Bộ câu hỏi ôn thi đánh giá tư duy phần Toán học - Số 8
ĐGNL năm 2025
Lớp:
ĐGNL-ĐGTD
Môn:
Toán
Dạng tài liệu:
Đề thi
Loại:
Tài liệu Lẻ
Loại File:
Word + PDF
Phân loại:
Tài liệu Tính phí

Trang 1 | 44
Bộ câu hỏi ôn thi đánh giá tư duy phần Toán học
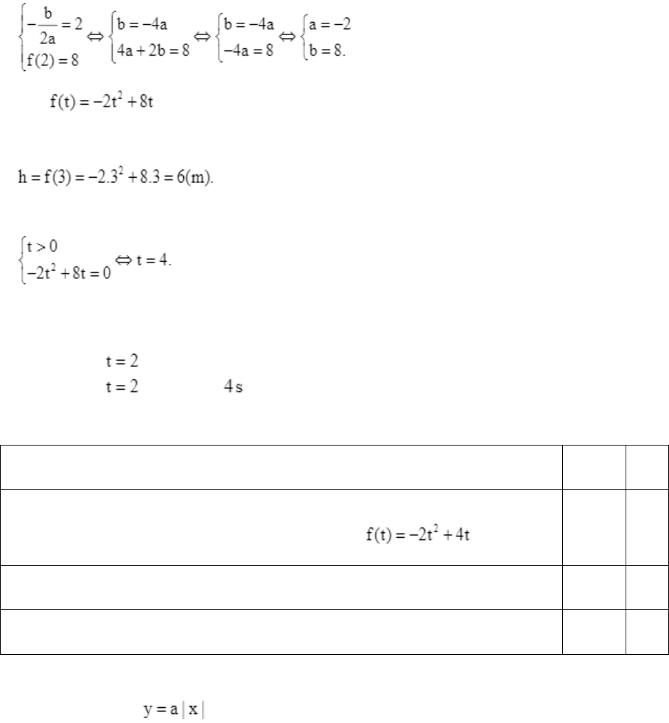
Câu 1:
Khi một quả bóng được đá lên, nó sẽ đạt đến độ cao nào đó rồi rơi xuống. Hình minh hoạ quỹ
đạo của quả bóng là một phần của cung parabol trong mặt phẳng toạ độ Oth, trong đó t là thời
gian (tính bằng giây) kể từ khi quả bóng được đá lên và h là độ cao (tính bằng mét) của quả
bóng. Giả thiết rằng quả bóng được đá từ mặt đất. Sau khoảng 2s, quả bóng lên đến vị trí cao
nhất là 8m.
Trong các khẳng định sau, khẳng định nào đúng, khẳng định nào sai?
ĐÚNG
SAI
Hàm số bậc hai biểu thị độ cao h theo thời gian t và có phần đồ thị trùng với quỹ
đạo của quả bóng trong tình huống này là .
¡
¡
Độ cao của quả bóng sau khi đá lên được 3s là 6m
¡
¡
Sau 4 giây thì quả bóng chạm đất kể từ khi đá lên
¡
¡
Lời giải:
a) Gọi hàm số bậc hai biểu thị độ cao theo thời gian là:
.
Theo giả thiết, quả bóng được đá lên từ mặt đất, nghĩa là , do đó .
Sau 2s, quả bóng lên đến vị trí cao nhất là 8m nên

Trang 2 | 44
Vậy .
b) Độ cao của quả bóng sau khi đá lên được 3s là:
c) Cách 1. Quả bóng chạm đất (trở lại) khi độ cao h = 0, tức là:
Vì thế sau 4s quả bóng sẽ chạm đất kể từ khi đá lên.
Cách 2. Quỹ đạo chuyển động của quả bóng là một phần của cung parabol có trục đối xứng là
đường thẳng . Điểm xuất phát và điểm quả bóng chạm đất (trở lại) đối xứng nhau qua
đường thẳng . Vì thế sau quả bóng sẽ chạm đất kể từ khi đá lên.
Do đó ta chọn đáp án như sau
ĐÚNG
SAI
Hàm số bậc hai biểu thị độ cao h theo thời gian t và có phần đồ thị trùng với quỹ
đạo của quả bóng trong tình huống này là .
¡
¤
Độ cao của quả bóng sau khi đá lên được 3s là 6m
¤
¡
Sau 4 giây thì quả bóng chạm đất kể từ khi đá lên
¤
¡
Câu 2:
Cho đồ thị hàm số

Trang 3 | 44
Khi đó giá trị của a là .
Lời giải:
Ta có: với x = 1 thì y = 2 Þ a = 2.
Do đó ta điền như sau
Cho đồ thị hàm số
Khi đó giá trị của a là .
Câu 3:
Kéo biểu thức ở các ô vuông thả vào vị trí thích hợp trong các câu sau:
Đề ôn thi đánh giá tư duy phần Toán học
Bộ câu hỏi ôn thi đánh giá tư duy trường Đại học Bách Khoa Hà Nội phần Toán học - Số 8 có đáp án là tài liệu hữu ích giúp bạn đọc có thể trau dồi, luyện tập nội dung kiến thức để chuẩn bị thật tốt cho kì thi đánh giá năng lực sắp tới nhé.
Bài viết được tổng hợp gồm có 40 câu hỏi phần Toán. Đề có đáp án và lời giải chi tiết kèm theo. Mời các bạn cùng theo dõi bài viết dưới đây.