Bộ câu hỏi ôn thi đánh giá tư duy phần Toán học - Số 3
ĐGNL năm 2025
Lớp:
ĐGNL-ĐGTD
Môn:
Toán
Dạng tài liệu:
Đề thi
Loại:
Tài liệu Lẻ
Loại File:
Word + PDF
Phân loại:
Tài liệu Tính phí

Trang 1 | 35
Bộ câu hỏi ôn thi đánh giá tư duy phần Toán học
Câu 1:
PHẦN TƯ DUY TOÁN HỌC
Gi z là s phc ngho ca .
a z là .
Lời giải:
S phc ngho z ca là 3 + 4i.
c ∣ 3 + 4i∣ = 5.
Do đó ta điền như sau
Gi z là s phc ngho ca .
a z là 5 .
Câu 2:
Giá ca mt chic xe ô tô lúc mua mi là 600 tric tính, sau m dng,
giá ca chic xe ô tô gim 42 tring.
Mỗi khẳng định sau đúng hay sai?
Đúng
Sai
c xe gim u.
¡
¡
a chic xe còn 516 triu.
¡
¡
Lời giải:
a chi 474 triu.
2) giá ca chic xe gim: 42.8 = 336 triu.
Giá ca chic xe giu.
Do đó ta có đáp án như sau

Trang 2 | 35
Giá ca mt chic xe ô tô lúc mua mi là 600 tric tính, sau m dng,
giá ca chic xe ô tô gim 42 tring.
Mỗi khẳng định sau đúng hay sai?
Đúng
Sai
c xe gii giá u.
¤
¡
a chic xe còn 516 triu.
¡
¤
Câu 3:
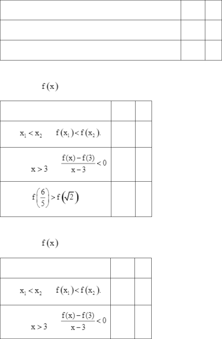
Bit hàm s nghch bin trên khong
Đúng
Sai
Nu thì
¡
¡
Vi mi thì
¡
¡
.
¡
¡
Lời giải:
Bit hàm s nghch bin trên khong
Đúng
Sai
Nu thì
¡
¤
Vi mi thì
¤
¡

Trang 3 | 35
.
¤
¡
Câu 4:
Trong không gian, cho tam giác ABC vuông ti BC = 6 và AB = 8. Quay tam
giác ABC xung quanh trc AB to thành mt hình nón:
Kéo biểu thức ở các ô vuông thả vào vị trí thích hợp trong các câu sau:
Dic to ra bng .
Din tích toàn phn cc to ra bng .
Lời giải:
ng sinh ca hình nón là: ;
Đề ôn thi đánh giá tư duy phần Toán học
VnDoc.com xin gửi tới bạn đọc bài viết Bộ câu hỏi ôn thi đánh giá tư duy trường Đại học Bách Khoa phần Toán học - Số 3 để bạn đọc cùng tham khảo. Bài viết được tổng hợp gồm có 40 câu hỏi phần Toán. Đề có đáp án và lời giải chi tiết kèm theo. Mời các bạn cùng theo dõi bài viết dưới đây để có thêm tài liệu ôn thi đánh giá năng lực sắp tới nhé.