Giải Vật lí 12 Chân trời sáng tạo bài 16
Giải Vật lí 12 Chân trời sáng tạo bài 16: Phản ứng phân hạch, phản ứng nhiệt hạch và ứng dụng
VnDoc.com xin gửi tới bạn đọc bài viết Giải Vật lí 12 Chân trời sáng tạo bài 16: Phản ứng phân hạch, phản ứng nhiệt hạch và ứng dụng để bạn đọc cùng tham khảo. Bài viết hướng dẫn bạn đọc trả lời các câu hỏi trong SGK Vật lý 12 các trang 105, 106, 107, 108, 109, 110.
Giải Vật lí 12 trang 105 Chân trời
Mở đầu trang 105 SGK Vật lý 12
Các phản ứng hạt nhân đang diễn ra hằng ngày trong lò phản ứng của các nhà máy điện hạt nhân, cung cấp điện năng phục vụ sản xuất và sinh hoạt. Ngoài ra, phản ứng hạt nhân cũng xảy ra trong lõi Mặt Trời trong hàng tỉ năm, góp phần vào quá trình hình thành và duy trì sự sống trên Trái Đất. Các phản ứng xảy ra trong lò phản ứng hạt nhân và trong lõi của Mặt Trời lần lượt là phản ứng phân hạch và phản ứng nhiệt hạch. Việc hiểu rõ các tính chất của các phản ứng hạt nhân này là rất quan trọng để có thể kiểm soát và sử dụng hiệu quả, phục vụ cho sự phát triển của nhân loại.
Lời giải:
- Phản ứng hạt nhân là mọi quá trình dẫn đến sự biến đổi hạt nhân.
- Phản ứng hạt nhân tự phát là hạt nhân kém bền vững tự phân rã thành các hạt nhân khác bền vững hơn.
- Phản ứng hạt nhân kích thích là phản ứng trong đó các hạt nhân tương tác với nhau chủ yếu thông qua quá trình va chạm và biến đổi tạo thành các hạt nhân mới.
- Phản ứng phân hạch là quá trình trong đó một hạt nhân nặng vỡ thành các hạt nhân nhẹ hơn.
- Phản ứng tổng hợp hạt nhân (phản ứng nhiệt hạch) là quá trình trong đó hai hạt nhân nhẹ kết hợp với nhau để tạo thành hạt nhân nặng hơn. Phản ứng nhiệt hạch chỉ có thể xảy ra ở nhiệt độ cực cao.
Thảo luận 1 trang 105 SGK Vật lý 12
Tìm hiểu và trình bày một phương án để tạo ra hạt nhân vàng từ hạt nhân của các nguyên tố khác.
Lời giải:
Phương án tạo ra hạt nhân vàng từ hạt nhân chì: Năm 1980, các nhà khoa học đã thành công trong việc biến chì thành vàng tuy nhiên lượng vàng tạo ra là rất nhỏ. Họ sử dụng một máy gia tốc hạt với năng lượng cực lớn để bắn các chùm hạt nhân với vận tốc ánh sáng kéo 3 proton ra khỏi hạt nhân của nguyên tử chì. Khi mất đi 3 proton thì đương nhiên chì sẽ biến thành vàng.
Thảo luận 2 trang 105 SGK Vật lý 12
So sánh sự khác nhau giữa phản ứng hạt nhân và phản ứng hoá học.
