Bộ câu hỏi ôn thi đánh giá tư duy phần Toán học - Số 1
ĐGNL năm 2025
Lớp:
ĐGNL-ĐGTD
Môn:
Toán
Dạng tài liệu:
Đề thi
Loại:
Tài liệu Lẻ
Loại File:
Word + PDF
Phân loại:
Tài liệu Tính phí

Trang 1 | 33
Bộ câu hỏi ôn thi đánh giá tư duy phần Toán học
Câu 1:
PHẦN TƯ DUY TOÁN HỌC
Trong không gian Oxy, cho ba điểm A(−2; 0; 0), B(0; 3; 0) và C(0; 0; 4). Mặt phẳng (ABC) có
phương trình là
A. .
B. .
C. .
D. .
Lời giải:
Mặt phẳng có phương trình là .
Do đó ta chọn đáp án
A. .
B. .
Câu 2:
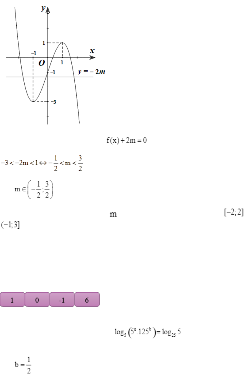
Cho hàm số có đồ thị như hình bên dưới. Tập hợp các giá trị của tham số m để hàm số
có 5 điểm cực trị là tập con của các tập hợp nào sau đây?

Trang 2 | 33
A. (−3; 1).
B. [0; 4).
C. [−2; 2].
D. (−1; 3].
Lời giải:
Từ đồ thị ta nhận thấy hàm số có 2 điểm cực trị.
Hàm số có 5 điểm cực trị khi và chỉ khi phương trình có 3
nghiệm phân biệt.
Số nghiệm của phương trình là số giao điểm của hai đồ thị , trong đó
hàm số có đồ thị là đường thẳng song song hoặc trùng với trục Ox.

Trang 3 | 33
Dựa vào đồ thị, ta thấy phương trình có 3 nghiệm phân biệt khi
.
Vậy thỏa mãn.
Suy ra tập hợp các giá trị của tham số thỏa mãn là tập con của các tập hợp và
.
Do đó đáp án đúng là
C. [−2; 2].
D. (−1; 3].
Câu 3:
Xét các số thực a, b thỏa mãn điều kiện . Kéo số ở các ô vuông thả vào vị
trí thích hợp trong các câu sau:
Nếu thì giá trị của số thực a bằng _______.
Đề ôn thi đánh giá tư duy phần Toán học
Bộ câu hỏi ôn thi đánh giá tư duy trường Đại học Bách Khoa phần Toán học - Số 1 có đáp án được VnDoc.com tổng hợp và xin gửi tới bạn đọc cùng tham khảo. Bài viết được tổng hợp gồm có 40 câu hỏi phần Toán. Đề có đáp án và lời giải chi tiết kèm theo. Mời các bạn cùng theo dõi bài viết dưới đây để có thêm tài liệu ôn thi đánh giá năng lực sắp tới nhé.