Giải Vật lí 12 Cánh diều bài tập chủ đề 3
Giải Vật lý 12 Cánh diều bài tập chủ đề 3
VnDoc.com xin gửi tới bạn đọc bài viết Giải Vật lí 12 Cánh diều bài tập chủ đề 3 để bạn đọc cùng tham khảo. Bài viết được tổng hợp gồm có hướng dẫn bạn đọc trả lời các câu hỏi trong SGK Vật lý 12 các trang 85, 86. Mời các bạn cùng tham khảo chi tiết bài viết dưới đây nhé.
Giải Vật lí 12 trang 85 Cánh diều
Bài 1 trang 85 SGK Vật lý 12
Phát biểu nào sau đây là sai?
A. Tương tác giữa dòng điện với dòng điện là tương tác từ.
B. Cảm ứng từ đặc trưng cho từ trường về mặt gây ra lực từ.
C. Các đường sức của từ trường đều có thể là các đường cong cách đều nhau.
D. Các đường mạt sắt của từ phổ cho biết dạng các đường sức từ.
Lời giải:
Đáp án đúng là C.
Đáp án C sai vì các đường sức từ của từ trường đều là các đường thẳng song song cách đều nhau.
Bài 2 trang 85 SGK Vật lý 12
Lực từ tác dụng lên một đoạn dây có dòng điện đặt trong từ trường đều không tỉ lệ với đại lượng nào sau đây?
A. Cường độ dòng điện trong đoạn dây.
B. Chiều dài của đoạn dây.
C. Góc hợp bởi đoạn dây và đường sức từ.
D. Cảm ứng từ tại điểm đặt đoạn dây.
Lời giải:
Đáp án đúng là C
Lực từ không tỉ lệ với góc hợp bởi đoạn dây và đường sức từ. Lực từ tỉ lệ với sin góc hợp bởi đoạn dây và đường sức từ
Bài 3 trang 85 SGK Vật lý 12
Cường độ hiệu dụng của dòng điện xoay chiều
A. được xác định dựa trên tác dụng nhiệt của dòng diện.
B. chỉ được đo bằng các ampe kế một chiều.
C. bằng giá trị trung bình của cường độ dòng điện chia cho
\(\sqrt{2}\).
D. bằng giá trị cực đại của cường độ dòng điện chia cho 2.
Lời giải:
Đáp án đúng là A
Cường độ hiệu dụng của dòng điện xoay chiều được xác định dựa trên tác dụng nhiệt của dòng diện. Có giá trị bằng giá trị cực đại của cường độ dòng điện chia cho
\(\sqrt{2}\)
Bài 4 trang 85 SGK Vật lý 12
Vẽ đường sức của từ trường được tạo ra bởi dòng điện thẳng dài có phương vuông góc với mặt phẳng trang giấy và có chiều đi từ trước ra sau trang giấy.
Lời giải:
Sử dụng quy tắc nắm bàn tay phải xác định được chiều của đường sức từ (mũi tên màu đỏ) như hình vẽ dưới.

Bài 5 trang 85 SGK Vật lý 12
Một đoạn dây dẫn AB có dòng điện chạy qua được đặt cố định trong từ trường đều như Hình 1. Tìm hướng của lực từ tác dụng lên dây dẫn.

