Đề thi thử vào lớp 10 môn Toán lần 2 năm 2015 Phòng GD-ĐT Việt Yên, Bắc Giang
Đề thi thử vào lớp 10 môn Toán
Đề thi thử vào lớp 10 môn Toán lần 2 năm 2015 Phòng GD-ĐT Việt Yên, Bắc Giang là đề thi thử vào lớp 10 môn Toán có đáp án mà VnDoc xin được gửi tới các bạn tham khảo, ôn tập, luyện đề cấp tốc chuẩn bị cho kì thi tuyển sinh chính thức vào lớp 10 THPT sắp tới.
Đề thi thử vào lớp 10 môn Toán năm học 2015 - 2016 trường THCS Hòa Tân, Đồng Tháp
Đề thi thử vào lớp 10 môn Toán lần 1 năm học 2015-2016 trường THCS Tân Trường, Hải Dương
|
PHÒNG GIÁO DỤC VÀ ĐÀO TẠO LẦN 2 |
ĐỀ THI THỬ VÀO LỚP 10 TRUNG HỌC PHỔ THÔNG |
Câu I (2.0 điểm)
1. Tính ![]()
2. Với giá trị nào của x thì biểu thức √(4 - 2x) có nghĩa?
Câu II (3.0 điểm)
1. Tìm m để đồ thị hàm số bậc nhất y = -2x + m – 2011 cắt trục tung tại điểm có tung độ bằng 5.
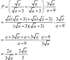
| 2. Cho biểu thức | ![]() |
Tìm giá trị của a để P ≤ 1.
3. Chứng minh phương trình: x2 – mx + m – 1 = 0 (1) luôn có nghiệm với mọi giá trị của m. Tìm m để phương trình (1) có một nghiệm lớn hơn 2015.
Câu III (1.5 điểm): Giải bài toán bằng cách lập phương trình, hệ phương trình
Một hình chữ nhật có chu vi là 52 m. Nếu giảm mỗi cạnh đi 4 m thì được một hình chữ nhật mới có diện tích 77 m2. Tính các kích thước của hình chữ nhật ban đầu?
Câu IV (3.0 điểm)
Cho đường tròn tâm O, đường kính AB = 2R. Gọi d1 và d2 là hai tiếp tuyến của đường tròn (O) tại hai điểm A và B. Gọi I là trung điểm của OA và E là điểm thuộc đường tròn (O) (E không trùng với A và B). Đường thẳng đi qua điểm E và vuông góc với EI cắt hai đường thẳng d1 và d2 lần lượt tại M, N.
- Chứng minh AMEI là tứ giác nội tiếp.
- Chứng minh góc ENI = góc EBI và góc MIN = 900.
- Chứng minh AM.BN = AI.BI.
- Gọi F là điểm chính giữa của cung AB không chứa điểm E của đường tròn (O). Hãy tính diện tích của tam giác MIN theo R khi ba điểm E, I, F thẳng hàng.
Câu V (0.5 điểm)
| Cho hai số thực x, y thỏa mãn | ![]() |
Hãy tính giá trị của biểu thức: P = 5/2(x - 1)2016 - 1/2(y - 2)2015 + 2017.
Đáp án đề thi thử vào lớp 10 môn Toán
Câu I (2.0 điểm)
1. 1,0 điểm

2. 1,0 điểm
Biểu thức √(4 - 2x) có nghĩa 4 - 2x ≥ 0 ↔ -2x ≥ -4 ↔ x ≤ 2
Vậy với x ≤ 2 thì biểu thức √(4 - 2x) có nghĩa.
Câu II (3.0 điểm)
1. 1,0 điểm
Đồ thị hàm số bậc nhất y = -2x + m – 2011 cắt trục tung tại điểm có tung độ bằng 5 khi và chỉ khi m – 2011 = 5 <=> m = 2016
Vậy m = 2016 là giá trị cần tìm
2. 1,0 điểm
ĐK: a > 0, a ≠ 9.

P ≤ 1 ↔ 2√a ≤ 1 ↔ √a ≤ 3/2 ↔ a ≤ 9/4, kết hợp với điều kiện ta được 0 < a ≤ 9/4
KL:...
3. 1,0 điểm
PT: x2 – mx + m – 1 = 0 (1)
Ta có Δ = (-m)2 – 4(m – 1) = m2 – 4m + 1 = (m – 2)2 ≥ 0 với mọi m
=> PT (1) luôn có nghiệm với mọi m
Vì a + b + c = 1 – m + m – 1 = 0 => x1 = 1; x2 = m – 1 là nghiệm của PT (1)
Do đó PT (1) có một nghiệm lớn hơn 2015 <=> m – 1 > 2015 <=> m > 2016
Vậy với m > 2016 thì PT (1) có một nghiệm lớn hơn 2015.

