Đề ôn thi đánh giá tư duy Đại học Bách Khoa Hà Nội 2025 - Đề 12
ĐGTD năm 2025
Lớp:
ĐGNL-ĐGTD
Dạng tài liệu:
Đề thi
Loại:
Tài liệu Lẻ
Loại File:
Word + PDF
Phân loại:
Tài liệu Tính phí

Trang 1 | 86
Đề thi Đánh giá tư duy Đại học Bách khoa Hà Nội có đáp án
(Đề 12)
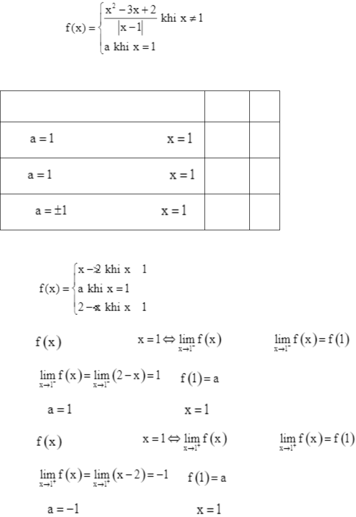
Câu 1:
Cho hàm số .
Mỗi phát biểu sau đây là đúng hay sai?
Phát biểu
ĐÚNG
SAI
Với hàm số liên tục trái tại .
Với hàm số liên tục phải tại .
Với hàm số liên tục tại .
Lời giải:
Ta có:
a) Để liên tục trái tại tồn tại và .
Ta có: và .
Vậy với hàm số liên tục trái tại .
b) Để liên tục phải tại tồn tại và .
Ta có: và .
Vậy với hàm số liên tục phải tại .

Trang 2 | 86
c) Do nên hàm số không liên tục tại .
Do đó ta chọn đáp án như sau
Phát biểu
ĐÚNG
SAI
Với hàm số liên tục trái tại .
¤
¡
Với hàm số liên tục phải tại .
¡
¤
Với hàm số liên tục tại .
¡
¤
Câu 2:
Điền các số nguyên dương thích hợp vào những chỗ trống.
Cho bảng ô vuông sau:
Số hình chữ nhật có trên hình là: (1) _________.
Số hình vuông có trên hình là: (2) _________.
Lời giải:
Cứ hai đường kẻ ngang phân biệt và 2 đường kẻ dọc phân biệt cho ta một hình chữ nhật.
Vậy số hình chữ nhật là: .
Số hình vuông là: .
Do đó ta điền đáp án như sau
Số hình chữ nhật có trên hình là: (1) 540.
Số hình vuông có trên hình là: (2) 100.

Trang 3 | 86
Câu 3:
Cho hàm số . Biết là giá trị để hàm số liên tục tại ,
khi đó số nghiệm nguyên của bất phương trình là (1) _____.
Lời giải:
Ta có:
Đặt .
Hàm số liên tục tại .
Để tồn tại thì .
Với thì .
Bất phương trình trở thành: .
Vì nguyên nên . Vậy bất phương trình có 5 nghiệm nguyên.
Do đó ta điền đáp án như sau
Cho hàm số . Biết là giá trị để hàm số liên tục tại ,
khi đó số nghiệm nguyên của bất phương trình là (1) 5.
Câu 4:
Đề thi đánh giá tư duy Đại học Bách Khoa Hà Nội 2025
Đề ôn thi đánh giá tư duy Đại học Bách Khoa Hà Nội 2025 - Đề 12 là tài liệu hữu ích giúp bạn đọc có thể trau dồi, luyện tập nội dung kiến thức để chuẩn bị cho kì thi đánh giá năng lực, đánh giá tư duy sắp tới nhé.
Đề thi được tổng hợp có 100 câu hỏi gồm 40 câu hỏi tư duy toán học, 20 câu hỏi tư duy đọc hiểu và 40 câu hỏi tư duy khoa học/giải quyết vấn đề. Thí sinh làm đề trong thời gian 150 phút. Đề có đáp án và lời giải chi tiết kèm theo. Mời các bạn cùng theo dõi đề thi dưới đây.