Giải Vật lí 12 Cánh diều bài tập chủ đề 2
Vật lí 12 Cánh diều bài tập chủ đề 2
Giải Vật lí 12 Cánh diều bài tập chủ đề 2 được VnDoc.com sưu tầm gồm có hướng dẫn bạn đọc trả lời các câu hỏi trong SGK Vật lý 12 các trang 48, 49, 50.
Giải Vật lí 12 trang 48 Cánh diều
Bài 1 trang 48 SGK Vật lí 12
Vì sao nói chuyển động Brown là bằng chứng cho sự tồn tại của các phân tử?
Lời giải:
Chuyển động Brown là bằng chứng cho sự tồn tại của các phân tử vì nó thể hiện sự chuyển động hỗn loạn của các hạt lơ lửng trong chất lỏng hoặc khí. Chuyển động này được gây ra bởi va chạm ngẫu nhiên giữa các hạt lơ lửng và các phân tử của chất lỏng hoặc khí.
Bài 2 trang 48 SGK Vật lí 12
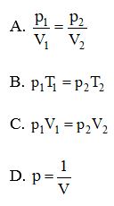
Hệ thức nào sau đây diễn tả đúng định luật Boyle?

Lời giải:
Đáp án đúng là C
Định luật Boyle mô tả quá trình đẳng nhiệt.
Bài 3 trang 48 SGK Vật lí 12
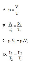
Từ phương trình trạng thái của khí lí tưởng, có thể suy ra mối liên hệ nào giữa áp suất và nhiệt độ của một lượng khí trong quá trình biến đổi mà thể tích được giữ không đổi?

Lời giải:
Phương trình trạng thái:
\(\frac{p_{1}V_{1} }{T_{1} } = \frac{p_{2}V_{2} }{T_{2} }\)
Do đó quá trình đẳng tích sẽ có:
\(\frac{p_{1} }{T_{1} } = \frac{p_{2} }{T_{2} }\)
Giải Vật lí 12 trang 49 Cánh diều
Bài 4 trang 49 SGK Vật lí 12
Một bình chứa 140 dm3 khi nitrogen (N2) ở nhiệt độ 20oC và áp suất 1 atm. Nén thật chậm để thể tích của khí N2 trong bình còn 42 dm3 sao cho nhiệt độ không đổi.
a) Tính áp suất của khí sau khi nén.
b) Nếu nén thật nhanh thì sẽ ảnh hưởng như thế nào đến nhiệt độ và áp suất của khí?
Lời giải:
a) Áp dụng quá trình đẳng nhiệt: p1V1 = p2V2 ⇒ 1.140 = p2.42 ⇒ p2 = 3,3atm
b) Nếu nén nhanh thì sẽ sinh ra ma sát, nhiệt độ khối khí sẽ bị thay đổi, áp suất thay đổi theo.
Bài 5 trang 49 SGK Vật lí 12
Áp suất khí quyển là 1,00.105 Pa tương đương với áp suất của một cột nước có độ cao 10,0 m. Một bong bóng chứa oxygen (O2) có thể tích 0,42 cm3 được giải phóng bởi một cây thuỷ sinh ở độ sâu 2,50 m. Tính thể tích của bong bóng khi đến mặt nước. Nêu rõ các gần đúng đã áp dụng khi tính.
Lời giải:
Áp suất bong bóng ở độ sâu 2,5 m: p1 = p0 + ρgh = 1.105 + 1000.9,8.2,5 = 124500Pa
Áp dụng quá trình đẳng nhiệt:
p1V1 = p2V2 ⇒ 124500.0,42 = 105.V2 ⇒ V2 = 0,5229cm3
Các gần đúng đã áp dụng là coi nhiệt độ trong quá trình trên là không đổi.
Bài 6 trang 49 SGK Vật lí 12
Một bình chứa 40,0 dm3 carbon dioxide (CO2) có áp suất 4,8.105 Pa ở nhiệt độ phòng. Biết khối lượng mol của CO2 là 44 g/mol. Tính:
a) Số mol CO2 trong bình.
b) Khối lượng CO2 trong bình.
Lời giải:
Nhiệt độ phòng khoảng 20oC
a) Áp dụng phương trình trạng thái:
pV = nRT ⇒ 4,8.105.40.10−3 = n.8,31.(20 + 273) ⇒ n = 7,9mol
b) Khối lượng CO2 trong bình: m = nM = 7,9.44 = 347,6g
Bài 7 trang 49 SGK Vật lí 12
Một mẫu khí neon (Ne) được chứa trong một xilanh ở 27oC. Nhiệt độ của mẫu này tăng lên đến 243oC.
a) Tính động năng tịnh tiến trung bình của các nguyên tử Ne ở 27°C và 243°C.
b) So sánh áp suất gây ra bởi các phân tử Ne trong xilanh ở hai nhiệt độ này.
Lời giải:

