Bộ câu hỏi ôn thi đánh giá tư duy phần Toán học - Số 2
ĐGNL năm 2025
Lớp:
ĐGNL-ĐGTD
Môn:
Toán
Dạng tài liệu:
Đề thi
Loại:
Tài liệu Lẻ
Loại File:
Word + PDF
Phân loại:
Tài liệu Tính phí

Trang 1 | 44
Bộ câu hỏi ôn thi đánh giá tư duy phần Toán học
Câu 1:
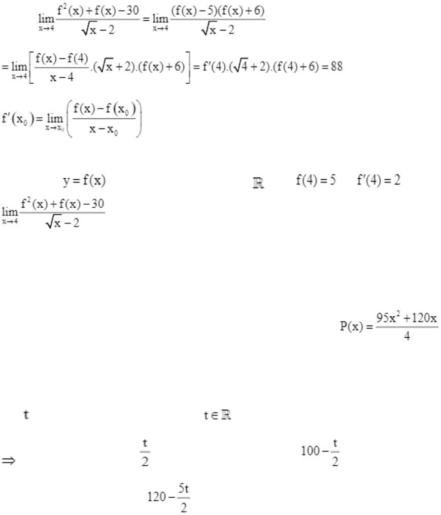
Cho hàm số xác định và có đạo hàm trên , biết và . Giới hạn bằng (1) _________.
Lời giải:
Ta có:
(vì
Do đó ta điền như sau
Cho hàm số xác định và có đạo hàm trên , biết và . Giới hạn
bằng (1) 88.
Câu 2:
Theo thống kê tại một nhà máy Z, nếu áp dụng tuần làm việc 40 giờ thì mỗi tuần có 100 công
nhân đi làm và mỗi công nhân làm được 120 sản phẩm trong một giờ. Nếu tăng thời gian làm
việc thêm 2 giờ mỗi tuần thì sẽ có 1 công nhân nghỉ việc và năng suất lao động giảm 5 sản
phẩm/1 công nhân/1 giờ. Ngoài ra, số phế phẩm mỗi tuần ước tính là ,
với x là thời gian làm việc trong một tuần. Nhà máy cần áp dụng thời gian làm việc mỗi tuần (1)
_______ giờ để số lượng sản phẩm thu được mỗi tuần là lớn nhất.
Lời giải:
Gọi là số giờ làm tăng thêm mỗi tuần, .
số công nhân bỏ việc là nên số công nhân làm việc là người.
Năng suất của công nhân còn sản phẩm một giờ.

Trang 2 | 44
Số thời gian làm việc một tuần là giờ.
Để nhà máy hoạt động được thì
Số sản phẩm trong một tuần làm được: .
Số sản phẩm thu được là
Ta có bảng biến thiên như sau
Vậy số lượng sản phẩm thu được mỗi tuần lớn nhất khi x = 36.
Do đó ta điền như sau
Theo thống kê tại một nhà máy Z, nếu áp dụng tuần làm việc 40 giờ thì mỗi tuần có 100 công
nhân đi làm và mỗi công nhân làm được 120 sản phẩm trong một giờ. Nếu tăng thời gian làm
việc thêm 2 giờ mỗi tuần thì sẽ có 1 công nhân nghỉ việc và năng suất lao động giảm 5 sản

Trang 3 | 44
phẩm/1 công nhân/1 giờ. Ngoài ra, số phế phẩm mỗi tuần ước tính là ,
với x là thời gian làm việc trong một tuần. Nhà máy cần áp dụng thời gian làm việc mỗi tuần
(1) 36 giờ để số lượng sản phẩm thu được mỗi tuần là lớn nhất.
Câu 3:
Trong không gian Oxyz, cho ba điểm và mặt phẳng
. Gọi là mặt cầu đi qua ba điểm A, B, C và có tâm thuộc mặt phẳng
Kéo số ở các ô vuông thả vào vị trí thích hợp trong các câu sau:
Bán kính mặt cầu (S) bằng _______.
Tâm mặt cầu (S) có tung độ bằng _______; cao độ bằng _______.
Lời giải:
Gọi là tâm mặt cầu đi qua 3 điểm A, B, C.
Ta có:
Vì nên ta có hệ phương trình:
Bán kính của mặt cầu là
Đề ôn thi đánh giá tư duy phần Toán học
Bộ câu hỏi ôn thi đánh giá tư duy trường Đại học Bách Khoa phần Toán học - Số 2 có đáp án kèm theo là tài liệu hữu ích giúp bạn đọc có thể trau dồi, luyện tập nội dung kiến thức để chuẩn bị thật tốt cho kì thi đánh giá năng lực sắp tới nhé.
Bài viết được tổng hợp gồm có 40 câu hỏi phần Toán học. Đề có đáp án và lời giải chi tiết kèm theo. Mời các bạn cùng theo dõi bài viết dưới đây