Lời giải:
|
Phản ứng hạt nhân |
Phản ứng hóa học |
|
- Phản ứng hạt nhân chỉ xảy ra bên trong hạt nhân. - Trong các phản ứng hạt nhân, hạt nhân của các nguyên tử thay đổi hoàn toàn và các nguyên tố mới được hình thành. - Phản ứng hạt nhân độc lập với các yếu tố như vậy. - Thay đổi năng lượng đi kèm với phản ứng hạt nhân tương đối cao hơn và lớn hơn. - Không có hoạt động như vậy có liên quan trong các phản ứng hạt nhân. - Phản ứng hạt nhân hầu như không thể đảo ngược. |
- Phản ứng hóa học thường xảy ra bên ngoài hạt nhân. - Khi các phản ứng hóa học xảy ra, các nguyên tố giữ bản sắc của chúng và hạt nhân của các nguyên tử cũng không thay đổi. - Phản ứng hóa học có thể bị ảnh hưởng bởi áp suất hoặc nhiệt độ. - Trong những phản ứng như vậy có sự thay đổi năng lượng thấp. - Có sự phá vỡ các liên kết cũ và hình thành các liên kết hóa học mới trong một phản ứng hóa học. - Phản ứng hóa học có thể đảo ngược hoặc không thể đảo ngược. |
Giải Vật lí 12 trang 106 Chân trời
Thảo luận 3 trang 106 SGK Vật lý 12
Viết phương trình phản ứng hạt nhân trong thí nghiệm của Rutherford khi sử dụng chùm hạt α chiếu vào
\(_{7}^{14}N\). Kiểm chứng định luật bảo toàn điện tích và bảo toàn số khối trong thí nghiệm trên
Lời giải:
Phương trình:
\(_{7}^{14}N\) +
\(_{2}^{4}HE\) →
\(_{8}^{16}O\) +
\(_{1}^{1}H\)
Trong phương trình trên điện tích và số khối được bảo toàn.
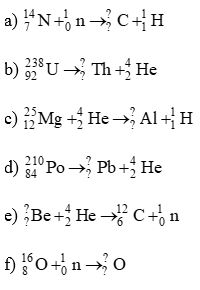
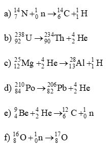
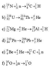
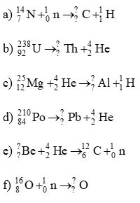
Luyện tập trang 106 SGK Vật lý 12
Xác định số hiệu nguyên tử và số khối còn thiếu của hạt nhân trong các phản ứng sau:

Lời giải:

Giải Vật lí 12 trang 107 Chân trời
Thảo luận 4 trang 107 SGK Vật lý 12
Khi được bắn phá bởi một neutron nhiệt,
\(_{92}^{235}U\) có thể phân hạch để tạo ra
\(_{54}^{140}Xe\) và
\(_{38}^{94}Sr\) cùng với một số hạt neutron. Hãy viết phương trình của phản ứng phân hạch này và xác định số neutron được tạo ra.
Lời giải:
Phương trình:
có 2 neutron được tạo ra.
Giải Vật lí 12 trang 108 Chân trời
Vận dụng trang 108 SGK Vật lý 12
Tìm hiểu và trình bày một số ứng dụng của phản ứng phân hạch
Lời giải:
- Ứng dụng quan trọng nhất của loại phản ứng này có thể được tìm thấy trong các lò phản ứng hạt nhân. Động năng của quá trình sẽ được chuyển hóa thành nhiệt năng, làm nóng các khối nhiên liệu. Năng lượng nhiệt này làm ấm dòng nước, khiến hơi nước được tạo ra và sử dụng để làm quay tua-bin máy phát điện. Nhiệt phân hạch của một gam nhiên liệu Uranium có thể so sánh với sức nóng đốt cháy hàng chục đến hàng trăm tấn than.
- Bom phân hạch, thường được gọi là bom nguyên tử, là một lò phản ứng phân hạch được thiết kế để giải phóng càng nhiều năng lượng càng tốt và nhanh nhất có thể.
Thảo luận 5 trang 108 SGK Vật lý 12
Khi được đặt trong nhiệt độ phù hợp, hai hạt nhân
\(_{1}^{2}H\) có thể kết hợp để tạo ra hạt nhân
\(_{Z}^{A}X\) cùng với một proton. Hãy xác định
\(_{Z}^{A}X\)
Lời giải:

Giải Vật lí 12 trang 109 Chân trời
Luyện tập trang 109 SGK Vật lý 12
So sánh phản ứng phân hạch và phản ứng nhiệt hạch.
