Vật lý 12 Kết nối tri thức bài 22
VnDoc xin giới thiệu bài Giải bài tập Vật Lí lớp 12 bài 22: Phản ứng hạt nhân và năng lượng liên kết chi tiết sách Kết nối tri thức giúp học sinh xem và so sánh lời giải từ đó biết cách làm bài tập môn Vật lí 12.
Bài: Phản ứng hạt nhân và năng lượng liên kết
Khởi động trang 96 Vật Lí 12: Chiếc tem thư phát hành năm 1971 có in hình Rutherford và phương trình phản ứng hạt nhân được thực hiện lần đầu tiên trên thế giới vào năm 1909. Người ta đã thực hiện thí nghiệm phát hiện phản ứng hạt nhân như thế nào? Các hạt nhân có thể biến đổi thành các hạt nhân khác không?

Lời giải:
Rutherford đã cho chùm hạt alpha (
\(_{2}^{4}He\)), phóng ra từ nguồn phóng xạ
\(_{84}^{210}Po\) đặt tại P, bắn phá hạt nhân
\(_{7}^{14}N\) có trong không khí được dẫn theo đường nạp và hút khí A (Hình 22.1). Kính hiển vi K dùng để quan sát vết sáng được tạo ra do hạt nhân đập vào màn phủ huỳnh quang S. Từ kết quả thí nghiệm, ông cho rằng có hạt nhân
\(_{1}^{1}H\) trong sản phẩm. Tuy nhiên, ông chưa đưa ra được kết luận về bản chất diễn biến của quá trình tương tác trên.

I. Phản ứng hạt nhân
Hoạt động trang 97 Vật Lí 12: So sánh tổng số điện tích, tổng số nucleon của các hạt nhân trước và sau khi tương tác trong thí nghiệm như mô tả ở Hình 22.2.

Lời giải:
Tổng số điện tích (9), tổng số nucleon (18) của các hạt nhân trước và sau khi tương tác bằng nhau.
Câu hỏi trang 97 Vật Lí 12: Hãy trình bày sự khác nhau giữa phản ứng hạt nhân và phản ứng hoá học.
Lời giải:
|
Phản ứng hạt nhân |
Phản ứng hóa học |
|
- Phản ứng hạt nhân chỉ xảy ra bên trong hạt nhân. - Trong các phản ứng hạt nhân, hạt nhân của các nguyên tử thay đổi hoàn toàn và các nguyên tố mới được hình thành. - Phản ứng hạt nhân độc lập với các yếu tố như vậy. - Thay đổi năng lượng đi kèm với phản ứng hạt nhân tương đối cao hơn và lớn hơn. - Không có hoạt động như vậy có liên quan trong các phản ứng hạt nhân. - Phản ứng hạt nhân hầu như không thể đảo ngược. |
- Phản ứng hóa học thường xảy ra bên ngoài hạt nhân. - Khi các phản ứng hóa học xảy ra, các nguyên tố giữ bản sắc của chúng và hạt nhân của các nguyên tử cũng không thay đổi. - Phản ứng hóa học có thể bị ảnh hưởng bởi áp suất hoặc nhiệt độ. - Trong những phản ứng như vậy có sự thay đổi năng lượng thấp. - Có sự phá vỡ các liên kết cũ và hình thành các liên kết hóa học mới trong một phản ứng hóa học. - Phản ứng hóa học có thể đảo ngược hoặc không thể đảo ngược. |
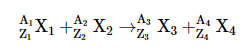
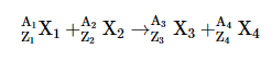
Hoạt động 1 trang 97 Vật Lí 12: Hãy viết biểu thức liên hệ giữa các số khối và biểu thức liên hệ giữa các điện tích của các hạt nhân trong phản ứng hạt nhân:

Lời giải:
Bảo toàn số nucleon (số khối): A1 + A2 = A3 + A4
Bảo toàn điện tích: Z1 + Z2 = Z3 + Z4
Hoạt động 2 trang 97 Vật Lí 12: Khi bắn phá
\(_{92}^{235}U\) bằng neutron
\(_{0}^{1}n\) người ta thấy chúng hợp nhất thành hạt nhân X, ngay sau đó hạt nhân X phân rã thành
\(_{42}^{99}Mo\), ba hạt neutron và một hạt nhân Y.
a) Viết các phương trình phản ứng hạt nhân mô tả trong quá trình trên.
b) Sử dụng bảng hệ thống tuần hoàn hãy xác định tên gọi và kí hiệu các hạt nhân X và Y.
Lời giải:
a) Phương trình phản ứng hạt nhân:

