Đề thi thử tốt nghiệp THPT 2025 môn Vật lí bám sát đề minh họa - Đề 6
Thi THPT Quốc gia 2025
Lớp:
THPT Quốc gia
Môn:
Vật Lý
Dạng tài liệu:
Đề thi
Loại:
Tài liệu Lẻ
Loại File:
Word + PDF
Phân loại:
Tài liệu Tính phí

BÁM SÁT ĐỀ MINH HỌA
ĐỀ 06
ĐỀ ÔN THI TỐT NGHIỆP THPT NĂM 2025
MÔN: VẬT LÍ
Thời gian làm bài 50 phút; không kể thời gian phát đề
Cho biết: = 3,14; T (K) = t (
0
C) + 273; R = 8,31 J/(mol.K); N
A
= 6,02.10
23
hạt/mol.
PHẦN I. Câu trắc nghiệm nhiều phương án lựa chọn. Thí sinh trả lời từ câu 1 đến câu 18. Mỗi câu hỏi thí
sinh chỉ chọn một phương án.
Câu 1. Cồn y tế chuyển từ thể lỏng sang thể khí rất nhanh ở điều kiện thông thường. Khi
xoa cồn vào da ta cảm thấy lạnh ở vùng da đó vì
A. cồn thu nhiệt lượng từ cơ thể qua chỗ da đó để bay hơi.
B. cồn khi bay hơi toả nhiệt lượng vào chỗ da đó.
C. cồn khi bay hơi kéo theo lượng nước chỗ da đó ra khỏi cơ thể.
D. cồn khi bay hơi tạo ra dòng nước mát tại chỗ da đó.
Câu 2. Cho các phát biểu sau:
a) Một chất lỏng ở bất kì nhiệt độ nào cũng chứa những phân tử có động năng đủ lớn để thắng lực hút của
các phân tử xung quanh, thoát ra khỏi mặt thoáng chất lỏng.
b) Muốn thành hơi, các phân tử phải sinh công để thắng lực hút giữa các phân tử còn lại có xu hướng kéo
chúng trở lại chất lỏng.
c) Hiện tượng các phân tử chất lỏng thoát ra khỏi chất lỏng, tạo thành hơi được gọi là sự ngưng tụ.
d) Đồng thời với sự bay hơi còn xảy ra hiện tượng ngưng tụ, một số phân tử hơi ở gần mặt thoáng đi ngược
trở lại vào trong lòng chất lỏng.
e) Khác với sự bay hơi, sự sôi là sự chuyển từ thể lỏng sang thể hơi chỉ xảy ra bên trong lòng chất lỏng.
Số phát biểu đúng là
A. 2. C. 3. B. 4. D. 5.
Sử dụng các thông tin sau cho Câu 3 và Câu 4: Một nhóm học sinh thực hiện thí nghiệm xác định nhiệt
nóng chảy riêng của nước đá. Các bạn bố trí thí nghiệm như hình bên và tiến hành thí nghiệm qua các bước
sau:
Bước 1
- Cho nước đá vào nhiệt lượng kế và hứng nước chảy ra bằng
một chiếc cốc.
- Sau khi nước chảy vào cốc khoảng một phút, cho nước chảy
vào cốc (ở trên cân) trong thời gian t (phút), xác định khối
lượng của nước trong cốc này.
Bước 2
- Bật biến áp nguồn.
- Đọc số chỉ 𝒫 của oát kế.
- Cho nước chảy thêm vào cốc trong thời gian t. Xác định khối lượng của nước trong cốc lúc này.
Kết quả thí nghiệm được nhóm ghi lại ở bảng sau:
Đại lượng
Kết quả đo
Khối lượng
(kg)
5.10
3

Khối lượng
(kg)
19,6.10
3
Thời gian đun t
(s)
130
Công suất 𝒫 (W)
24
Xem điều kiện môi trường (nhiệt độ, áp suất, …) không đổi trong suốt thời gian làm thí nghiệm và điện
năng tiêu thụ chuyển hóa hoàn toàn thành nhiệt lượng cung cấp cho nước đá. Bỏ qua sự bay hơi của nước.
