Giải Vật lí 12 Chân trời sáng tạo bài 8
Giải Vật lí 12 Chân trời sáng tạo bài 8: Áp suất - động năng của phân tử khí
VnDoc.com xin gửi tới bạn đọc bài viết Giải Vật lí 12 Chân trời sáng tạo bài 8: Áp suất - động năng của phân tử khí để bạn đọc cùng tham khảo. Bài viết hướng dẫn bạn đọc trả lời các câu hỏi trong SGK Vật lý 12 các trang 53, 54, 55, 56.
Giải Vật lí 12 trang 53 Chân trời
Mở đầu trang 53 SGK Vật lí 12
Ở các bài trước ta đã biết, nguyên nhân gây ra áp suất khí là sự va chạm của các phân tử khí với thành bình. Các phân tử chuyển động nhiệt càng nhanh thì sự va chạm càng mạnh và hệ quả là áp suất của khí lên thành bình càng lớn. Mặt khác, việc các phân tử chuyển động nhiệt càng nhanh cũng có nghĩa nhiệt độ khí càng lớn. Như vậy giữa nhiệt độ khí, áp suất khí và động năng các phân tử khí có mối liên hệ chặt chẽ. Làm thế nào để thiết lập được một cách định lượng mối liên hệ này?
Lời giải:
Sử dụng các kiến thức về động lượng, định luật III Newton, bài toán va chạm để thiết lập mối liên hệ giữa nhiệt độ khí, áp suất khí và động năng các phân tử khí.
Thảo luận 1 trang 53 SGK Vật lí 12
Áp suất do các phân tử khí tác dụng lên thành bình phụ thuộc như thế nào vào tốc độ chuyển động nhiệt, khối lượng và mật độ của các phân tử khí?
Lời giải:
Áp suất do các phân tử khí tác dụng lên thành bình phụ thuộc vào các đại lượng:
- Khi tốc độ chuyển động nhiệt tăng thì áp suất tăng.
- Khi khối lượng phân tử khí tăng thì áp suất tăng.
- Khi mật độ của các phân tử khí tăng thì áp suất tăng.
Giải Vật lí 12 trang 54 Chân trời
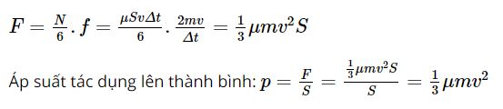
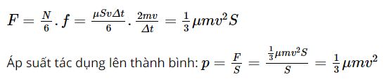
Thảo luận 2 trang 54 SGK Vật lí 12
Áp dụng các kiến thức về động lực học (định luật III Newton, xung lượng của lực) cho bài toán va chạm của phân tử khí với thành bình. Thảo luận để rút ra biểu thức
\(p =\frac{1}{3} μmv^{2}\)
Lời giải:
Tổng hợp lực do
\(\frac{N}{6}\) phân tử khí tác dụng lên thành bình:

Giải Vật lí 12 trang 55 Chân trời
Thảo luận 3 trang 55 SGK Vật lí 12
Thực nghiệm đo được tốc độ trung bình của hầu hết các phân tử khí trong khoảng từ vài trăm m/s đến vài ngàn m/s. Tuy nhiên, phải sau một khoảng thời gian người ta mới cảm nhận được mùi thơm của lọ nước hoa bị đổ trong phòng. Hãy giải thích.
Lời giải:
Do trong quá trình khuếch tán vào không khí, các phân tử khí chuyển động hỗn loạn va chạm với các phân tử không khí, nên cần một khoảng thời gian người ta mới cảm nhận được mùi thơm của lọ nước hoa.
Luyện tập trang 55 SGK Vật lí 12
Tính trung bình của bình phương tốc độ trong chuyển động nhiệt của phân tử khí helium có khối lượng mol là 4 g/mol ở nhiệt độ 320 K. Coi các phân tử khí là giống nhau.
Lời giải:
Trung bình của bình phương tốc độ trong chuyển động nhiệt của phân tử khí:

