Bộ câu hỏi ôn thi đánh giá tư duy phần Toán học - Số 15
ĐGNL năm 2025
Lớp:
ĐGNL-ĐGTD
Môn:
Toán
Dạng tài liệu:
Đề thi
Loại:
Tài liệu Lẻ
Loại File:
Word + PDF
Phân loại:
Tài liệu Tính phí

Trang 1 | 44
Bộ câu hỏi ôn thi đánh giá tư duy phần Toán học
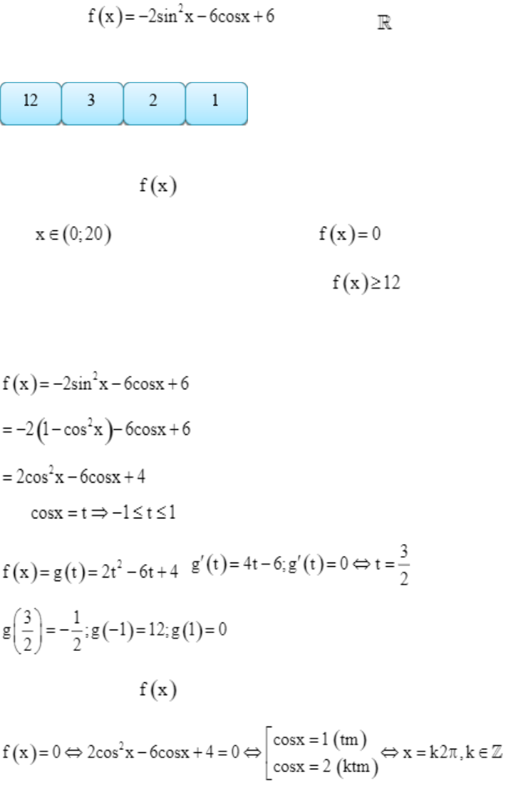
Câu 1:
Cho hàm số xác định trên .
Kéo số ở các ô vuông thả vào vị trí thích hợp trong các câu sau:
Giá trị lớn nhất của là _______.
Cho , số nghiệm của phương trình là: _______.
Số điểm biểu diễn nghiệm của bất phương trình trên đường tròn lượng giác là
_______.
Lời giải:
Đặt
; .
.
Giá trị lớn nhất của là 12.

