Hóa 11 Kết nối tri thức bài 12
Hóa 11 Kết nối tri thức bài 12: Công thức phân tử hợp chất hữu cơ
VnDoc.com xin gửi tới bạn đọc bài viết Hóa 11 Kết nối tri thức bài 12: Công thức phân tử hợp chất hữu cơ để bạn đọc cùng tham khảo và có thêm tài liệu giải bài tập Hóa 11 Kết nối tri thức nhé. Mời các bạn cùng theo dõi bài viết.
Mở đầu
Làm thế nào để lập công thức phân tử hợp chất hữu cơ từ dữ liệu phân tích nguyên tố và phân tử khối.
Bài làm
Lập công thức phân tử hợp chất hữu cơ (CxHyOz):
Công thức đơn giản nhất (CpHqOr);
CxHyOz = (CpHqOr)n
(p, q, r là các số nguyên tối giản; x, y, z, n là các số nguyên dương).
I. Công thức phân tử
1. Khái niệm
Hoạt động nghiên cứu: Hãy viết công thức phân tử của các hợp chất hữu cơ có mô hình cho dưới đây:

2. Cách biểu diễn công thức phân tử hợp chất hữu cơ
Câu hỏi 1: Khi nghiên cứu thành phần hoá học của tinh dầu quế, người ta thu được nhiều hợp chất hữu cơ trong đó có cinnamaldehyde và o-methoxycinnamaldehyde với công thức cấu tạo:

Hãy viết công thức phân tử và công thức đơn giản nhất của các hợp chất này.
Bài làm
| cinnamaldehyde | o-methoxycinnamaldehyde | |
| Công thức phân tử | C9H8O | C10H10O2 |
| Công thức đơn giản | C9H8O | C5H5O |
Câu hỏi 2: Viết công thức đơn giản nhất của các hợp chất hữu cơ có công thức phân tử sau:
a) C3H8;
b) C3H6O2;
c) C4H10O;
d) C4H8O2.
Bài làm
|
ý |
a |
b |
c |
d |
|
Công thức phân tử |
C3H8 |
C3H6O2 |
C4H10O |
C4H8O2 |
|
Công thức đơn giản nhất |
C3H8 |
C3H6O2 |
C4H10O |
C2H4O |
II. Lập công thức phân tử hợp chất hữu cơ
1. Xác định phân tử khối bằng phương pháp phổ khối lượng
Hoạt động nghiên cứu: Hãy gán các chất hữu cơ sau: C6H6, C3H8O, C4H8O2 vào các phổ khối lượng tương ứng dưới đây.

Bài làm
a) C3H8O
b) C6H6
c) C4H8O2
2. Lập công thức phân tử hợp chất hữu cơ
Hoạt động nghiên cứu: Camphor (có trong cây long não) là một chất rắn kết tinh màu trắng hay trong suốt giống như sáp với mùi thơm đặc trưng, thường dùng trong y học. Phần trăm khối lượng các nguyên tố trong camphor lần lượt là 78,94% carbon, 10,53% hydrogen và 10,53% oxygen. Từ phổ khối lượng của camphor xác định được giá trị m/z của peak [M+] bằng 152.

Hãy lập công thức phân tử của camphor theo các bước:
- Lập công thức đơn giản nhất của camphor.
- Xác định phân tử khối.
- Xác định công thức phân tử của camphor.
Bài làm
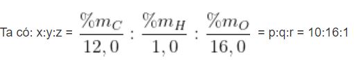
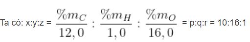
Gọi công thức phân tử của camphor là CxHyOz.

Công thức đơn giản nhất: C10H16O
Phân tử khối của camphor là 152 vì giá trị m/z của peak [M+] bằng 152.
Mà CxHyOz = (CpHqOr)n ⇒ 152 = 152.n ⇒ n = 1
Công thức phân tử của camphor là C10H16O.
Câu hỏi 3: Eugenol là thành phần chính trong tinh dầu đinh hương hoặc tinh dầu hương nhu. Chất này được sử dụng làm chất diệt nấm, dẫn dụ côn trùng. Phân tích phần trăm khối lượng các nguyên tố cho thấy, eugenol có 73,17% carbon; 7,31% hydrogen, còn lại là oxygen. Lập công thức phân tử của eugenol, biết rằng kết quả phân tích phổ khối lượng cho thấy phân tử khối của eugenol là 164.
Bài làm
Gọi công thức phân tử của eugenol là CxHyOz.

Công thức đơn giản nhất: C5H6O
Phân tử khối của eugenol là 164.
Mà CxHyOz = (CpHqOr)n ⇒ 164 = 82.n ⇒ n = 2
Công thức phân tử của eugenol là C10H12O2.
-----------------------------------
Bài tiếp theo: Hóa 11 Kết nối tri thức bài 13
Trên đây VnDoc.com vừa gửi tới bạn đọc bài viết Hóa 11 Kết nối tri thức bài 12: Công thức phân tử hợp chất hữu cơ. Hi vọng qua bài viết này bạn đọc có thêm tài liệu để học tập tốt hơn môn Hóa học 11 Kết nối tri thức. Mời các bạn cùng tham khảo thêm tại mục Toán 11 Kết nối tri thức, Vật lý 11 Kết nối tri thức.