Đề kiểm tra 1 tiết môn Đại số 7 chương 1 trường THCS Liên Vị năm 2019 - 2020
Đề kiểm tra 1 tiết Đại số 7 Chương 1 trường THCS Liên Vị năm 2019 - 2020 bao gồm 2 phần trắc nghiệm và tự luận có đáp án, là tài liệu hữu ích cho thầy cô tham khảo ra đề cũng như cho các em học sinh ôn tập và đạt điểm cao trong các bài kiểm tra sắp tới.
Đề kiểm tra 1 tiết Chương 1 Đại số 7 trường THCS Liên Vị năm 2019 - 2020 nằm trong bộ đề kiểm tra 1 tiết lớp 7 do VnDoc sưu tầm và đăng tải. Đề thi có cả đáp án và ma trận, giúp các em ôn tập và làm quen với nhiều dạng đề khác nhau, từ đó có sự chuẩn bị tốt nhất cho bài kiểm tra sắp tới của mình. Chúc các em học tốt.
Đề kiểm tra 45 phút môn Toán lớp 7 có đáp án
|
TRƯỜNG THCS LIÊN VỊ TỔ KHTN
|
MA TRẬN ĐỀ KIỂM TRA 1 TIẾT Môn : Đại số 7 Năm học : 2019 – 2020 |
I. Ma trận Đề kiểm tra 1 tiết Đại số 7
|
Chủ đề |
Nhận biết |
Thông hiểu |
Vận dụng |
Tổng |
||||||
|
Mức thấp |
Mức cao |
|||||||||
|
TN |
TL |
TN |
TL |
TN |
TL |
TN |
TL |
|||
|
1. So sánh. Cộng, trừ, nhân, chia, số hữu tỉ. Giá trị tuyệt đối của một số hữu tỉ. |
Biết được số hữu tỉ, các phép toán đối với số hữu tỉ, giá trị tuyệt đối của một số hữu tỉ Câu I.1; I.3 |
Hiểu được các phép toán đối với số hữu tỉ, giá trị tuyệt đối của một số hữu tỉ
Câu I.2; câu 7a |
Thực hiện thành thạo các phép tính cộng, trừ, nhân, chia số hữu tỉ. Biết tìm số hữu tỉ trong đẳng thức. Câu 7b,c; Câu 8a,b,c |
|
|
|||||
|
Số câu Số điểm Tỉ lệ % |
2 1.0 10% |
|
1 0.5 5% |
1 1.0 10% |
|
5 5 50% |
|
|
9 7,5 75% |
|
|
2. Lũy thữa của một số hữu tỉ |
Biết được công thức nhân, chia hai lũy thừa cùng số mũ Câu I.5; I.6 |
|
Vận dụng tính các phép tính đơn giản về lũy thừa, bài toán tìm x. Câu I.4 |
Vận dụng tính chất của lũy thừa, chứng minh tính chia hết của tổng. Câu 4 |
|
|||||
|
Số câu Số điểm Tỉ lệ % |
2 1.0 10% |
|
|
|
1 0.5 5% |
|
|
1 1.0 10% |
4 2,5 25% |
|
|
Tổng số câu Số điểm Tỉ lệ % |
4 2.0 20% |
2 1,5 15% |
6 5,5 55% |
1 1.0 10% |
13 10 100% |
|||||
II. Đề kiểm tra chương 1 Đại số 7
Phần I: Trắc nghiệm ( 3 điểm ) Khoanh tròn vào chữ cái đứng trước câu trả lời đúng
Câu 1. Trong tập hợp các số hữu tỉ thì:
A. Số hữu tỉ dương lớn hơn số hữu tỉ âm
B. Số 0 là số hữu tỉ dương
C. Số hữu tỉ dương nhỏ hơn số tự nhiên
D. Số hữu tỉ âm là số nguyên âm

Câu 3: Số hữu tỉ âm lớn nhất viết bởi ba chữ số 1 là
A. -111 B. -1,11 C. -11,1 D.
\(\frac{-1}{11}\)
![]()
A. n= 0 B. n= 1 C. n= 3 D. n= -3
![]()
A. 1 B. 10 C. 100 D. 1000000
![]()
A. -3 B. 81 C. -81 D. -12
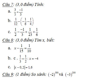
Phần II: Tự luận (7 điểm)

III. Đáp án bài kiểm tra 45 phút Toán 7
Phần 1: trắc nghiệm khách quan (3,0 điểm) Mỗi ý đúng được 0,5 điểm
|
Câu |
1 |
2 |
3 |
4 |
5 |
6 |
|
Đáp án |
A |
A |
D |
C |
A |
B |
Phần 2: Tự luận (7 điểm)

Mời các bạn tải toàn bộ đề thi, đáp án và ma trận tại đây: Đề kiểm tra 1 tiết môn Đại số 7 chương 1 trường THCS Liên Vị năm 2019 - 2020. Để củng cố thêm kiến thức về môn Toán, mời các bạn tham khảo thêm: Giải bài tập Toán lớp 7, Giải Vở BT Toán 7, Đề thi học kì 1 lớp 7, Đề thi giữa kì 1 lớp 7, Đề thi học kì 2 lớp 7... được cập nhật liên tục trên VnDoc.com.