Trang 2 | 44
Ta có
mà nên .
Số nghiệm của phương trình là 3.
Mà .
Số điểm biểu diễn nghiệm của bất phương trình trên đường tròn lượng giác là 1 .
Do đó ta điền như sau
Giá trị lớn nhất của là 12.
Cho , số nghiệm của phương trình là: 3 .
Số điểm biểu diễn nghiệm của bất phương trình trên đường tròn lượng giác là 1 .
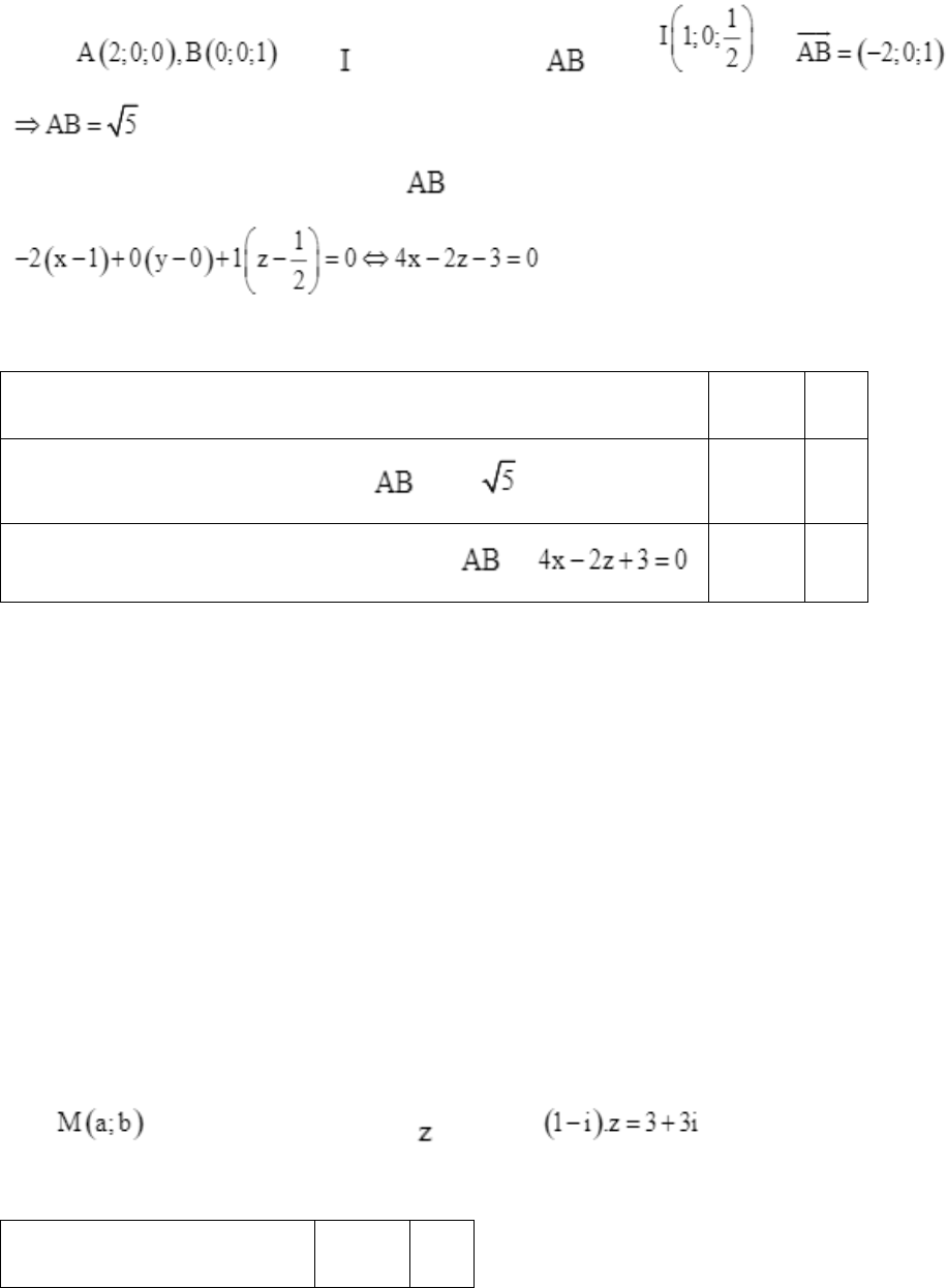
Câu 2:
Trong không gian , cho điểm . Gọi lần lượt là hình chiếu vuông góc của
trên trục và trên mặt phẳng .
Trong các khẳng định sau, khẳng định nào đúng, khẳng định nào sai?
ĐÚNG
SAI
Độ dài đoạn thẳng bằng .
¡
¡
Phương trình mặt phẳng trung trực của đoạn là .
¡
¡

Trang 3 | 44
Lời giải:
Ta có . Gọi là trung điểm của , ta có và .
.
Phương trình mặt phẳng trung trực của là
.
Do đó ta chọn đáp án như sau
ĐÚNG
SAI
Độ dài đoạn thẳng bằng .
¤
¡
Phương trình mặt phẳng trung trực của đoạn là .
¡
¤
Câu 3:
Người ta muốn trang trí Tết bằng cách xếp xen kẽ 3 cây quất và 2 cây đào sao cho không có cây
nào cùng loại xếp cạnh nhau.
Số cách xếp là _______.
Lời giải:
Số cách xếp là 3!.2! = 12 cách xếp.
Do đó ta điền như sau
Người ta muốn trang trí Tết bằng cách xếp xen kẽ 3 cây quất và 2 cây đào sao cho không có cây
nào cùng loại xếp cạnh nhau.
Số cách xếp là 12.
Câu 4:
Gọi là điểm biểu diễn số phức thỏa mãn .
Trong các khẳng định sau, khẳng định nào đúng, khẳng định nào sai?
ĐÚNG
SAI
Đề ôn thi đánh giá tư duy phần Toán học
VnDoc.com xin gửi tới bạn đọc bài viết Bộ câu hỏi ôn thi đánh giá tư duy trường Đại học Bách Khoa phần Toán học - Số 15 có đáp án kèm theo để bạn đọc cùng tham khảo và có thêm tài liệu ôn thi kì thi đánh giá năng lực sắp tới nhé. Bài viết được tổng hợp gồm có 40 câu hỏi trắc nghiệm phần Toán. Đề có đáp án và lời giải chi tiết kèm theo. Mời các bạn cùng theo dõi bài viết.