Đề thi học kì 2 môn Toán lớp 10 tỉnh Quảng Nam năm học 2015 - 2016
Đề thi học kì 2 môn Toán lớp 10
Đề thi học kì 2 môn Toán lớp 10 tỉnh Quảng Nam năm học 2015 - 2016 là đề kiểm tra học kì II môn Toán lớp 10 có đáp án dành cho các bạn tham khảo ôn tập, hệ thống kiến thức Toán 10, chuẩn bị cho bài kiểm tra cuối năm sắp diễn ra. Mời các bạn tham khảo.
Đề thi học kì 2 môn Toán lớp 10 trường THPT Nguyễn Chí Thanh, TP. Hồ Chí Minh năm học 2015 - 2016
Đề thi học kì 2 môn Toán lớp 10 trường THPT Chu Văn An, Hà Nội năm học 2015 - 2016
|
SỞ GIÁO DỤC VÀ ĐÀO TẠO QUẢNG NAM |
KIỂM TRA HỌC KỲ II – NĂM HỌC 2015-2016 Môn: TOÁN – Lớp 10 Thời gian: 90 phút (không kể thời gian giao đề) |
Câu 1 (2,0 điểm).
Giải các bất phương trình sau:
a) |3x - 1| > 5.
b) ![]()
Câu 2 (1,0 điểm).
Tìm m để bất phương trình sau nghiệm đúng với mọi x thuộc R:
x2 - 2mx + m2 - 2m + 8 > 0
Câu 3 (2,5 điểm).
a) Cho sinα = 2/3 (π/2 < α < π). Tính cosα, sin2α, sin(α + π/2).
b) Chứng minh đẳng thức sau:
(khi các biểu thức có nghĩa).
Câu 4 (1,0 điểm).
Cho tam giác ABC có góc A = 60o, AC = 2cm, AB = 3cm. Tính BC và sinC.
Câu 5 (2,5 điểm).
Trong mặt phẳng với hệ tọa độ Oxy, cho hai điểm A(1; –3), B(–1; 2) và đường thẳng d: x – y – 2 = 0.
a) Viết phương trình của đường thẳng AB.
b) Viết phương trình đường tròn có tâm là điểm A và tiếp xúc với đường thẳng d.
c) Viết phương trình đường thẳng Δ song song với đường thẳng d và cắt các trục Ox, Oy lần lượt tại hai điểm C, D sao cho diện tích tam giác OCD bằng 2.
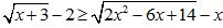
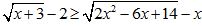
Câu 6 (1.0 điểm).
Giải bất phương trình sau: ![]()
Đáp án đề thi học kì 2 môn Toán lớp 10