Lời giải:
Dựa vào quy tắc bàn tay trái xác định được hướng của lực từ có phương thẳng đứng, chiều từ dưới lên trên.
Bài 6 trang 85 SGK Vật lý 12
Một đoạn dây dẫn mang dòng điện có cường độ 5,2 A nằm trong một từ trường đều và vuông góc với cảm ứng từ
\(\vec{B}\). Biết
\(\vec{B}\) có độ lớn là 19 mT và lực tác dụng lên dây có độ lớn 1,2.10-2 N. Tìm chiều dài của đoạn dây dẫn nằm trong từ trường.
Lời giải:
Chiều dài đoạn dây dẫn:
\(l = \frac{F}{BIsin\alpha } = \frac{1,2.10^{-2} }{19.10^{-3}.5,2.sin90^{o} } = 0,12m\)
Bài 7 trang 85 SGK Vật lý 12
Một dây dẫn có chiều dài 0,71 m mang dòng điện cường độ 4,1 A tạo với từ trường đều góc 32°. Từ trường tác dụng lên dây dẫn một lực có độ lớn 0,17 N. Tính độ lớn cảm ứng từ.
Lời giải:
Độ lớn cảm ứng từ:
\(B = \frac{F}{Ilsin\alpha } = \frac{0,17}{4,1.0,17.sin32^{o} } = 0,11T\)
Giải Vật lí 12 trang 86 Cánh diều
Bài 8 trang 86 SGK Vật lý 12
Một học sinh làm thí nghiệm đo cảm ứng từ B với bộ dụng cụ như ở Hình 2.6 trang 62 (l = 10 cm) và thu được kết quả như đồ thị ở Hình 2. Sử dụng đồ thị, ước tính giá trị của B.

Lời giải:
Tại I = 1 A; F = 2.10-3 (N); l = 10 cm = 0,1 m; α = 90o
\(\Rightarrow B = \frac{F}{Ilsin\alpha } = \frac{2.10^{-3} }{1.0,1.sin90^{o} } = 0,02T\)
Bài 9 trang 86 SGK Vật lý 12
Một khung dây hình vuông có cạnh dài 4,5 cm được đặt trong một từ trường đều có độ lớn cảm ứng từ B = 0,92 T, mặt phẳng khung dây vuông góc với cảm ứng từ. Tìm từ thông qua khung dây.
Lời giải:
Mặt phẳng khung dây vuông góc với cảm ứng từ nên cảm ứng từ hợp với vecto pháp tuyến của mặt phẳng khung dây góc 0o.
Từ thông qua khung dây: Φ = BScosθ = 0,92.(4,5.10−2)2cos0° = 1,863.10−3 Wb
Bài 10 trang 86 SGK Vật lý 12
Một khung dây có diện tích là 0,33 m2, mặt phẳng khung dây vuông góc với cảm ứng từ có độ lớn B = 0,15 T. Biết từ thông qua mặt khung dây là 4,0 Wb. Tính số vòng của khung dây.
Lời giải:
Mặt phẳng khung dây vuông góc với cảm ứng từ nên cảm ứng từ hợp với vecto pháp tuyến của mặt phẳng khung dây góc 0o.
Số vòng dây:
\(N = \frac{\Phi }{BScos\theta } = \frac{4}{0,15.0,33.cos0^{o} } \approx 81 vòng\)
Bài 11 trang 86 SGK Vật lý 12
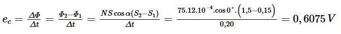
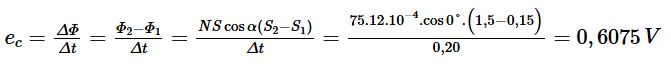
Một khung dây có 75 vòng và diện tích là 12 cm2 được đặt trong từ trường của nam châm điện. Biết độ lớn cảm ứng từ tăng đều từ 0,15 T lên 1,5 T trong 0,20 giây. Biết mặt phẳng khung dây vuông góc với các đường sức từ của từ trường. Tính suất điện động cảm ứng xuất hiện trong khung dây.
Lời giải:
Mặt phẳng khung dây vuông góc với đường sức từ nên cảm ứng từ hợp với vecto pháp tuyến của mặt phẳng khung dây góc 0o.
Suất điện động cảm ứng:

Bài 12 trang 86 SGK Vật lý 12
Một khung dây được đặt trong từ trường đều có độ lớn cảm ứng từ là B. Hình 3 biểu diễn từ thông qua khung dây theo thời gian. Tính độ lớn của suất điện động cảm ứng xuất hiện trong khung dây.

Lời giải:
Đang cập nhật...
Bài tiếp theo: Giải Vật lí 12 Cánh diều bài 1: Cấu trúc hạt nhân