Đề ôn thi đánh giá tư duy Đại học Bách Khoa Hà Nội 2025 - Đề 8
ĐGTD năm 2025
Lớp:
ĐGNL-ĐGTD
Dạng tài liệu:
Đề thi
Loại:
Tài liệu Lẻ
Loại File:
Word + PDF
Phân loại:
Tài liệu Tính phí

Trang 1 | 83
Đề thi Đánh giá tư duy Đại học Bách khoa Hà Nội có đáp án
(Đề 8)
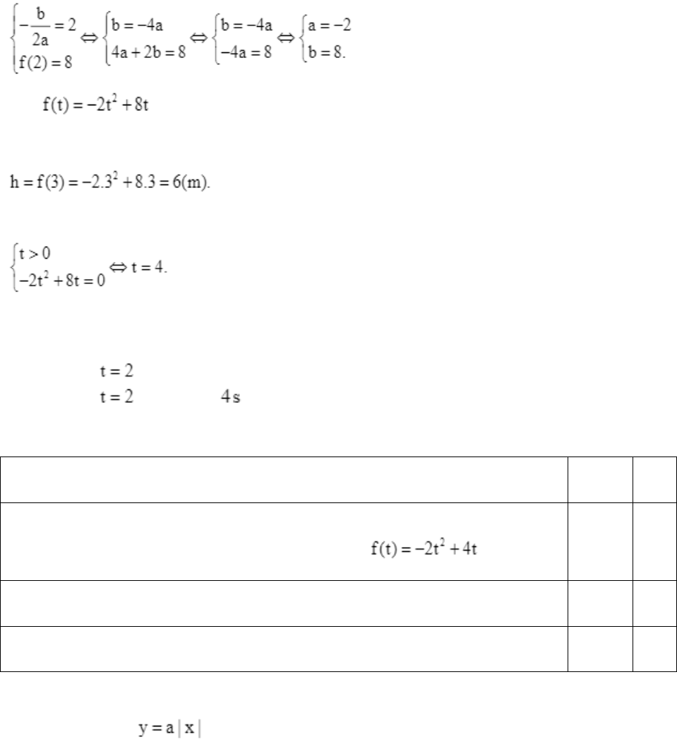
Câu 1:
Khi một quả bóng được đá lên, nó sẽ đạt đến độ cao nào đó rồi rơi xuống. Hình minh hoạ quỹ
đạo của quả bóng là một phần của cung parabol trong mặt phẳng toạ độ Oth, trong đó t là thời
gian (tính bằng giây) kể từ khi quả bóng được đá lên và h là độ cao (tính bằng mét) của quả
bóng. Giả thiết rằng quả bóng được đá từ mặt đất. Sau khoảng 2s, quả bóng lên đến vị trí cao
nhất là 8m.
Trong các khẳng định sau, khẳng định nào đúng, khẳng định nào sai?
ĐÚNG
SAI
Hàm số bậc hai biểu thị độ cao h theo thời gian t và có phần đồ thị trùng với quỹ
đạo của quả bóng trong tình huống này là .
¡
¡
Độ cao của quả bóng sau khi đá lên được 3s là 6m
¡
¡
Sau 4 giây thì quả bóng chạm đất kể từ khi đá lên
¡
¡
Lời giải:
a) Gọi hàm số bậc hai biểu thị độ cao theo thời gian là:
.
Theo giả thiết, quả bóng được đá lên từ mặt đất, nghĩa là , do đó .

Trang 2 | 83
Sau 2s, quả bóng lên đến vị trí cao nhất là 8m nên
Vậy .
b) Độ cao của quả bóng sau khi đá lên được 3s là:
c) Cách 1. Quả bóng chạm đất (trở lại) khi độ cao h = 0, tức là:
Vì thế sau 4s quả bóng sẽ chạm đất kể từ khi đá lên.
Cách 2. Quỹ đạo chuyển động của quả bóng là một phần của cung parabol có trục đối xứng là
đường thẳng . Điểm xuất phát và điểm quả bóng chạm đất (trở lại) đối xứng nhau qua
đường thẳng . Vì thế sau quả bóng sẽ chạm đất kể từ khi đá lên.
Do đó ta chọn đáp án như sau
ĐÚNG
SAI
Hàm số bậc hai biểu thị độ cao h theo thời gian t và có phần đồ thị trùng với quỹ
đạo của quả bóng trong tình huống này là .
¡
¤
Độ cao của quả bóng sau khi đá lên được 3s là 6m
¤
¡
Sau 4 giây thì quả bóng chạm đất kể từ khi đá lên
¤
¡
Câu 2:
Cho đồ thị hàm số

Trang 3 | 83
Khi đó giá trị của a là .
Lời giải:
Ta có: với x = 1 thì y = 2 Þ a = 2.
Do đó ta điền như sau
Cho đồ thị hàm số
Khi đó giá trị của a là .
Câu 3:
Kéo biểu thức ở các ô vuông thả vào vị trí thích hợp trong các câu sau:
Đề thi đánh giá tư duy Đại học Bách Khoa Hà Nội 2025
Đề ôn thi đánh giá tư duy Đại học Bách Khoa Hà Nội 2025 - Đề 8 được VnDoc.com tổng hợp và xin gửi tới bạn đọc cùng tham khảo. Đề thi được tổng hợp có 100 câu hỏi gồm 40 câu hỏi tư duy toán học, 20 câu hỏi tư duy đọc hiểu và 40 câu hỏi tư duy khoa học/giải quyết vấn đề. Thí sinh làm đề trong thời gian 150 phút. Đề có đáp án và lời giải chi tiết kèm theo. Mời các bạn cùng theo dõi đề thi dưới đây để có thêm tài liệu ôn thi đánh giá năng lực, đánh giá tư duy nhé.