Bài toán so sánh giá trị biểu thức ở tiểu học
Bài toán so sánh giá trị biểu thức
Bài toán so sánh giá trị biểu thức ở tiểu học được VnDoc sưu tầm, tổng hợp các bao gồm các ví dụ minh họa có kèm theo đáp án chi tiết và các bài tập tự luyện giúp các em học sinh ôn tập, củng cố nâng cao kiến thức dạng Toán so sánh giá trị biểu thức ôn thi học sinh giỏi. Mời các thầy cô cùng các em học sinh tham khảo.
Chúng ta sẽ qua các bài cụ thể để có thể hệ thống thành phương pháp giải của dạng toán này.

Phân tích: Bài toán trên đã được giải nhờ so sánh từng số hạng của tổng S với số hạng nhỏ nhất. Nếu các bạn đi tính tổng S rồi so sánh thì rất phức tạp và mất nhiều thời gian.
Ở 2 bài toán sau đây, chúng ta có thể làm quen với việc tính biểu thức đã cho:

Phân tích: Bài toán đã "thật thà" yêu cầu tính M.
* Với để ý các số hạng của M có dạng:
- Tử số bé hơn mẫu số 2 đơn vị:
3 - 1 = 15 - 13 = 35 - 33 = 63 - 61 = ...= 9603 - 9601 = 9999 - 9997 = 2
- Mẫu số là tích của 2 số lẻ liên tiếp:
3 = 1 x 3; 15 = 3 x 5; 35 = 5 x 7; 63 = 7 x 9;...; 9603 = 97 x 99; 9999 = 99 x 101
Ta đã viết mỗi số hạng của tổng thành hiệu của 1 và phân số có tử là 2.
* Khi tính B đã sử dụng cách thường làm là viết mỗi phân số (do các thừa số ở mẫu là 2 số lẻ liên tiếp) thành hiệu của 2 phân số mà mẫu số lần lượt là mỗi thừa số ở mẫu phân số ban đầu.
* Nếu người ra đề không yêu cầu tính M mà yêu cầu so sánh M với một số thì rất có thể các bạn sẽ đi theo hướng khác sẽ gặp khó khăn hơn. Để ý:
\(\frac{1}{101}<\frac{1}{100}=0,01\)
Ta có thể yêu cầu so sánh M với 49,01 hoặc chứng minh: M < 49,01.
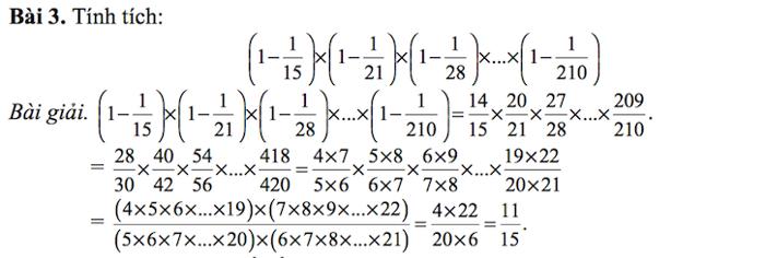
Bây giờ ta xét bài toán không phải biểu thức dạng tổng mà là dạng tích:

Phân tích:
Ở đây sau bước đầu tiên cũng xuất hiện các phân số mà tử số bé hơn mẫu số là 1. Người ta đã nhân cả tử số và mẫu số của các phân số này với 2 để các tử số và mẫu số là tích của 2 số liên tiếp. Từ đó ta rút gọn được biểu thức. Để ý:
![]()
Gọi biểu thức là P, ta có thể ra bài toán chứng minh bất đẳng thức:
![]()
Từ đó ta có: 2 < 3P < 3. Chúng ta có thể yêu cầu chứng mình biểu thức M = 3P không phải là số tự nhiên.

Phân tích: Chúng ta đã tách các phân số để A và B có những số hạng giống nhau. Từ đó đưa về so sánh 2 phân số có cùng tử số là 1.
Với bài sau đây người ta đã tách một tổng thành 2 tổng để vận dụng cách làm của Bài 1.

Chú ý: A có 60 số hạng đã được tách thành 2 tổng, mỗi tổng có 30 số hạng. Với mỗi tổng này chúng ta đã so các số hạng với số hạng bé nhất của tổng.

Phân tích: Lời giải trên có ngay chỉ cần viết các số 2007, 2008 và 2009 thành một tích. Từ kết quả có thể ra bài toán so sánh A với 1.

Phân tích: 3 phân số của tổng đều bé hơn 1 và chỉ có 1 phân số lớn hơn 1 (nếu phân số cuối cùng cũng bé hơn 1 thì bài toán thành tầm thường). Kinh nghiêm khi gặp các phân số mà tử số và mẫu số là các số lớn (cùng với hiệu các số này là số nhỏ), người ta thường đưa về xét "phần bù với 1" nghĩa là viết phân số thành hiệu hoặc tổng của 1 với phân số có tử số nhỏ hơn nhiều.
Các bạn có thể xem và tự giải các bài sau:


Tóm lại: Để giải bài toán so sánh giá trị của biểu thức với số hoặc biểu thức khác ta cần nghĩ tới những điều sau:
1) Các phân số có gì đặc biệt không? (Mẫu có là tích của 2 số nào không? 2 số ở mẫu số các phân số có cách đều nhau không?)
2) Phần bù với 1 của các phân số có đơn giản hơn không?
3) Các số xuất hiện ở biểu thức là tích của các thừa số nào?
3) Có tính được biểu thức không? (Biểu thức dạng tích đưa về tử số và mẫu số có thừa số giống nhau để rút gọn, biểu thức dạng tổng đưa về có các số hạng ước lược được nhau).
4) Có đưa biểu thức về biểu thức trung gian quen thuộc hơn không?
Các bài Toán so sánh giá trị biểu thức ở tiểu học là dạng Toán nâng cao trong chương trình phạm vi Toán nâng cao lớp 4, 5 có các dạng bài tập và đáp án chi tiết kèm theo cho các em học sinh lớp 4, lớp 5 củng cố kiến thức, mở rộng các dạng Toán từ cơ bản đến nâng cao.