Đề ôn thi đánh giá tư duy Đại học Bách Khoa Hà Nội 2025 - Đề 9
ĐGTD năm 2025
Lớp:
ĐGNL-ĐGTD
Dạng tài liệu:
Đề thi
Loại:
Tài liệu Lẻ
Loại File:
Word + PDF
Phân loại:
Tài liệu Tính phí

Trang 1 | 76
Đề thi Đánh giá tư duy Đại học Bách khoa Hà Nội có đáp án
(Đề 9)
Câu 1:
PHẦN TƯ DUY TOÁN HỌC
Trong các khẳng định sau, khẳng định nào đúng, khẳng định nào sai?
ĐÚNG
SAI
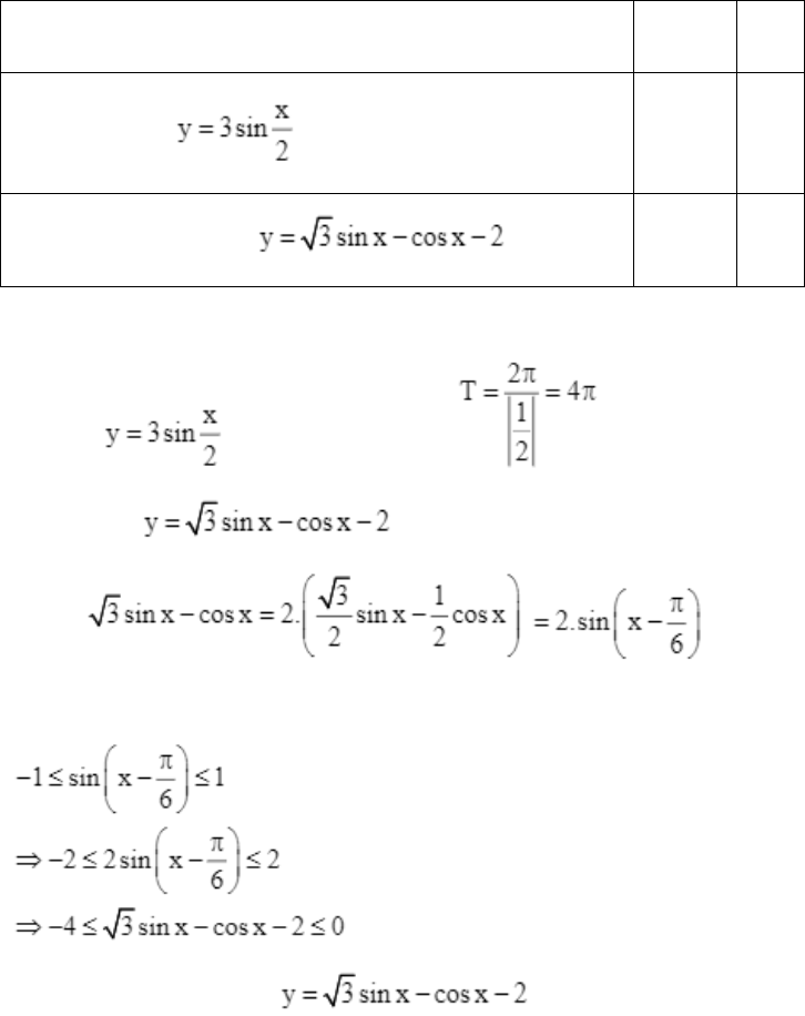
Hàm số tuần hoàn với chu kì π.
Tập giá trị của hàm số là [−4; 0].
Lời giải:
Hàm số tuần hoàn với chu kì .
Xét hàm số
Ta có:
Ta có:
Þ Tập giá trị của hàm số là [−4; 0].
Do đó ta chọn đáp án như sau

Trang 2 | 76
ĐÚNG
SAI
Hàm số tuần hoàn với chu kì π.
¡
¤
Tập giá trị của hàm số là [−4; 0].
¤
¡
Câu 2:
Cho dãy số un xác định bởi: .
Các khẳng định sau là đúng hay sai?
ĐÚNG
SAI
un lập thành cấp số nhân.
¡
¡
Số hạng tổng quát của dãy là 2n+1 − 3
¡
¡
Lời giải:
u1 = 1
u2 = 2.1 + 3 = 5 = 23 − 3
u3 = 2.5 + 3 = 13 = 24 − 3
u4 = 2.13 + 3 = 29 = 25 − 3
...
un = 2n+1 – 3.
Do đó ta chọn đáp án như sau
ĐÚNG
SAI
un lập thành cấp số nhân.
¡
¤
Số hạng tổng quát của dãy là 2n+1 − 3
¤
¡
Câu 3:

Trang 3 | 76
Một chiếc guồng nước có dạng hình tròn bán kính 2,5m; trục của nó đặt cách mặt nước 2m. Khi
guồng quay đều, khoảng cách h (mét) từ một chiếc gầu gắn tại điểm A của guồng đến mặt nước
được tính theo công thức h = |y|, trong đó
với t (phút) là thời gian quay của guồng. Ta quy ước y > 0 khi gầu ở trên mặt nước và y < 0 khi
gầu ở dưới nước.
Điền số thích hợp vào ô trống:
Sau khi guồng nước bắt đầu quay, thời điểm đầu tiên chiếc gầu ở vị trí thấp nhất là _______
phút.
Lời giải:
Chiếc gầu ở vị trí thấp nhất khi
.
Vậy chiếc gầu ở vị trí thấp nhất tại các thời điểm 0 phút, 1 phút, 2 phút, …
Do đó ta điền như sau
Sau khi guồng nước bắt đầu quay, thời điểm đầu tiên chiếc gầu ở vị trí thấp nhất là 1 phút.
Câu 4:
Khi một vận động viên nhảy dù nhảy ra khỏi máy bay, giả sử quãng đường người ấy rơi tự do
(tính theo feet) trong mỗi giây liên tiếp theo thứ tự trước khi bung dù lần lượt là: 16;
48; 80; 112; 144;…(các quãng đường này tạo thành cấp số cộng).
Khẳng định nào đúng, khẳng định nào sai?
ĐÚNG
SAI
Công sai của cấp số cộng trên là d = 30
¡
¡
Đề thi đánh giá tư duy Đại học Bách Khoa Hà Nội 2025
Đề ôn thi đánh giá tư duy Đại học Bách Khoa Hà Nội 2025 - Đề 9 có đáp án là tài liệu hữu ích giúp bạn đọc có thể trau dồi, luyện tập nội dung kiến thức để chuẩn bị thật tốt cho kì thi đánh giá năng lực, đánh giá tư duy sắp tới.
Đề thi được tổng hợp có 100 câu hỏi gồm 40 câu hỏi tư duy toán học, 20 câu hỏi tư duy đọc hiểu và 40 câu hỏi tư duy khoa học/giải quyết vấn đề. Thí sinh làm đề trong thời gian 150 phút. Đề có đáp án và lời giải chi tiết kèm theo. Mời các bạn cùng theo dõi đề thi dưới đây.