Đề thi tuyển sinh lớp 10 THPT tỉnh Thái Bình năm học 2013 - 2014 môn Toán
Nhằm giúp các bạn chuẩn bị thật tốt kiến thức để làm bài thi đạt hiệu quả cao, Vndoc.com xin giới thiệu: Đề thi tuyển sinh lớp 10 THPT tỉnh Thái Bình năm học 2013 - 2014 môn Toán.
Đề thi tuyển sinh lớp 10 môn Toán:
SỞ GIÁO DỤC VÀ ĐÀO TẠO
|
ĐỀ THI TUYỂN SINH LỚP 10 THPT CHUYÊN THÁI BÌNH
|
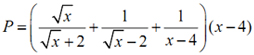
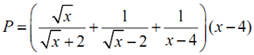
Câu 1. (2,0 điểm)
Cho biểu thức
với x ≥ 0; x # 4
1. Rút gọn biểu thức P
2. Tìm giá trị nhỏ nhất của P
Câu 2. (2,0 điểm)
Cho hệ phương trình
(với m là tham số)
1. Giải hệ phương trình với m = 1
2. Tìm m để hệ có nghiệm (x; y) thỏa mãn 3x - y = 1
Câu 3. (2,0 điểm)
1. Cho phương trình bậc hai: x2 - (2m - 1)x + m2 - m - 6 = 0 (m là tham số). Chứng minh phương trình luôn có hai nghiệm phân biệt x1; x2 với mọi giá trị của m. Tìm m để: -5 < x1 < x2 < 5.
2. Giải phương trình: (x + 2)(x - 3)(x2 + 2x - 24) = 16x2.
Câu 4. (3,5 điểm)
Cho tam giác đều ABC có đường cao AH. Trên đường thẳng BC lấy điểm M nằm ngoài đoạn BC sao cho MB > MC và hình chiếu vuông góc của M trên AB là P (P nằm giữa A và B). Kẻ MQ vuông góc với đường thẳng AC tại Q.
1. Chứng minh 4 điểm A, P, Q, M cùng nằm trên một đường tròn. Xác định tâm O của đường tròn đó.
2. Chứng minh: BA.BP = BM.BH
3. Chứng minh OH vuông góc với PQ
4. Chứng minh PQ > AH
Câu 5. (0,5 điểm)
Giải phương trình: 