49 Chuyên đề Vật lí 12 Cánh diều
Vì sao trong thí nghiệm ở Hình 1.2, hai lá của điện nghiệm lại xoè ra khi tích điện âm cho tấm kẽm?

Lời giải:
Bởi vì khi tích điện âm cho tấm kẽm, thì nó nhận thêm electron khiến tấm kẽm thừa điện tích âm, chính điện tích âm thừa này đã tạo ra điện trường, lực hút của điện trường làm cho các điện tích dương trong hai lá kim loại chuyển động về hai đầu lá, dẫn đến hai lá của điện nghiệm xoè ra do lực đẩy của các điện tích dương.
Thực hành trang 50 Chuyên đề Vật lí 12 Cánh diều
Mục đích
Vẽ được đồ thị biểu diễn mối liên hệ giữa cường độ dòng điện I và hiệu điện thế UAK giữa anode và cathode của tế bào quang điện.
Dụng cụ
- Tế bào quang điện chân không, cathode phủ chất nhạy quang Sb-Ce, có hộp bảo vệ (1).
- Hộp gồm ba LED đỏ, lục, lam, công suất mỗi LED 3W và điều chỉnh được cường độ sáng (2).
Hộp chân đế có tích hợp:
- Núm chọn LED (3)
- Núm điều chỉnh cường độ sáng của LED (4)
- Đồng hồ đo cường độ dòng quang điện I (μA) (5)
- Chuyển mạch đo thuận hoặc nghịch (6)
- Điều chỉnh hiệu điện thế UAK (7)
- Đồng hồ đo hiệu điện thế UAK (V) (8)
Phương án thí nghiệm
- Tìm hiểu công dụng của từng dụng cụ đã cho
- Thiết kế phương án thí nghiệm khảo sát dòng quang điện bằng dụng cụ này.
Tiến hành
Lắp đặt các dụng cụ như Hình 1.5.

a) Tiến hành thí nghiệm với các ánh sáng đơn sắc khác nhau
Bật công tắc nguồn phía sau hộp chân đế.
• Chọn LED màu lam.
• Điều chỉnh (7) để thay đổi UAK
• Đọc và ghi số chỉ của vôn kế và ampe kế vào vở theo mẫu ở Bảng 1.1.

• Thực hiện lại các bước thí nghiệm trên với LED màu lục và LED màu đỏ.
b) Tiến hành thí nghiệm khảo sát mối liên hệ giữa cường độ dòng quang điện và hiệu điện thế UAK
Chọn LED màu lam.
* Với UAK > 0
• Điều chỉnh (7) để thay đổi UAK
• Đọc và ghi số chỉ của vôn kế và ampe kế vào vở theo mẫu Bảng 1.2. (Đo ít nhất 10 giá trị khác nhau của UAK và I; có thể chọn giá trị UAK ở mỗi lần đo cách nhau 2 V hoặc 4 V).
* Với UAK < 0
• Làm tương tự các bước thí nghiệm trên (Đo ít nhất 8 giá trị; có thể chọn giá trị UAK ở mỗi lần đo cách nhau khoảng 0,1 V).
Kết quả

Vẽ đồ thị biểu diễn mối liên hệ giữa cường độ dòng điện I và hiệu điện thế UAK
Lời giải:

