Đề thi khảo sát chất lượng lần 2 môn Toán lớp 10 trường THPT Thạch Thành 1, Thanh Hóa năm 2015 - 2016
Đề thi khảo sát chất lượng môn Toán lớp 10 năm 2016
Đề thi khảo sát chất lượng lần 2 môn Toán lớp 10 trường THPT Thạch Thành 1, Thanh Hóa năm 2015 - 2016 gòm 7 câu hỏi tự luận và đáp án đi kèm. Đây là tài liệu ôn tập môn Toán hữu ích, giúp các bạn học sinh luyện tập, chuẩn bị tốt nhất cho bài thi cuối năm sắp tới.
Đề thi học kì 2 môn Toán lớp 10 trường THPT Đa Phúc, Hà Nội
Đề thi học kì 2 môn Toán lớp 10 trường THPT Gia Định, TP. Hồ Chí Minh
Đề kiểm tra học kì 2 môn Toán lớp 10 trường THPT Lương Ngọc Quyến, Thái Nguyên
|
SỞ GD&ĐT THANH HÓA TRƯỜNG THPT THẠCH THÀNH I (Đề có 01 trang) |
ĐỀ THI KHẢO SÁT CHẤT LƯỢNG LẦN IINĂM HỌC 2015 – 2016 Môn: Toán 10 Thời gian: 150 phút (Không kể giao đề) |
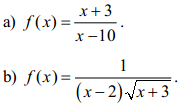
Câu 1 (2,0 điểm). Tìm tập xác định của hàm số sau:

Câu 2 (2,0 điểm).
a) Xác định parabol (P): y = ax2 + bx + c, biết parabol (P) có hoành độ đỉnh bằng 1 và đi qua hai điểm A (0;-3) và B (-2;5)
b) Lập bảng biến thiên và vẽ đồ thị của hàm số vừa tìm được ở phần a.
Câu 3 (1,0 điểm). Giải phương trình sau:
![]()

Câu 5 (2,0 điểm). Cho tam giác ABC có: A (1;1); B (3;0); C (4;5)
a) Tìm tọa độ trong tâm G và trực tâm H của tam giác ABC.
b) Tìm tọa độ điểm D thuộc đoạn BC sao cho diện tích tam giác ABD gấp 2 lần diện tích tam giác ACD.

Đề kiểm tra KSCL môn Toán lớp 10
Câu 1:

(Còn tiếp)