Giải Vật lí 12 Chân trời sáng tạo bài 7
Giải Vật lí 12 Chân trời sáng tạo bài 7: Phương trình trạng thái của khí lí tưởng
Giải Vật lí 12 Chân trời sáng tạo bài 7: Phương trình trạng thái của khí lí tưởng được VnDoc.com tổng hợp hướng dẫn bạn đọc trả lời các câu hỏi trong SGK Vật lý 12 các trang 48, 49, 50, 51, 52.
Giải Vật lí 12 trang 48 Chân trời
Mở đầu trang 48 SGK Vật lí 12
Hình 7.1 cho thấy một người đang bơm xe đạp, mỗi động tác đẩy pit-tông xuống ứng với một lượng không khí đang được đưa vào trong săm xe. Trong quá trình bơm, tất cả các thông số trạng thái: thể tích, áp suất, nhiệt độ và cả lượng không khí trong săm xe thay đổi. Sự thay đổi của các thông số này tuân theo quy luật nào?

Lời giải:
Sự thay đổi của các thông số này tuân theo quy luật của khí lí tưởng, tức là tuân theo phương trình trạng thái của khí lí tưởng.
Giải Vật lí 12 trang 49 Chân trời
Thảo luận 1 trang 49 SGK Vật lí 12
Quan sát Hình 7.2, thảo luận và thực hiện các nhiệm vụ sau:

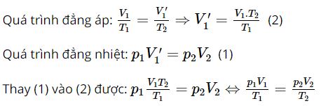
a) Khối khí biến đổi trạng thái (1) → (1') theo quá trình nào? Viết biểu thức liên hệ giữa p1, V1 và p2, V’.
b) Khối khí biến đổi trạng thái (1') → (2) theo quá trình nào? Viết biểu thức liên hệ giữa V’, T1 và V2, T2.
c) Từ hai biểu thức ở câu a và b, thiết lập mối liên hệ giữa p1, V1, T1 và p2, V2, T2.
Lời giải:
a) Khối khí biến đổi trạng thái (1) → (1') theo quá trình đẳng nhiệt. p1V1 = p2V'(1)
b) Khối khí biến đổi trạng thái (1') → (2) theo quá trình đẳng áp.

Thảo luận 2 trang 49 SGK Vật lí 12
Kết quả câu thảo luận 1 có thay đổi không nếu cho khối khí biến đổi từ trạng thái 1 sang trạng thái 2 thông qua trạng thái trung gian 1" theo trình tự: biến đổi đẳng áp, sau đó biến đổi đẳng nhiệt?
Lời giải:
Kết quả câu thảo luận 1 không thay đổi.
Xét quá trình (1) sang quá trình (1’’) là quá trình đẳng áp, quá trình (1’’) sang quá trình (2) là quá trình đẳng nhiệt
Trạng thái 1: p1; V1; T1
Trạng thái 1’’: p1;V′1; T2
Trạng thái 2: p2; V2; T2

Vậy: Quá trình chuyển trạng thái không phụ thuộc cách chuyển trạng thái mà chỉ phụ thuộc trạng thái đầu và trạng thái cuối.
Giải Vật lí 12 trang 50 Chân trời
Thảo luận 3 trang 50 SGK Vật lí 12
Áp dụng phương trình trạng thái của khí lí tưởng, thiết lập mối liên hệ giữa áp suất và nhiệt độ tuyệt đối của khí trong quá trình đẳng tích. Vẽ phác đồ thị đường đẳng tích trong hệ toạ độ V - T.
Lời giải:
Từ phương trình trạng thái, quá trình đẳng tích có:
\(\frac{p_{1} }{T_{1} } = \frac{p_{2} }{T_{2} }\)
Đồ thị đường đẳng tích trong hệ toạ độ V - T.
Luyện tập trang 50 SGK Vật lí 12
Một chiếc lốp ô tô chứa không khí có áp suất tiêu chuẩn do nhà sản xuất công bố là 2,3 bar ứng với nhiệt độ 25oC (1 bar = 105 Pa). Khi xe chạy nhanh, lốp xe nóng lên làm cho nhiệt độ không khí trong lốp tăng lên tới 50°C. Tính áp suất của không khí trong lốp xe lúc này. (Coi gần đúng thể tích của lốp xe không đổi trong suốt quá trình nóng lên).
Lời giải:
Áp dụng quá trình đẳng tích:
\(\frac{p_{1} }{T_{1} } = \frac{p_{2} }{T_{2} } \Rightarrow \frac{2,3}{25+273} = \frac{p_{2} }{50+273 }\Rightarrow p_{2} = 2,49bar\)
Giải Vật lí 12 trang 51 Chân trời
Vận dụng trang 51 SGK Vật lí 12
Hình 7.4 là hình ảnh một bình xịt côn trùng. Vì sao người ta đưa ra khuyến cáo "Không được ném bình vào lửa ngay cả khi đã dùng hết"?