b) Dựa vào bảng hệ thống tuần hoàn thì X là Uranium (U) là một đồng vị của
\(_{92}^{236}U\) và Y là thiếc (Sn).
II. Năng lượng liên kết
Câu hỏi trang 98 Vật Lí 12: Vì sao để tách được các nucleon ra khỏi hạt nhân cần một năng lượng lớn?
Lời giải:
Muốn phá vỡ một hạt nhân X ta phải cung cấp một năng lượng đúng bằng năng lượng mà hệ các hạt đã tỏa ra khi hạt nhân được tạo thành (năng lượng liên kết hạt nhân). Mà các nucleon liên kết với nhau bởi lực hạt nhân có cường độ rất lớn.
Hoạt động 1 trang 98 Vật Lí 12: Nêu mối liên hệ giữa độ bền vững của hạt nhân và năng lượng liên kết riêng.
Lời giải:
Hạt nhân có Elkr càng lớn thì càng bền vững và ngược lại.
Hoạt động 2 trang 98 Vật Lí 12: Giá trị năng lượng liên kết riêng Elkr của nhiều hạt nhân được biểu diễn trên đồ thị Hình 22.3. Em hãy:

a) Chỉ ra hai hạt nhân bền vững nhất, ước lượng Elkr của chúng.
b) Xác định năm hạt nhân nhẹ (A ≤ 30) và bốn hạt nhân nặng (A ≥ 160) có Elkr < 8,2 MeV.
Lời giải:
a) Dựa vào đồ thị thấy Fe và As là hạt nhân bền vững nhất. Elkr của Fe khoảng 8,7 MeV, của As khoảng 8,6 MeV.
b) Năm hạt nhân nhẹ (A ≤ 30) và có Elkr < 8,2 MeV là: Li, Be, B, He, N
Bốn hạt nhân nặng (A ≥ 160) và có Elkr < 8,2
Câu hỏi trang 99 Vật Lí 12: Hãy tính độ hụt khối của hạt nhân oxygen
\(_{8}^{16}O\), biết khối lượng hạt nhân oxygen là mO ≈ 15,99492
Lời giải:
Độ hụt khối:

MeV là: Hf, Au, Bi, U
Hoạt động trang 100 Vật Lí 12: Hãy thực hiện các yêu cầu sau:
a) Tính năng lượng liên kết và năng lượng liên kết riêng của hạt nhân 24He.
b) Tìm hệ số chuyển đổi giữa các đơn vị amu và MeV/c2.
Lời giải:
1 amu = 1,66054.10-27 kg
a) Độ hụt khối:

