Đề thi thử tốt nghiệp THPT 2025 môn Vật lí bám sát đề minh họa - Đề 31
Thi THPT Quốc gia 2025
Lớp:
THPT Quốc gia
Môn:
Vật Lý
Dạng tài liệu:
Đề thi
Loại:
Tài liệu Lẻ
Loại File:
Word + PDF
Phân loại:
Tài liệu Tính phí

PHÁT TRIỂN TỪ ĐỀ MINH HỌA
ĐỀ 31
ĐỀ ÔN THI TỐT NGHIỆP THPT 2025
MÔN: VẬT LÍ
Thời gian: 50 phút
PHẦN I. Câu trắc nghiệm nhiều phương án lựa chọn.
Câu 1:
t lu
n n
ng?
A. Kh
i ch
a nhi
t. B. Ch
n.
C. Kh
i ch
D. Ch
là ch
t l
ng.
Câu 2: h báo
A. B. C. D.
Câu 3:
5
J/kg. T
A. 5,54.10
9
kJ. B. 5,54.10
9
J. C. 5,54.10
6
J. D. 5,54 kJ.
Câu 4:
x
nh nhi
t dung riêng c
c, b
n Ngh
d
ng nhi
t k
c nhi
27,8°C. Ti
p theo, Ngh
a d
ng m
t ngu
n
ng
ng 1,73 A. Sau kho
ng th
i gian
c, Ngh
a
c nhi
c
a b
nh v
c l
31,2°C. N
u b
qua s
i nhi
t v
ng, b
qua nhi
t
ng m
b
nh nhi
ng k
thu v
o th
gi
tr nhi
t dung riêng c
c m
Ngh
c c
gi
tr b
ng
A. 4180
J
kgK
B. 4714
J
kgK
C. 4199
J
kgK
D. 4152
J
kgK
Câu 5: không
A. C
x
t hai v
t v
o nhau. B.
ng b
a.
C.
c b
ng
n. D.
m
i.
Câu 6:
khi áp s
n l
A. 45 l
t. B. 5 l
t. C. 9 l
t. D. 3 l
t.

Câu 7:
5
o
C.
5
A. 512,5
o
C. B. 324,5
o
C. C. 292,8
o
C. D. 243,8
o
C.
Câu 8:
3
o
trong
o
o
3
. A. 8,5 kg. B. 4,5 kg. C. 1,2 kg. D. 12,2 kg.
Câu 9: đúng
A.
B.
C.
D.
Câu 10:
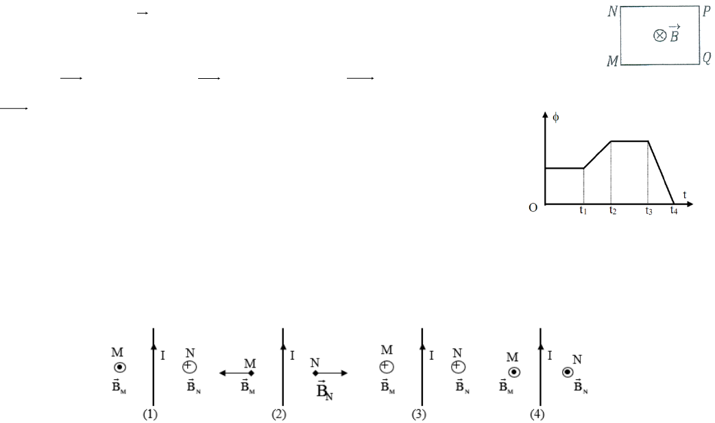
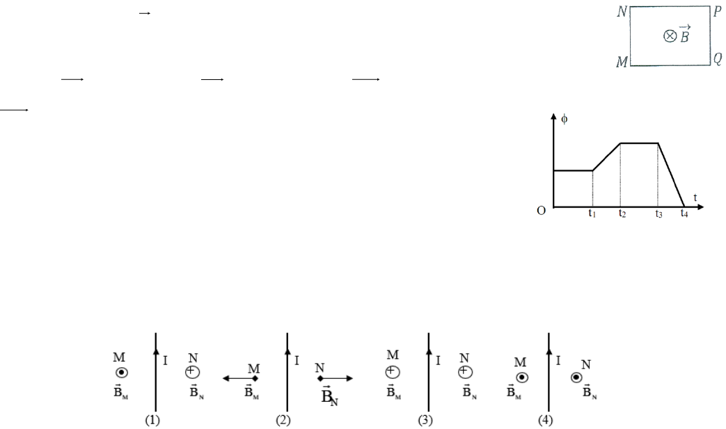
B
A.
PQ
. B.
NP
. C.
QM
. D.
NM
.
Câu 11:
A.
2
. B.
1
2
.
C. t t
2
n t
4
. D. t n t
1
.
Câu 12:
A.
Hình 4.
B.
Hình 2.
C.
Hình 3.
D.
Hình 1.
Câu 13:
c
i

A. Hình 3. B. Hình 1. C. Hình 4. D. Hình 2.
Câu 14:
A. tia X. B. tia gamma.
C. sóng ánh sáng. D. sóng siêu âm.
Câu 15:
20
10
Ne
20
10
Ne
là A.
8,032 MeV/nucleon. B. 16,064 MeV/nucleon.
C. 5,535 MeV/nucleon. D. 160,64 MeV/nucleon.
Câu 16:
206
82
Pb
;
226
88
Ra
;
210
84
Po
;
238
92
U
A.
U
238
92
. B.
Ra
226
88
. C.
210
84
Po
. D.
206
82
Pb
.
Câu 17: M
2
6.10
5
A. 2 mV B. 12 mV C. 15 mV D. 10 mV
Câu 18:
24
11
Na
24
11
Na
-3
23
6 02 10
A
N , .
mol
-1
A. 3,87.10
19
Bq. B. 3,87.10
13
Bq. C. 1,61.10
12
Bq. D. 1,61.10
19
Bq.
PHẦN II. Câu trắc nghiệm đúng sai. Trong mỗi ý a), b), c), d)
Đề thi thử bám sát đề minh họa 2025 môn Vật lý - Đề 31
Đề thi thử tốt nghiệp THPT Quốc gia 2025 môn Vật lí bám sát đề minh họa - Đề 31 có đáp án được VnDoc.com tổng hợp và xin gửi tới bạn đọc cùng tham khảo. Đề thi gồm có 18 câu hỏi trắc nghiệm nhiều phương án lựa chọn, 4 câu hỏi trắc nghiệm đúng sai và 6 câu hỏi trả lời ngắn. Thí sinh làm bài trong thời gian 50 phút. Đề có đáp án và lời giải chi tiết kèm theo. Mời các bạn cùng theo dõi đề thi dưới đây để có thêm tài liệu ôn thi kì thi THPT Quốc gia sắp tới nhé.