Đề thi Violympic Toán lớp 9 vòng 11 năm 2016 - 2017
Đề thi Violympic Toán lớp 9 vòng 11
Đề thi Violympic Toán lớp 9 vòng 11 năm 2016 - 2017. Đây là tài liệu tham khảo hay, giúp các bạn học sinh ôn tập thật tốt để chuẩn bị cho vòng thi đấu tiếp theo. Đi kèm với đề thi là đáp án chúng tôi đã cập nhật đầy đủ và chính xác, chính vì vậy các bạn có thể tự đối chiếu kết quả bài làm của chính mình. Chúc các bạn có kết quả cao trong những vòng thi tiếp theo.
Đề thi Violympic Toán lớp 9 vòng 1 năm 2016 - 2017
Đề thi Violympic Toán lớp 9 vòng 2 năm 2016 - 2017
Đề thi Violympic Toán lớp 9 vòng 3 năm 2016 - 2017
Mời làm: Đề thi Violympic môn Toán lớp 9 vòng 11 năm học 2016 - 2017 Online
ĐỀ THI VIOLYMPIC TOÁN LỚP 9 VÒNG 11 NĂM 2016 - 2017
Bài 1: Đi tìm kho báu
Câu 1: Cho hàm số y = f(x) = x2 + 1. Khi đó f(0) = ...
Câu 2: Tìm x: ![]()
Trả lời: Giá trị x là ...
Câu 3:

Câu 4
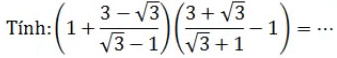
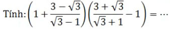
Tính: 
Trả lời: B = ...
Câu 5
Tìm giá trị lớn nhất của biểu thức
A = 8 - ![]()
Trả lời: Giá trị lớn nhất của A là ...
Bài 2: Mười hai con giáp
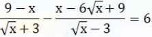
Câu 1: Tìm x biết: ![]()
Trả lời: Giá trị của x là ...
Câu 2

Câu 3: Cho hàm số y = f(x), điểm A(a; b) thuộc đồ thị hàm số y = f(x) khi:
A. f(a) = 0
B. b = f(a)
C. a = f(b)
D. f(b) = 0
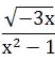
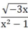
Câu 4: Biểu thức
xác định khi và chỉ khi.
A. x ≥ 0 và x ≠ 1
B. x ≥ 0 và x ≠ 3
C. x ≤ 0 và x ≠ - 1
D. x ≤ 0 và x ≠ -3
Câu 5: Tính √(25 + 144) = ...
A. 13
B. 17
C. -13
D. 169
Câu 6: Cho ΔABC vuông tại A có trung tuyến AM = AB. Khi đó tanB - 3tanC = ...
Câu 7: So sánh Q = √2017 - √2016 và P = √2016 - √2015 ta được:
A. Q > P
B. Không so sánh được
C. Q < P
D. Q = P
Câu 8: Trong các biểu thức sau, biểu thức nào xác định với ∀x ∈ R

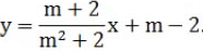
Câu 9:
Cho hàm số
Tìm m để hàm số là hàm số bậc nhất
A. m = -2
B. m ≠ -2
C. m < 2
D. m > 2
Câu 10: Tìm giá trị lớn nhất của E = √(3 - x) + x.
Trả lời: Giá trị lớn nhất của E là ...
Bài 3: Đừng để điểm rơi
Câu 1: Cho đường tròn (O; 10cm), dây AB = 16cm. Tính khoảng cách từ tâm O đến dây AB.
Trả lời: Khoảng cách từ tâm O tới dây AB là ...cm
Câu 2: Cho sin2α = 0,8. Tính cos2α = ...
(Nhập kết quả dưới dạng số thập phân gọn nhất)
Câu 3: Cho ΔABC vuông tại A, có sinB = 0,6. Vậy sinC = ...
Nhập kết quả dưới dạng số thập phân gọn nhất
Câu 4

Câu 5
Tính: 2cot570.cot330 + sin2110 -
+ sin2790 = ...
Câu 6
Tìm x biết: 
Trả lời: Giá trị của x là ...
Câu 7

Câu 8
Tìm m để đồ thị hàm số y = x cắt đồ thị hàm số y = mx + 3, tại điểm M (1; 1)
Trả lời: Giá trị của m là ...
Câu 9
Tìm giá trị lớn nhất của A = x2y, biết x. y dương và 2x + 2y = 4.
Trả lời: Giá trị lớn nhất của A là ...
Câu 10
Cho 00 ≤ α ≤ 900, có sinα.cosα = 1/4. Tính sin2α + cos4α = ...
Nhập kết quả dưới dạng phân số tối giản (.../...)
ĐÁP ÁN ĐỀ THI VIOLYMPIC TOÁN LỚP 9 VÒNG 11
Bài 1
Câu 1: 1
Câu 2: 65
Câu 3: -2
Câu 4: 18
Câu 5: 5
Bài 2
|
Câu 1: 15 Câu 2: 2 Câu 3: B Câu 4: B Câu 5: A |
Câu 6: 0 Câu 7: C Câu 8: C Câu 9: B Câu 10: 13/4 |
Bài 3
|
Câu 1: 6 Câu 2: 0,2 Câu 3: 0,8 Câu 4: 1 Câu 5: 0 |
Câu 6: 0 Câu 7: 0 Câu 8: -2 Câu 9: 2 Câu 10: 7/8 |