Vật lý 12 Kết nối tri thức bài 13
VnDoc xin giới thiệu bài Giải bài tập Vật Lí lớp 12 bài 13: Bài tập về khí lí tưởng chi tiết sách Kết nối tri thức giúp học sinh xem và so sánh lời giải từ đó biết cách làm bài tập môn Vật lí 12.
Bài: Bài tập về khí lí tưởng
Khởi động trang 52 Vật Lí 12: Để giải các bài tập về sự chuyển trạng thái của khí lí tưởng thì cần dùng những công thức nào? Nêu rõ ý nghĩa và cách dùng của từng công thức.
Lời giải:
Để giải các bài tập về sự chuyển trạng thái của khí lí tưởng thì cần dùng những công thức về quá trình đẳng nhiệt (định luật Boyle), quá trình đẳng áp (định luật Charles), phương trình trạng thái của khí lí tưởng.
- Quá trình đẳng nhiệt: pV = hằng số.
- Quá trình đẳng áp: V/T hằng số.
- Quá trình đẳng tích: p/T hằng số.
- Phương trình trạng thái: pV/T= hằng số hay pV = nRT.
Bài tập ví dụ
Hoạt động 1 trang 54 Vật Lí 12: Hãy giải bài tập ví dụ 2 bằng cách vẽ đường đẳng tích thay cho đường đẳng áp.
Lời giải:

Kẻ một đường đẳng tích song song với trục p, cắt hai đường đẳng nhiệt ở hai vị trí có áp suất là p1 và p2.
Với cùng thể tích của một lượng khí, áp suất p2 > p1 nên T2 > T1 vì khi nhiệt độ tăng thì các phân tử khí chuyển động va chạm với thành bình tăng lên, áp suất tăng lên.
Hoạt động 2 trang 54 Vật Lí 12: Hãy dùng phương trình pV/T = hằng số để giải Bài tập ví dụ 3.
Lời giải:
Lượng khí trong bài tập này có khối lượng đã biết và thay đổi khi chuyển trạng thái. Trong quá trình chuyển trạng thái có hai thông số không đổi là thể tích V (chính là thể tích của bình chứa khí) và nhiệt độ T.
- Lượng khí ban đầu m1 = 1,00 kg có: V1 = V; T1 = T; p1 = 107 Pa.
- Lượng khí còn lại m2 = (m1 - Δm) có: V2 = V; T2 = T; p2 = 2,5.106 Pa.

Thay các giá trị vào (1) và (2) được Δm = 0,75 kg.
Bài tập vận dụng
Bài tập 1 trang 54 Vật Lí 12: Một lượng khí ở điều kiện tiêu chuẩn có thế tích 2 m3. Nếu nén đẳng nhiệt lượng khí này tới áp suất 5.105 Pa thì thể tích của lượng khí sẽ là
A. 10 m3.
B. 1 m3.
C. 0,4 m3.
D. 4 m3.
Lời giải:
Áp suất ở điều kiện tiêu chuẩn là 1,013.105 Pa.
Áp dụng quá trình đẳng nhiệt:
p1V1 = p2V2 ⇔ 1,013.105.2 = 5.105V2 ⇔ V2 = 0,4052m3
Đáp án đúng là C
Bài tập 2 trang 54 Vật Lí 12: Một bóng thám không có các bộ phận chính như mô tả ở Hình 13.3.

a) Tại sao vỏ bóng phải được làm bằng chất liệu đàn hồi?
b) Tại sao để bóng bay lên, người ta phải bơm vào bóng một loại khí có khối lượng riêng nhỏ hơn không khí?
c) Bóng thám không thường chỉ bay lên tới độ cao khoảng từ 30 km đến 40 km là bị vỡ. Tại sao bóng bị vỡ?
Lời giải:
a) Vì khi lên cao áp suất và nhiệt độ thay đổi, nếu không làm bằng chất liệu đàn hồi có thể quả bóng sẽ bị vỡ.
b) Bơm khí có khối lượng riêng nhỏ hơn không khí để quả bóng có thể bay lên dựa vào lực đẩy Acsimet của không khí tác dụng lên quả bóng.
c) Bóng thám không bay đến một độ cao nhất định sẽ bị vỡ vì khi đến độ cao đó, áp suất tác dụng lên quả bóng đã đạt đến giá trị tới hạn, chất liệu làm quả bóng không thể chịu được áp suất đó nữa nên sẽ vỡ.
Bài tập 3 trang 54 Vật Lí 12: Một bình dung tích 40 dm3 chứa 3,96 kg khí oxygen. Hỏi ở nhiệt độ nào thì bình có thể bị vỡ, biết bình chỉ chịu được áp suất không quá 60 atm. Lấy khối lượng riêng của oxygen ở điều kiện tiêu chuẩn là 1,43 kg/m3.
Lời giải:

Bài tập 4 trang 54 Vật Lí 12: Một bình chứa một chất khí được nén ở nhiệt độ 27°C và áp suất 40 atm. Nếu nhiệt độ của khí giảm xuống còn 12°C và một nửa lượng khí thoát ra khỏi bình thì áp suất khí sẽ bằng bao nhiêu?
Lời giải:

Bài tập 5 trang 54 Vật Lí 12: Hình 13.4 vẽ đường biểu diễn bốn quá trình chuyển trạng thái liên tiếp của một lượng khí trong hệ toạ độ (p,T): (1 - 2); (2 - 3); (3 - 4); (4 - 1). Hãy chứng tỏ rằng chỉ có một trong bốn quá trình trên là đẳng tích.

Lời giải:
Dựa vào đồ thị p – T ta thấy đường 2 – 3 và 4 – 1 là đẳng áp, đường 3 – 4 là một quá trình có cả 3 thông số trạng thái đều thay đổi, chỉ có đường 1 – 2 là đẳng tích (có đường nối đi qua gốc toạ độ).
Em có thể trang 54 Vật Lí 12: Vận dụng được các phương trình trạng thái của khí lí tưởng để giải các bài tập có liên quan.
Lời giải:
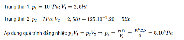
Ví dụ: Một quả bóng đá có dung tích 2,5 lít chứa không khí ở áp suất 105 Pa. Người ta bơm không khí ở áp suất 105 Pa vào bóng. Mỗi lần bơm được 125 cm3 không khí. Hỏi áp suất của không khí trong quả bóng sau 20 lần bơm? Biết trong thời gian bơm, nhiệt độ của không khí không đổi.
Lời giải:

>>> Bài tiếp theo: Vật lý 12 Kết nối tri thức bài 14
Như vậy VnDoc đã giới thiệu các bạn tài liệu Giải SGK Vật lý lớp 12 bài 13: Bài tập về khí lí tưởng. Mời các bạn tham khảo thêm tài liệu: Trắc nghiệm Vật lý 12, Ngữ văn 12 Kết nối tri thức, Toán 12 Kết nối tri thức, Tài liệu học tập lớp 12.