Toán hay và khó lớp 2: Một số bài tập Cộng trừ không nhớ trong phạm vi 100 số hạng - Phần 2



Toán hay và khó lớp 2: Một số bài tập Cộng trừ không nhớ trong phạm vi 100 số hạng - Phần 2
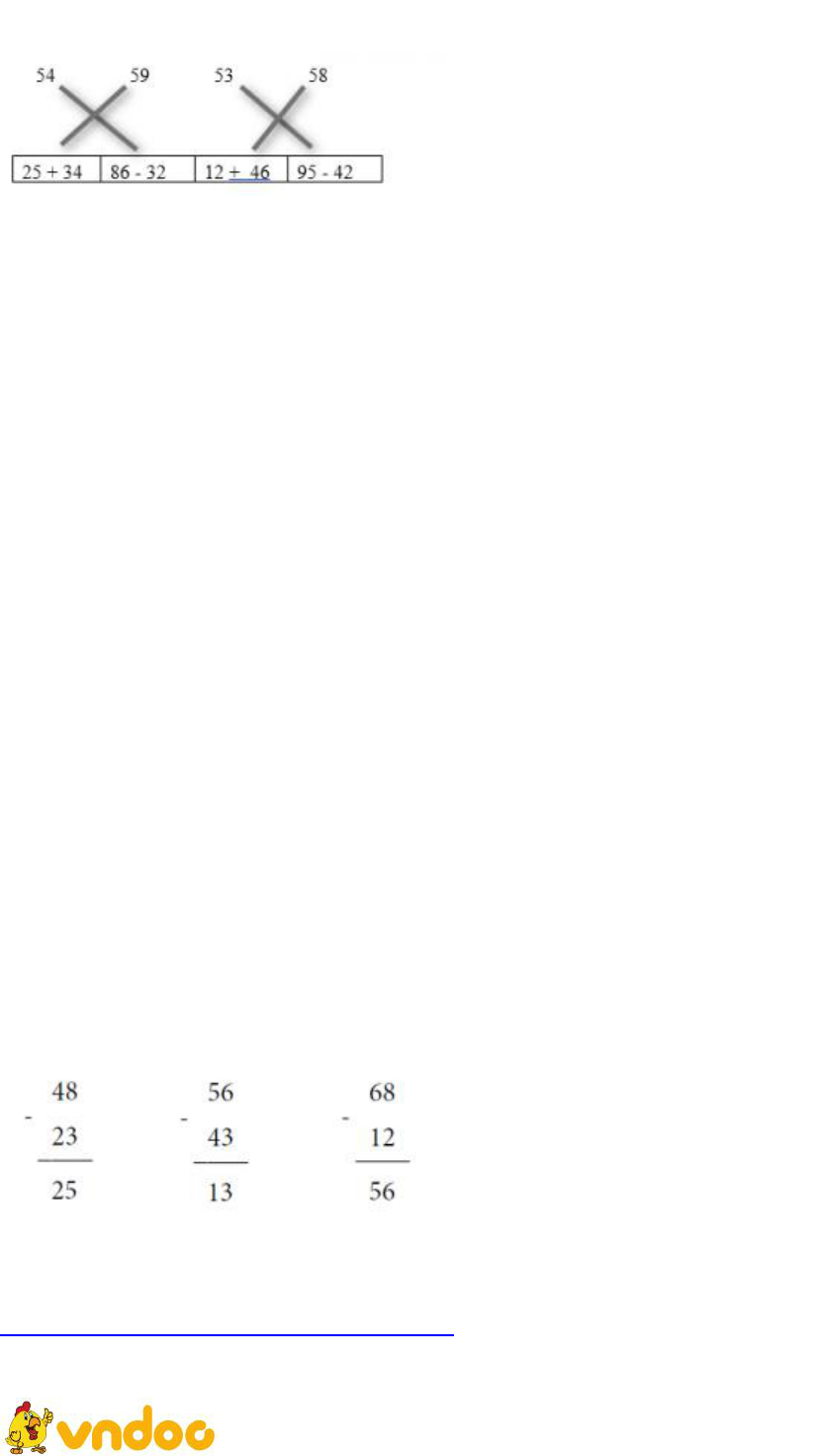
Toán hay và khó lớp 2: Một số bài tập Cộng trừ không nhớ trong phạm vi 100 số hạng - Phần 2 bao gồm chi tiết các dạng toán có đáp án giúp các em học sinh ôn tập, củng cố kỹ năng giải Toán nâng cao lớp 2, tự luyện tập các dạng bài tập chuẩn bị cho kỳ thi sắp tới môn Toán lớp 2 và thi học sinh giỏi lớp 2 đạt kết quả cao. Mời các em tham khảo chi tiết.
Toán hay và khó lớp 2: Bài toán về nhiều hơn, ít hơn - Phần 2
Toán hay và khó lớp 2: Một số bài toán về cộng qua 10 - Phần 2
>>> Bài tiếp theo: Toán hay và khó lớp 2: Ôn tập các số đến 100 - Phần 2
Toán hay và khó lớp 2: Một số bài tập Cộng trừ không nhớ trong phạm vi 100 số hạng - Phần 2 có bài tập vận dụng kèm lời giải chi tiết cho các em học sinh tham khảo vận dụng kỹ năng giải bài tập Toán lớp 2, giúp các em học sinh tự ôn tập và rèn luyện tốt môn Toán nâng cao lớp 2.