b) 1 amu = 931,5 MeV/c2
III. Phản ứng phân hạch hạt nhân
Hoạt động trang 101 Vật Lí 12: Sự phân hạch hạt nhân là gì? Nêu đặc điểm phản ứng phân hạch của uranium.
Lời giải:
- Phản ứng phân hạch là phản ứng trong đó một hạt nhân nặng vỡ thành hai hạt nhân nhẹ hơn. Hai hạt nhân này, hay còn gọi là sản phẩm phân hạch, có số khối trung bình và bền vững hơn so với hạt nhân ban đầu.
- Đặc điểm của phản ứng phân hạch của Uranium: Sau mỗi phản ứng phân hạch có một số neutron được giải phóng, số neutron này lại tham gia và các phản ứng phân hạch tiếp theo.
Câu hỏi 1 trang 101 Vật Lí 12: Nêu đặc điểm của phản ứng phân hạch dây chuyền.
Lời giải:
- Các neutron sinh ra sau mỗi phân hạch của uranium (hoặc plutonium ...) lại có thể bị hấp thụ bởi các hạt nhân uranium (hoặc plutonium ...) khác ở gần đó, làm xảy ra phân hạch tiếp theo và cứ thế, sự phân hạch tiếp diễn thành một dây chuyền. Số phân hạch tăng lên rất nhanh trong một thời gian rất ngắn, ta có phản ứng phân hạch dây chuyền.
- Gọi k là số neutron trung bình được giải phóng sau mỗi phân hạch đến kích thích các hạt nhân 92235U khác để tạo nên những phản ứng phân hạch mới hình thành dây chuyền phản ứng. Khi k < 1 ứng với phản ứng phân hạch dây chuyền tắt dần, k > 1 ứng với phân hạch dây chuyền tự duy trì.
Câu hỏi 2 trang 101 Vật Lí 12: Tính năng lượng toả ra khi phân hạch hoàn toàn 1 kg
\(_{92}^{235}U\) . Biết mỗi phân hạch toả ra năng lượng 200 MeV.
Lời giải:
![]()
Số phản ứng hạt nhân bằng với số hạt nhân
\(_{92}^{235}U\), nên năng lượng toả ra là:
W = 2,56.1024.200 = 5,12.1026 MeV.
IV. Phản ứng tổng hợp hạt nhân
Câu hỏi 1 trang 103 Vật Lí 12: Sự tổng hợp hạt nhân là gì? Nêu điều kiện xảy ra phản ứng tổng hợp hạt nhân.
Lời giải:
- Phản ứng tổng hợp hạt nhân là phản ứng trong đó hai hay nhiều hạt nhân nhẹ tổng hợp lại thành một hạt nhân nặng hơn.
- Điều kiện xảy ra phản ứng tổng hợp hạt nhân:
+ Nhiệt độ cần cho phản ứng khoảng 107 đến 108 K.
+ Mật độ hạt nhân n phải đủ lớn, đồng thời thời gian Δt duy trì nhiệt độ cao cũng phải đủ dài. J. D. Lawson (Lau-sơn, nhà khoa học người Anh) đã chứng minh điều kiện: n.Δt > 1014 s/cm3.
Câu hỏi 2 trang 103 Vật Lí 12: So sánh định tính phản ứng tổng hợp hạt nhân và phản ứng phân hạch về các đặc điểm: nhiên liệu phản ứng và điều kiện xảy ra phản ứng.
Lời giải:
|
Đặc điểm |
phản ứng tổng hợp hạt nhân |
phản ứng phân hạch |
|
Nhiên liệu phản ứng |
Có sẵn trong tự nhiên và rất phong phú, gần như là vô tận |
Sử dụng các hạt nhân nặng, hiếm, cần phải làm giàu. |
|
Điều kiện xảy ra phản ứng |
- Cần nhiệt độ rất cao và mật độ hạt nhân cao. - Phản ứng khó xảy ra |
- Cần neutron để bắn phá hạt nhân. - Phản ứng dễ xảy ra |
Em có thể trang 103 Vật Lí 12:
• Nêu được nguyên tắc để biến một chất bất kì thành một chất mong muốn.
• Nêu được tiềm năng khai thác sử dụng năng lượng hạt nhân.
• Giải thích được vì sao phản ứng phân hạch và tổng hợp hạt nhân toả năng lượng.
• Giải thích nguồn gốc vạn vật.
Lời giải:
- Nguyên tắc để biến một chất bất kì thành một chất mong muốn là xảy ra phản ứng hạt nhân.
- Tiềm năng khai thác sử dụng năng lượng hạt nhân: Năng lượng hạt nhân là năng lượng rất lớn thu được trong một phản ứng hạt nhân. Năng lượng hạt nhân khi hoạt động không phát thải khí độc hại như CO2 và metan, những chất nguy hiểm khác – nguyên nhân gây hiện tượng biến đổi khí hậu.
- Phản ứng phân hạch là phản ứng trong đó một hạt nhân nặng vỡ thành hai hạt nhân nhẹ hơn nên cần năng lượng lớn để phá vỡ lực liên kết hạt nhân vì vậy tỏa nhiệt lớn.
- Phản ứng tổng hợp hạt nhân là phản ứng hạt nhân trong đó hai hay nhiều hạt nhân nhẹ tổng hợp lại thành một hạt nhân nặng hơn vì các hạt nhân đều mang điện tích dương nên muốn chúng hợp lại thì phải cung cấp cho chúng một động năng đủ lớn để thắng được lực đẩy tĩnh điện làm chúng kết hợp với nhau. Nên phản ứng này cũng tỏa năng lượng rất lớn.
- Nguồn gốc vạn vật đều được cấu tạo từ các nguyên tử hoặc phân tử, tạo ra các nguyên tử, nguyên tố mới nhờ các phản ứng hạt nhân.
>>> Bài tiếp theo: Vật lý 12 Kết nối tri thức bài 23
Như vậy VnDoc đã giới thiệu các bạn tài liệu Giải SGK Vật lý lớp 12 bài 22: Phản ứng hạt nhân và năng lượng liên kết. Mời các bạn tham khảo thêm tài liệu: Trắc nghiệm Vật lý 12, Ngữ văn 12 Kết nối tri thức, Toán 12 Kết nối tri thức, Tài liệu học tập lớp 12.