12 đề kiểm tra chương 4 Đại số 7
Nhằm giúp các em học sinh ôn tập và củng cố kiến thức được học về Biểu thức đại số, VnDoc giới thiệu Bộ 12 đề kiểm tra chương 4 Đại số 7 cho các em học sinh ôn tập, chuẩn bị cho các bài thi sắp tới đạt kết quả cao. Đây cũng là tài liệu hay cho thầy cô tham khảo ra đề kiểm tra cho học sinh.
Để có thể xem được toàn bộ 12 đề trong bộ đề kiểm tra này, mời các bạn bấm vào nút Tải về ở phía dưới bài viết để tải và xem đầy đủ bộ đề nhé!
Bộ đề ôn tập Toán 7 môn Đại số chương 4
Bài tập Đại số 7 chương 4 Biểu thức đại số - Đề số 1
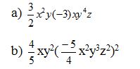
Bài 1 : Thu gọn đơn thức, tìm hệ số, tìm bậc :

Bài 2 : Thu gọn đa thức sau:

Bài 3 :
a) Tìm đa thức M biết M + (x2– xy + y2) = x2 + xy – 2y2
b) Tính giá trị của M tại x = -3 ; y= 2
Bài 4 : Cho hai đa thức :
A(x) = 5x2 – 6x + 2x3 – 4 + 3x4
B(x) = 4x – 5x2 – 5x3 – x4 + 7
a) Tính A(x) + B(x)
b) Tính A(x) – B(x)
c) Kiểm tra xem x = 1 có phải là nghiệm của A(x) ? Vì sao?
Bài 5 : Tìm nghiệm của các đa thức :
a. P(x) = 3x – 15
b. Q(x) = 5x2 - 1
Đề kiểm tra chương 4 Đại số 7 - Đề số 2
Bài 1: Thu gọn, tìm bậc?
a) 2x2y3. 5x2xy (-x2y2z)
b) 2x5y – 3x2y + x3y + 5 – x2+3x – 2x5y – x3y – 2 + x
Bài 2: Cho hai biểu thức sau
A (x) = -5 + x2 -4x + 3x3 – 3x5
B ( x) = - x5 + 2x – 2x3 + 6x4 - 7
a. Tính A(x) + B(x)?
b. Tính A (x) – B (x)?
c. Chứng tỏ x= -1 là nghiệm của B(x)
Bài 3: Cho đa thức sau
D = -xy2 + 3xy – 5x3y2 - 0,75
E = 2xy2 – xy – 5x3y2 + 0,25
a. Tính F = D – E
b. Hãy tính giá trị của F tại x = -1 ; y = -2
Bài 4: Tìm nghiệm
a. G(x) = 2x - 7 + (x - 14)
b. H(x) = -3x2 ( x – 1 ) – 9 (1 – x )
Ngoài Bộ đề kiểm tra Toán 7 chương 4 Biểu thức đại số, mời các bạn tham khảo thêm: Giải bài tập Toán lớp 7, Giải Vở BT Toán 7, Đề thi học kì 1 lớp 7, Đề thi giữa kì 1 lớp 7, Đề thi học kì 2 lớp 7... được cập nhật liên tục trên VnDoc.com.