Đồ thị biểu diễn mối liên hệ giữa cường độ dòng điện I và hiệu điện thế UAK
Câu hỏi 2 trang 51 Chuyên đề Vật lí 12 Cánh diều
Từ kết quả thu được, hãy dự đoán hình dạng của đồ thị khi tăng UAK. Giải thích dự đoán này.
Lời giải:
Nội dung đang được cập nhật ...
Câu hỏi 3 trang 52 Chuyên đề Vật lí 12 Cánh diều
Với một chùm sáng đơn sắc có bước sóng λ ≤ λ0 và cường độ sáng nhất định, vì sao khi tăng hiệu điện thế UAK đến một giá trị xác định nào đấy thì cường độ dòng quang điện lại không tăng nữa.
Lời giải:
Vì cường độ dòng quang điện đạt đến trạng thái bão hoà.
Luyện tập 1 trang 52 Chuyên đề Vật lí 12 Cánh diều
Cường độ dòng quang điện bão hoà là 4,0.10-5A. Trong mỗi giây có bao nhiêu electron bị bứt ra khỏi cathode của tế bào quang điện.
Lời giải:
\(n = \frac{4.10^{-5} }{1,6.10^{-19} } = 2,5.10^{14}\)
Luyện tập 2 trang 54 Chuyên đề Vật lí 12 Cánh diều
Tính bước sóng của bức xạ ứng với photon có năng lượng là 8,2.10-20 J
Lời giải:
\(\lambda = \frac{hc}{\epsilon } = \frac{6,625.10^{-34}.3.10^{8} }{8,2.10^{-20} } = 2,42.10^{-6} m\)
Câu hỏi 4 trang 54 Chuyên đề Vật lí 12 Cánh diều
Chùm sáng là chùm photon nhưng vì sao ta nhìn thấy chùm sáng liên tục.
Lời giải:
Vì mật độ photon rất lớn.
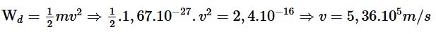
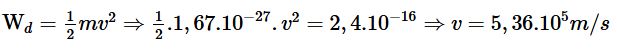
Luyện tập 3 trang 55 Chuyên đề Vật lí 12 Cánh diều
Một photon được gia tốc từ trạng thái nghỉ bằng một hiệu điện thế 1500 V. Biết photon có điện tích là 1,60.10-19C và khối lượng là 1,67.10-27 kg.
Tính:
a) Động năng của photon sau khi được tăng tốc.
b) Tốc độ của proton.
Lời giải:
a) Wd = qU = 1,6.10−19.1500 = 2,4.10−16J
b) ![]()
Câu hỏi 5 trang 56 Chuyên đề Vật lí 12 Cánh diều
Vì sao các electron ở trong khối kim loại, khi bị bứt ra, lại có động năng ban đầu nhỏ hơn
\(\frac{mv_{omax}^{2} }{2}\)
Lời giải:
Đối với các clectron nằm sâu bên trong kim loại, trước khi đến bề mặt kim loại, chúng dã va chạm với các ion dương của kim loại và mất một phần năng lượng.
Nếu electron nằm ở bề mặt kim loại thì nó có thể thoát ra ngay mà không mất năng lượng truyền cho kim loại. So với động năng ban đầu mà các electron nằm ở sâu bên trong kim loại thu được khi bị bứt ra thì động năng ban đầu của electron nằm ở bề mặt là cực đại.
Do đó các electron ở trong khối kim loại, khi bị bứt ra, lại có động năng ban đầu nhỏ hơn
\(\frac{mv_{omax}^{2} }{2}\)
Luyện tập 4 trang 56 Chuyên đề Vật lí 12 Cánh diều
Giới hạn quang điện của natri là 0,50 µm. Chiếu vào natri tia tử ngoại có bước sóng 0,25 µm.
Lời giải:
![]()
Luyện tập 5 trang 57 Chuyên đề Vật lí 12 Cánh diều
Vận dụng công thức (1.5), hãy giải thích định luật về động năng ban đầu cực đại của electron quang điện.
Lời giải:
Từ công thức Einstein, ta có động năng ban đầu cực đại của electron bằng:
\(\frac{1}{2} mv_{0}^{2} = hf - A = \frac{hc}{\lambda } - A\)
Ta thấy động năng ban đầu cực đại của electron không phụ thuộc vào cường độ chùm bức xạ điện từ kích thích mà chỉ phụ thuộc vào bước sóng kích thích A và công thoát A của electron.
Vận dụng trang 57 Chuyên đề Vật lí 12 Cánh diều
Thảo luận với bạn để mô tả sự truyền năng lượng của photon cho kim loại khi photon có bước sóng ngắn hơn giới hạn quang điện của kim loại.
Lời giải:
Khi photon có bước sóng ngắn hơn giới hạn quang điện của kim loại thì khi đó năng lượng photon truyền cho kim loại đủ lớn, lớn hơn công thoát A, do đó đủ là bật ra các electron khỏi bề mặt kim loại.