Lời giải:
|
|
Phản ứng phân hạch |
Phản ứng nhiệt hạch |
|
Định nghĩa |
Là phản ứng trong đó một hạt nhân nặng vỡ thành hai hạt nhân nhẹ hơn (có số khối trung bình) và vài notron |
Là phản ứng trong đó 2 hay nhiều hạt nhân nhẹ tổng hợp lại thành một hạt nhân nặng hơn và vài notron. |
|
Đặc điểm |
Là phản ứng tỏa năng lượng |
Là phản ứng tỏa năng lượng |
|
Điều kiện |
k ≥ 1 + k = 1: kiểm soát được. +k > 1: không kiểm soát được, gây bùng nổ (bom hạt nhân) |
- Nhiệt độ cao khoảng 100 triệu độ. - Mật độ hạt nhân trong plasma phải đủ lớn. - Thời gian duy trì trạng thái plasma ở nhiệt độ cao 100 triệu độ phải đủ lớn. |
|
Ưu và nhược điểm |
Gây ô nhiễm môi trường (phóng xạ) |
Không gây ô nhiễm môi trường |
Vận dụng trang 109 SGK Vật lý 12
Tìm hiểu và trình bày sơ lược về các phản ứng nhiệt hạch để tạo ra năng lượng trong lõi của Mặt Trời.
Lời giải:
Ở tâm Mặt trời dưới điều kiện nhiệt độ cao (15 triệu°C), áp suất cao, các hạt nhân nguyên tử hydrogen kết hợp với nhau tạo thành helium đồng thời giải phóng năng lượng rất lớn.
Giải Vật lí 12 trang 110 Chân trời
Vận dụng trang 110 SGK Vật lý 12
Thảo luận để đánh giá được một số tác hại tiềm ẩn của công nghệ hạt nhân đối với nhân loại.
Lời giải:
Tác hại tiềm ẩn của công nghệ hạt nhân đối với nhân loại:
- Chế tạo quả bom nguyên tử có sức công phá lớn, vũ khí hạt nhân, … sử dụng trong chiến tranh.
- Nguy cơ khủng bố phát tán chất phóng xạ; sự cố do các nhà máy điện hạt nhân, phương tiện sử dụng năng lượng hạt nhân, … gây ô nhiễm phóng xạ trên diện rộng, kéo theo những hậu quả nghiêm trọng về kinh tế, môi trường và sức khỏe con người, v.v.
Bài tập 1 trang 110 SGK Vật lý 12
Chọn câu đúng về phản ứng phân hạch hạt nhân.
A. Tổng khối lượng nghỉ của các hạt sản phẩm sau phân hạch luôn bằng tổng khối lượng nghỉ của các hạt trước phân hạch.
B. Tổng khối lượng nghỉ của các hạt sản phẩm sau phân hạch luôn lớn hơn tổng khối lượng nghỉ của các hạt trước phân hạch.
C. Tổng số proton của các hạt sau phân hạch luôn bằng tổng số proton của các hạt trước phân hạch.
D. Tổng số nucleon của các hạt sau phân hạch luôn bằng tổng số nucleon của các hạt trước phân hạch.
Lời giải:
Đáp án đúng là D.
A – sai vì phản ứng hạt nhân không có định luật bảo toàn khối lượng
B – sai vì phản ứng phân hạch là phản ứng toả năng lượng, tổng khối lượng hạt nhân trước phản ứng lớn hơn tổng khối lượng hạt nhân sau phản ứng.
C – sai vì không có định luật bảo toàn số proton.
Bài tập 2 trang 110 SGK Vật lý 12
Quá trình đầu tiên trong chuỗi phản ứng nhiệt hạch xảy ra ở Mặt Trời là quá trình tổng hợp
\(_{1}^{2}H\) từ hai proton (sản phẩm sau phản ứng còn có hạt positron
\(_{1}^{0}e\) và neutrino veve, được học trong Bài 17). Hãy viết phương trình phản ứng nhiệt hạch này.
Lời giải:
\(_{1}^{1}p +_{1}^{1}p \rightarrow _{1}^{2}H + _{1}^{0}e+v_{e}\)
Bài tập 3 trang 110 SGK Vật lý 12
Tính năng lượng toả ra khi 100 g
\(_{2}^{3}He\) được tạo thành trong phản ứng nhiệt hạch:
\(_{1}^{2}H + _{1}^{2}H \rightarrow _{2}^{3}He+ _{0}^{1}n\), biết rằng mỗi phản ứng này toả ra năng lượng khoảng 3,27 MeV. So sánh với năng lượng toả ra khi phân hạch hoàn toàn 100 g
\(_{92}^{235}U\), biết trung bình mỗi phản ứng phân hạch của
\(_{92}^{235}U\) toả ra năng lượng khoảng 200 MeV.
Lời giải:
Đang cập nhật...
Bài tiếp theo: Giải Vật lí 12 Chân trời sáng tạo bài 17