Câu 3. Khối lượng nước đá tan do nhận nhiệt lượng từ dây nung là
A. 24,6.10
3
kg. B. 19,6.10
3
kg.
C. 14,6.10
3
kg. D. 9,6.10
3
kg.
Câu 4. Nhiệt hóa hơi riêng của nước đá thu được từ thí nghiệm trên là
A. 126 829 J/kg. B. 325 000 J/kg. C. 320 000 J/kg. D. 213 698 J/kg.
Câu 5. Hai bình thủy tinh X và Y cùng chứa khí helium. Áp suất khối khí ở bình X gấp ba lần áp suất khối khí
ở bình Y. Dung tích của bình Y gấp ba lần dung tích của bình X. Khi nhiệt độ khối khí trong hai bình bằng
nhau thì
A. số nguyên tử ở bình X nhiều hơn số nguyên tử ở bình Y.
B. số nguyên tử ở bình Y nhiều hơn số nguyên tử ở bình X.
C. số nguyên tử ở hai bình bằng nhau.
D. mật độ nguyên tử ở hai bình như nhau.
Câu 6. Một cốc nước nóng và một cốc nước lạnh chứa lượng nước như nhau. Bỏ qua sự trao đổi nhiệt của
nước với cốc và môi trường. Rót một nửa lượng nước trong cốc nước nóng vào cốc nước lạnh, khi xảy ra cân
bằng nhiệt thì nhiệt độ cốc nước lạnh tăng thêm 17,5
0
C. Tiếp tục rót một nửa của lượng nước còn lại trong
cốc nước nóng vào cốc nước lạnh, khi xảy ra cân bằng nhiệt thì nhiệt độ của cốc nước lạnh tiếp tục tăng thêm
A. 8
0
C. B. 7
0
C. C. 6
0
C. D. 5
0
C.
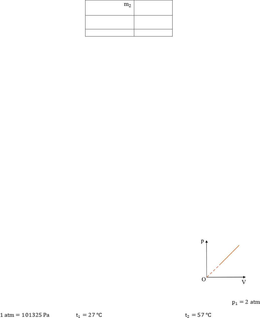
Câu 7. Quá trình biến đổi trạng thái của một lượng khí lí tưởng được biểu diễn
trong hệ tọa độ (p,V) bằng một đoạn thẳng có đường kéo dài đi qua gốc tọa độ
như hình vẽ. Trong quá trình đó, nhiệt độ tuyệt đối của lượng khí
A. tỉ lệ thuận với bình phương thể tích khí.
B. luôn luôn tăng.
C. tỉ lệ nghịch với bình phương thể tích khí.
D. luôn luôn giảm.
Câu 8. Một bình kín có thể tích không đổi, chứa 0,1 mol khí lí tưởng ở áp suất
( ), nhiệt độ . Làm nóng khối khí đến nhiệt độ . Khi đó, thể tích và
áp suất của khối khí lần lượt là
A. 1,23 lít và 2,2 atm. B. 1,23 m
3
và 1,8 Pa. C. 11,2 lít và 1,8 atm. D. 0,125 m
3
và 1,8 Pa.
Câu 9. Chọn khẳng định đúng về phản ứng phân hạch hạt nhân.
A. Tổng khối lượng nghỉ của các hạt sản phẩm sau phân hạch luôn bằng tổng khối lượng nghỉ của các hạt
trước phân hạch.
B. Tổng khối lượng nghỉ của các hạt sản phẩm sau phân hạch luôn lớn hơn tổng khối lượng nghỉ của các
hạt trước phân hạch.
C. Tổng số proton của các hạt sau phân hạch luôn bằng tổng số proton của các hạt trước phân hạch.

D. Tổng số nucleon của các hạt sau phân hạch luôn bằng tổng số nucleon của các hạt trước phân hạch.
Câu 10. Cho các phát biểu sau đây:
(1) Từ trường có thể tác dụng lực từ lên các điện tích đứng yên đặt trong nó.
