Đề thi thử THPT Quốc gia năm 2016 môn Toán trường THPT Như Xuân, Thanh Hóa (Lần 2)
Đề thi thử THPT Quốc gia 2016 môn Toán
Đề thi thử THPT Quốc gia năm 2016 môn Toán trường THPT Như Xuân, Thanh Hóa (Lần 2) với 9 câu hỏi có đáp án đi kèm. Đây là tài liệu tham khảo hữu ích dành cho các bạn thí sinh chuẩn bị bước vào kì thi THPT Quốc gia, luyện thi Đại học, Cao đẳng 2016 sắp tới. Mời các bạn tham khảo.
Đề thi thử đánh giá năng lực ĐHQGHN 2016: Tư duy định lượng (môn Toán)
Đề thi thử THPT Quốc gia năm 2016 môn Toán trường THPT Hồng Quang, Hải Dương (Lần 1)
Đề thi thử THPT Quốc gia năm 2016 môn Toán trường THCS & THPT Nguyễn Viết Xuân, Phú Yên (Lần 1)
|
SỞ GD & ĐT THANH HÓA TRƯỜNG THPT NHƯ XUÂN ĐỀ CHÍNH THỨC |
ĐỀ THI KHẢO SÁT CHẤT LƯỢNG LẦN 2 NĂM 2015 - 2016MÔN THI: TOÁN Thời gian làm bài: 180 phút, không kể thời gian phát đề |
Câu 1 (2 điểm). Cho hàm số y = -x3 + 3x2 (1)
a) Khảo sát sự biến thiên và vẽ đồ thị (C) của hàm số (1).
b) Lập phương trình tiếp tuyến của (C) tại các giao điểm của đồ thị với trục hoành.
Câu 2 (1 điểm). Giải phương trình: 2√3sinx + cosx = sin2x + √3
Câu 3 (1 điểm). Giải phương trình: log22x + 4log44x = 7
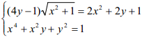
Câu 4 (1 điểm). Giải hệ phương trình:

Câu 5 (0,5 điểm). Tính nguyên hàm sau:
![]()
a) Tính thể tích khối chóp S.ABCD.
b) Tính khoảng cách từ điểm H đến mặt phẳng (SCD) theo a.
Câu 6 (2 điểm).

Câu 7 (1 điểm). Trong mặt phẳng tọa độ Oxy, cho tam giác ABC nhận trục hoành làm đường phân giác trong của góc A, điểm thuộc đường thẳng BC và đường tròn ngoại tiếp tam giác ABC có phương trình x2 + y2 - 2x - 10y - 24 = 0. Tìm tọa độ các đỉnh A, B, C biết điểm A có hoành độ âm.
Câu 8 (0.5 điểm). Gọi A là tập hợp tất cả các số tự nhiên gồm 4 chữ số phân biệt được chọn từ các chữ số 0; 1; 2; 3; 4; 5; 6. Chọn ngẫu nhiên một số từ tập A, tính xác suất để số chọn được là số chia hết cho 5.
Câu 9 (1 điểm). Cho là các số thực dương. Tìm giá trị nhỏ nhất của biểu thức
![]()
Đề thi thử THPT Quốc gia môn Toán năm 2016
Câu 1.a
Tập xác định D = R
Sự biến thiên y' = -3x2 + 6x; y' = 0 ↔ x = 0 hoặc x = 2
Trên các khoảng (-∞;0) và (2;+∞), y' < 0 nên hàm số nghịch biến.
Trên khoảng (0;2), y' > 0 nên hàm số đồng biến.
Hàm số đạt cực tiểu tại x = 0, yct = 0; đạt cực đại tại x = 2, ycđ = 4.

Câu 1.b
Đồ thị cắt trục hoành tại các điểm A(0;0) và B(3;0).
Phương trình tiếp tuyến của đồ thị tại A(0;0) là: y = 0
Phương trình tiếp tuyến của đồ thị tại B(3;0) là: y = y'(3)(x - 3) = -9x + 27
Vậy tiếp tuyến cần tìm là y = 0 và y = -9x + 27
Câu 2

Câu 3

(Còn tiếp)