Hóa 11 Kết nối tri thức bài 4
Hóa 11 Kết nối tri thức bài 4: Nitrogen
VnDoc.com xin gửi tới bạn đọc bài viết Hóa 11 Kết nối tri thức bài 4: Nitrogen để bạn đọc cùng tham khảo. Hi vọng qua bài viết này bạn đọc có thêm tài liệu để giải bài tập Hóa học 11 Kết nối tri thức. Mời các bạn cùng theo dõi bài viết dưới đây.
Câu hỏi 1 trang 30 SGK Hóa 11 Kết nối
Dựa vào sự tương tác van der Waals, hãy giải thích tại sao đơn chất N2 khó hoá lỏng và ít tan trong nước.
Lời giải
Tương tác vander Waals phụ thuộc vào hai yếu tố chính là số lượng eletron và điểm tiếp xúc giữa các phân tử suy ra giữa các phân tử nitrogen tồn tại tương tác van der Waals nhưng rất yếu. Do đó đơn chất N2 khó hoá lỏng và ít tan trong nước.
Câu hỏi 2 trang 31 SGK Hóa 11 Kết nối
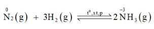
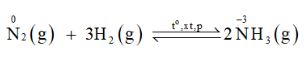
Trong phương trình hoá học của phản ứng tổng hợp ammonia, hãy xác định các nguyên tử có sự thay đổi số oxi hoá và vai trò của nitrogen.
Lời giải
Phương trình hoá học: 
Số oxi hoá của nitrogen giảm từ 0 xuống -3 nên trong phản ứng này đơn chất nitrogen đóng vai trò là chất oxi hoá.
Câu hỏi 3 trang 31 SGK Hóa 11 Kết nối
Trong phương trình hoá học của phản ứng giữa nitrogen với oxygen:
a) Hãy xác định các nguyên tử có sự thay đổi số oxi hoá.
b) Tại sao thực tế không sử dụng phản ứng này để tạo ra NO, một hợp chất trung gian quan trọng trong công nghiệp sản xuất nitric acid?
Lời giải
a) 
b) Phản ứng này xảy ra ở nhiệt độ cao trên 3000oC hoặc có tia lửa điện, nhưng hiệu suất tạo ra NO rất thấp, do đó thực tế không sử dụng phản ứng này để tạo ra NO.
Câu hỏi 4 trang 31 SGK Hóa 11 Kết nối
Viết các phương trình hoá học minh hoạ quá trình hình thành đạm nitrate trong tự nhiên xuất phát từ nitrogen.
Lời giải
Quá trình tạo và cung cấp đạm nitrate cho đất từ nước mưa được biểu diễn theo sơ đồ:

Các phương trình hoá học minh hoạ cho sơ đồ:
N2 + O2 → 2NO
2NO + O2 → 2NO2
4NO2 + 4H2O + O2 → 4HNO3
HNO3 → H+ + NO3-
Câu hỏi 5 trang 32 SGK Hóa 11 Kết nối
a) Tại sao nitrogen lỏng được dùng để bảo quản mẫu vật phẩm trong y học?
b) Tại sao dùng khí nitrogen để làm căng vỏ bao bì thực phẩm mà không dùng không khí?
Lời giải
a) Nitrogen hoá lỏng ở nhiệt độ thấp, -196oC. Vì vậy, nitrogen lỏng được dùng để bảo quản mẫu vật phẩm trong y học.
b) Vì tính chất kém hoạt động hoá học (tính trơ) nên nitrogen không oxi hoá các chất khác ở nhiệt độ thường. Do đó, khí nitrogen được dùng để làm căng vỏ bao bì thực phẩm mà không phải là không khí.
----------------------------------
Bài tiếp theo: Hóa 11 Kết nối tri thức bài 5
Trên đây VnDoc.com vừa gửi tới bạn đọc bài viết Hóa 11 Kết nối tri thức bài 4: Nitrogen. Mong rằng qua đây bạn đọc có thể học tập tốt hơn môn Hóa học 11 Kết nối tri thức. Mời các bạn cùng tham khảo thêm tại mục Toán 11 Kết nối tri thức.