Đề thi tuyển sinh lớp 10 THPT chuyên ĐH Khoa học tự nhiên năm 2011 - 2012
Nhằm giúp các bạn học sinh lớp 9 chuẩn bị thi vào lớp 10, VnDoc.com xin giới thiệu tới bạn đọc: Đề thi tuyển sinh lớp 10 THPT chuyên ĐH Khoa học tự nhiên năm 2011 - 2012.
Đề thi tuyển sinh lớp 10 trường chuyên ĐH Khoa học tự nhiên:
ĐẠI HỌC QUỐC GIA HÀ NỘI
|
KỲ THI TUYỂN SINH LỚP 10 THPT CHUYÊN
|
Môn: TOÁN (Vòng 1)
Thời gian làm bài: 120 phút (không kể thời gian giao đề)
Câu I.
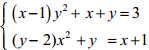
1) Giải hệ phương trình: 
2) Giải phương trình: ![]()
Câu II.
1) Chứng minh rằng không tồn tại các bộ ba số nguyên (x, y, z) thỏa mãn đẳng thức: x4 + y4 = 7z4 + 5
2) Tìm tất cả các cặp số nguyên (x, y) thỏa mãn đẳng thức: (x + 1)4 - (x - 1)4 = y3
Câu III.
Cho hình bình hành ABCD với góc BAD < 90o . Đường phân giác của góc BCD cắt đường tròn ngoại tiếp tam giác BCD tại O khác C. Kẻ đường thẳng (d) đi qua A và vuông góc với CO. Đường thẳng (d) lần lượt cắt các đường thẳng CB, CD tại E, F.
1) Chứng minh rằng ∆OBE = ∆ODC.
2) Chứng minh rằng O là tâm đường tròn ngoại tiếp tam giác CEF.
3) Gọi giao điểm của OC và BD là I, chứng minh rằng IB.BE.EI = ID.DF.FI
Câu IV.
Với , x y là những số thực dương, tìm giá trị nhỏ nhất của biểu thức:
Môn: TOÁN (Vòng 2)
Thời gian làm bài: 150 phút (không kể thời gian giao đề)
Câu I.
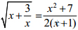
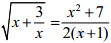
1) Giải phương trình: ![]()
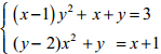
2) Giải hệ phương trình: ![]()
Câu II.
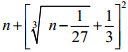
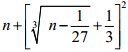
1) Với mỗi số thực a ta gọi phần nguyên của a là số nguyên lớn nhất không vượt quá a và ký hiệu là [a]. Chứng minh rằng với mọi số nguyên dương n, biểu thức
không biểu diễn được dưới dạng lập phương của một số nguyên dương.
2) Với x, y, z là các số thực dương thỏa mãn đẳng thức xy + yz + zx = 5, tìm giá trị nhỏ nhất của biểu thức:![]()
Câu III.
Cho hình thang ABCD với BC song song AD. Các góc BAD và CDA là các góc nhọn. Hai đường chéo AC và BD cắt nhau tại I. P là điểm bất kỳ trên đoạn thẳng BC (P không trùng với B, C). Giả sử đường tròn ngoại tiếp tam giác BIP cắt đoạn thẳng PA tại M khác P và đường tròn ngoại tiếp tam giác CIP cắt đoạn thẳng PD tại N khác P.
1) Chứng minh rằng năm điểm A, M, I, N, D cùng nằm trên một đường tròn. Gọi đường tròn này là (K).
2) Giả sử các đường thẳng BM và CN cắt nhau tại Q, chứng minh rằng Q cũng nằm trên đường tròn (K)
3) Trong trường hợp P, I, Q thẳng hàng, chứng minh rằng ![]()
Câu IV.
Giả sử A là một tập con của tập các số tự nhiên ℕ. Tập A có phần tử nhỏ nhất là 1, phần tử lớn nhất là 100 và mỗi x thuộc A (x ≠ 1) luôn tồn tại a, b cũng thuộc A sao cho x = a + b (a có thể bằng b). Hãy tìm một tập A có số phần tử nhỏ nhất.