Giải Vật lí 12 trang 56 Chân trời
Vận dụng trang 56 SGK Vật lí 12
Không khí nóng sẽ bốc lên cao, tuy nhiên khi đứng trên đỉnh núi cao ta lại thấy lạnh hơn so với khi ở chân núi. Hãy giải thích điều này.
Lời giải:
Khi đứng trên đỉnh núi cao ta lại thấy lạnh hơn so với khi ở chân núi. Vì:
- Nhiệt độ không khí giảm dần theo độ cao:
+ Khi độ cao tăng, mật độ không khí giảm.
+ Càng lên cao, mật độ không khí càng loãng, dẫn đến khả năng giữ nhiệt kém hơn.
+ Trung bình, cứ lên cao 100m, nhiệt độ giảm 0,6°C.
- Núi cao cản trở sự di chuyển của hơi nước:
+ Hơi nước trong không khí đóng vai trò như một tấm chăn giữ nhiệt.
+ Núi cao cản trở sự di chuyển của hơi nước, khiến cho nhiệt độ ở đỉnh núi thấp hơn.
- Gió:
+ Gió thường mạnh hơn ở độ cao lớn hơn.
+ Gió làm tăng tốc độ truyền nhiệt từ cơ thể, khiến ta cảm thấy lạnh hơn.
Bài tập 1 trang 56 SGK Vật lí 12
Hai bình kín có thể tích bằng nhau đều chứa khí lí tưởng ở cùng một nhiệt độ. Khối lượng khí trong hai bình bằng nhau nhưng khối lượng một phân tử khí của bình 1 lớn gấp hai lần khối lượng một phân tử khí ở bình 2. Áp suất khí ở bình 1
A. bằng áp suất khí ở bình 2.
B. gấp bốn lần áp suất khí ở bình 2.
C. gấp hai lần áp suất khí ở bình 2.
D. bằng một nửa áp suất khí ở bình 2.
Lời giải:
Đáp án đúng là D
Gọi m1, V1 lần lượt là khối lượng và thể tích của khí ở bình 1
m2, V2 lần lượt là khối lượng và thể tích của khí ở bình 2
m01, m02 lần lượt là khối lượng một phân tử khí ở bình 1 và bình 2
Theo đề bài ta có: m1 = m2 = m; V1 = V2 = V; m01 = 2m02
Số phân tử khí chứa trong bình 1 là
\(N_{1} = \frac{m_{1} }{m_{01} } = \frac{m}{2m_{02} } (1)\)
Số phân tử khí chứa trong bình 2 là
\(N_{2} = \frac{m_{2} }{m_{02} } = \frac{m}{m_{02} } (2)\)
Từ (1) và (2) ⇒ N2 = 2N1
Mật độ phân tử khí ở bình 1 là:
\(μ_{1} = \frac{N_{1} }{V} (3)\)
Mật độ phân tử khí ở bình 2 là:
\(μ_{2} = \frac{N_{2} }{V} = \frac{2N_{1} }{V} (4)\)
Từ (3) và (4) ⇒ μ2 = 2μ1
Áp suất khí ở bình 1 là
\(p_{1} = \frac{1}{3} \mu _{1} .m.\bar{v^{2} }\)
Áp suất khí ở bình 2 là
\(p_{2} = \frac{1}{3} \mu _{2} .m.\bar{v^{2} } = \frac{1}{3} 2\mu _{1} .m.\bar{v^{2} } = 2p_{1}\)
Vậy áp suất khí ở bình 1 bằng một nửa áp suất khí ở bình 2.
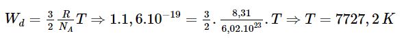
Bài tập 2 trang 56 SGK Vật lí 12
Tính nhiệt độ của một khối khí để động năng tịnh tiến trung bình của các phân tử khí đó bằng 1,0 eV. Lấy 1 eV = 1,6.10-19 J.
Lời giải:

Bài tập 3 trang 56 SGK Vật lí 12
Xét khối khí chứa trong một bình kín, biết mật độ động năng phân tử (tổng động năng tịnh tiến trung bình của các phân tử khí trong 1 m3 thể tích khí) có giá trị 10-4 J/m3. Tính áp suất của khí trong bình.
Lời giải:
Đang cập nhật...
Bài tiếp theo: Giải Vật lí 12 Chân trời sáng tạo bài 9