Bài 8 trang 49 SGK Vật lí 12
Một chiếc xe tải vượt qua sa mạc Sahara. Chuyến đi bắt đầu vào sáng sớm khi nhiệt độ là 3,0°C. Thể tích khí chứa trong mỗi lốp xe là 1,50 m3 và áp suất trong các lốp xe là 3,42.105 Pa. Coi khí trong lốp xe có nhiệt độ như ngoài trời.
a) Giải thích vì sao các phân tử khí trong lốp xe gây ra áp suất lên thành lốp.
b) Tính số mol khí trong mỗi lốp xe.
c) Đến giữa trưa, nhiệt độ tăng lên đến 42oC.
i. Tính áp suất trong lốp ở nhiệt độ mới này. Cho rằng khí trong lốp không thoát ra ngoài và thể tích lốp không thay đổi.
ii. Tính độ tăng động năng tịnh tiến trung bình của một phân tử không khí do sự gia tăng nhiệt độ này.
Lời giải:
a) Các phân tử khí trong lốp xe chuyển động nhiệt va chạm với thành bên trong của lốp nên khí gây ra áp suất lên thành lốp.
b) Số mol khí trong mỗi lốp xe:
pV = nRT ⇒ 3,42.105.1,5 = n.8,31.(3 + 273) ⇒ n = 223,7mol
c) Đến giữa trưa, nhiệt độ tăng lên đến 42oC.
i. Áp dụng quá trình đẳng tích: 
ii. Động năng ở nhiệt độ 3oC:
![]()
Động năng ở nhiệt độ 42oC:

Độ tăng động năng: ΔWd = Wd2 − Wd1 = 0,81.10−21J
Bài 9 trang 49 SGK Vật lí 12
Hãy cho biết sự thay đổi giá trị trung bình của bình phương tốc độ của các phân tử không khí khi
a) nhiệt độ của không khí tăng lên.
b) xét hai vị trí chênh lệch độ cao nhưng nhiệt độ không đổi.
Lời giải:
a) Ta có
\(m\overline{v^{2} } = \frac{3RT}{N_{A} }\), nên bình phương tốc độ phụ thuộc vào nhiệt độ.
Khi nhiệt độ của không khí tăng lên: Giá trị trung bình của bình phương tốc độ tăng lên.
b) Khi xét hai vị trí chênh lệch độ cao nhưng nhiệt độ không đổi: Giá trị trung bình của bình phương tốc độ không thay đổi.
Giải Vật lí 12 trang 50 Cánh diều
Bài 10 trang 50 SGK Vật lí 12
Một bình chứa 500,0 g helium (He) ở áp suất 5,0.105 Pa và nhiệt độ 27oC. Cho rằng khí He trong bình là một khí lí tưởng.
a) Hãy tính số nguyên tử He trong bình. Biết khối lượng mol He là 4g/mol.
b) Tính thể tích bình.
c) Khi van của bình được mở ra trong một thời gian ngắn, một lượng nhỏ He thoát ra làm nhiệt độ của He giảm đáng kể. Giải thích tại sao nhiệt độ của He giảm.
Lời giải:
a) Số nguyên tử He trong bình:
\(N = nN_{A} = \frac{500}{4} .6,02.10^{23} = 7,525.10^{25}\)
b) Áp dụng phương trình trạng thái:
pV = nRT ⇒ 5.105.V =
\(\frac{500}{4}\).8,31.(27 + 273) ⇒ V = 0,62m3
c) Khi van mở ra, một lượng nhỏ He thoát ra ngoài, số phân tử khí giảm đi đáng kể, chuyển động nhiệt giảm đi, số va chạm giảm, động năng phân tử giảm nên nhiệt độ giảm đi.
Bài 11 trang 50 SGK Vật lí 12
Một khinh khí cầu có khoang chứa và hành khách với tổng khối lượng là 450 kg. Phần khí cầu chứa 3,00.103 m3 không khí. Lấy g = 9,81 m/s2.

a) Tính lực tối thiểu để nâng khinh khí cầu lên khỏi mặt đất.
b) Áp suất khí quyển là 1,03.105 Pa và khối lượng riêng không khí là 1,29 kg/m3. Tính số mol không khí trong khí cầu. Coi không khí là khí lí tưởng có nhiệt độ 25°C.
c) Khi không khí được đốt nóng, nó sẽ dãn nở và một phần bị đẩy ra ngoài qua lỗ thông hơi ở phía trên khí cầu. Tính nhiệt độ tối thiểu mà không khí bên trong khí cầu cần đạt tới để khinh khí cầu rời khỏi mặt đất. Coi khí cầu có dạng hình cầu bán kính R khi thực hiện các phép tính.
Lời giải:
Đang cập nhật...
Bài tiếp theo: Giải Vật lí 12 Cánh diều bài 1: Từ trường