Lời giải:
Người ta đưa ra khuyến cáo "Không được ném bình vào lửa ngay cả khi đã dùng hết" vì khi ném vào lửa, nhiệt độ tăng lên đột ngột, thể tích bình chứa khí không đổi, làm áp bình tăng lên rất cao, dẫn đến bị nổ bình và gây nguy hiểm cho người đứng gần đó.
Giải Vật lí 12 trang 52 Chân trời
Bài tập 1 trang 52 SGK Vật lí 12
Người ta nén 10 lít khí ở nhiệt độ 27°C, áp suất 1 atm để thể tích của khí chỉ còn 4 lít. Vì nén nhanh nên khí bị nóng lên đến 60°C. Áp suất khối khí sau khi nén là
A. 2,78 atm.
B. 2,25 atm.
C. 5,56 atm.
D. 1,13 atm.
Lời giải:
Đáp án đúng là A
Bài tập 2 trang 52 SGK Vật lí 12
Sử dụng một cái bơm để bơm không khí vào quả bóng đá có bán kính khi bơm căng là 11 cm. Mỗi lần bơm đưa được 0,32 lít khí ở điều kiện 1 atm vào bóng. Giả thiết rằng quả bóng trước khi bơm không có không khí và nhiệt độ không đổi trong quá trình bơm. Hỏi sau 35 lần bơm thì áp suất khí trong bóng là bao nhiêu?
Lời giải:
Trạng thái 1:
+ Thể tích không khí trong bóng sau 35 lần bơm là V1 = 35.0,32 = 11,2 lít = 11,2 dm3
+ p1 = 1 atm
Trạng thái 2:
+ Thể tích của quả bóng khi căng là:
\(V_{2} = \frac{4}{3} \pi R^{3} = \frac{4}{3} \pi 11^{3}= 5,58.10^{3}cm^{3} = 5,58dm^{3}\)
+ p2 = ?
Áp dụng quá trình đẳng nhiệt:
p1V1 = p2V2 ⇒ 1.11,2 = p2.5,58 ⇒ p2 ≈ 2atm
Bài tập 3 trang 52 SGK Vật lí 12
Giác hơi là một kĩ thuật chữa bệnh trong đông y để điều trị các bệnh do nguyên nhân hàn (lạnh) gây ra như: đau bụng, lưng, vai, gáy, cổ, ... Trong giác hơi khô (Hình 7P.1), không khí bên trong những chiếc cốc thuỷ tinh được đốt nóng bằng que lửa, sau đó úp nhanh cốc lên vùng đau của người bệnh. Theo quan điểm của đông y, giác hơi giúp thải các độc tố tích tụ dưới lỗ chân lông ra khỏi cơ thể. Giải thích tại sao vùng da bên trong các cốc lại bị lồi lên, từ đó có thể giải phóng các độc tố khỏi cơ thể, làm người bệnh giảm đau và đỡ mỏi hơn.

Lời giải:
Đang cập nhật...
Bài tiếp theo: Giải Vật lí 12 Chân trời sáng tạo bài 8
Luyện tập trang 50 SGK Vật lí 12