Bộ câu hỏi ôn thi đánh giá tư duy phần Toán học - Số 14
ĐGNL năm 2025
Lớp:
ĐGNL-ĐGTD
Môn:
Toán
Dạng tài liệu:
Đề thi
Loại:
Tài liệu Lẻ
Loại File:
Word + PDF
Phân loại:
Tài liệu Tính phí

Trang 1 | 38
Bộ câu hỏi ôn thi đánh giá tư duy phần Toán học
Câu 1:
Cho hàm số và xác định và có đạo hàm trên các khoảng và .
Trong các khẳng định sau, khẳng định nào đúng, khẳng định nào sai?
Phát biểu
ĐÚNG
SAI
Nếu hàm số đồng biến trên khoảng thì hàm số đồng biến
trên khoảng
¡
¡
Nếu hàm số đồng biến trên khoảng và hàm số nghịch
biến trên khảng thì hàm số đồng biến trên khoảng
¡
¡
Lời giải:
Nếu hàm số đồng biến trên khoảng thì hàm số không đồng biến trên khoảng
.
Nếu hàm số đồng biến trên khoảng và hàm số nghịch biến trên
khảng thì hàm số đồng biến trên khoảng là đúng.
Do đó ta chọn đáp án như sau
Phát biểu
ĐÚNG
SAI
Nếu hàm số đồng biến trên khoảng thì hàm số đồng biến
trên khoảng
¡
¤

Trang 2 | 38
Nếu hàm số đồng biến trên khoảng và hàm số nghịch
biến trên khảng thì hàm số đồng biến trên khoảng
¤
¡
Câu 2:
Cho .
Tính .
Đáp án: _______
Lời giải:
.
Do đó ta điền như sau
Đáp án: −3.
Câu 3:
Bạn A có 4 lego và 3 hộp bút để trang trí bàn học. Bạn A muốn xếp chúng thành 1 hàng ngang
thẳng hàng sao cho lego và hộp bút xen kẽ nhau.
Hỏi bạn A có bao nhiêu cách xếp?
Lời giải:
Số cách xếp là 3!.4! = 144 cách xếp.
Do đó ta điền như sau
Đáp án: 144.
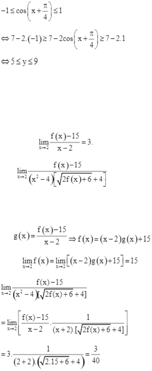
Câu 4:
Cho hàm số .
Giá trị lớn nhất của hàm số là _______.
Lời giải:

Trang 3 | 38
Ta có:
Vậy giá trị lớn nhất của hàm số là 9, giá trị nhỏ nhất của hàm số là 5.
Do đó ta điền đáp án như sau
Giá trị lớn nhất của hàm số là 9.
Câu 5:
Cho hàm số
Tính .
Đáp án: _______
Lời giải:
Đặt .
Suy ra .
Do đó ta điền đáp án như sau
Đề ôn thi đánh giá tư duy phần Toán học
Bộ câu hỏi ôn thi đánh giá tư duy trường Đại học Bách Khoa Hà Nội phần Toán học - Số 14 có đáp án là tài liệu hữu ích giúp bạn đọc có thể trau dồi, luyện tập nội dung kiến thức để chuẩn bị thật tốt cho kì thi đánh giá năng lực sắp tới nhé. Bài viết được tổng hợp gồm có 40 câu hỏi phần Toán. Đề có đáp án và lời giải chi tiết kèm theo. Mời các bạn cùng theo dõi bài viết dưới đây.