(2) Từ trường có khả năng tác dụng lực từ lên dòng điện đặt trong nó.
(3) Từ trường có khả năng tác dụng lực từ lên nam châm đặt trong nó.
(4) Đường sức từ luôn là những đường cong khép kín.
Trong các phát biểu trên, số phát biểu đúng là
A. 1. B. 2. C. 3. D. 4.
Câu 11. Một lượng chất phóng xạ ban đầu có khối lượng . Sau 5 chu kỳ bán rã liên tiếp, khối lượng chất
phóng xạ còn lại là
A. . B. . C. . D. .
Câu 12. Một khung dây hình chữ nhật được đặt trong từ trường đều sao cho các
đường sức từ vuông góc với mặt phẳng khung dây và chiều của dòng điện chạy
trong khung dây được biểu diễn như hình vẽ bên. Ban đầu sử dụng khung dây có
kích thước là 100 mm 80 mm (chiều rộng khung dây nằm ngang – đoạn AD).
Nếu thay khung dây ban đầu thành một khung dây khác có kích thước là 100 mm
40 mm (chiều rộng khung dây luôn nằm ngang – đoạn A’D’) nhưng vẫn giữ nguyên
góc hợp bởi mặt phẳng khung dây và các đường sức từ, giữ nguyên cường độ dòng
điện qua khung dây và nam châm điện thì nhận định nào sau đây về lực từ do từ
trường tác dụng lên đoạn A’D’ của khung dây là đúng?
A. Không đổi chiều và độ lớn tăng 2 lần. B. Không đổi chiều và độ lớn giảm 2 lần.
C. Đổi chiều và độ lớn giảm 4 lần. D. Đổi chiều và độ lớn tăng 4 lần.
Câu 13. Dòng điện xoay chiều chạy qua đoạn mạch chỉ có điện trở thuần 10 Ω, có cường độ dòng điện cực
đại là 0,1 A. Khi đó, công suất tỏa nhiệt của đoạn mạch là
A. 0,1 W. B. 1,0 W. C. 0,5 W. D. 2 W.
Câu 14. Một máy phát điện xoay chiều có rôto là nam châm vĩnh cửu có tốc độ quay thay đổi được, cuộn dây
được đặt trên stato. Dùng tần số kế điện tử để đo tần số f (vòng/s) của rôto và vôn kế đo suất điện động E (V)
ở hai đầu cuộn dây. Kết quả đo f và E được biểu diễn bằng đồ thị như hình bên dưới.
Nếu chấp nhận sai số dưới 10% thì mối liên hệ giữa suất điện động E (mV) ở hai đầu cuộn dây và tần số f
(vòng/s) của rôto là
A. E = 0,027f. B. E = 2,2f. C. E = 0,05f. D. E = 30f.
Câu 15. Khi nói về quan hệ giữa điện trường và từ trường của điện từ trường thì nhận định nào sau đây là
đúng?
A. Vector cường độ điện trường và vector cảm ứng từ cùng phương và cùng độ lớn.
Đề thi thử bám sát đề minh họa 2025 môn Vật lý - Đề 6
VnDoc.com xin gửi tới bạn đọc bài viết Đề thi thử THPT Quốc gia 2025 môn Vật lý bám sát đề minh họa - Đề 6 để bạn đọc cùng tham khảo và có thêm tài liệu ôn thi kì thi THPT Quốc gia sắp tới nhé.
Đề thi gồm có 18 câu hỏi trắc nghiệm nhiều phương án lựa chọn, 4 câu hỏi trắc nghiệm đúng sai và 6 câu hỏi trả lời ngắn. Thí sinh làm bài trong thời gian 50 phút. Đề có đáp án và lời giải chi tiết kèm theo. Mời các bạn cùng theo dõi đề thi dưới đây.