Tìm khẳng định sai
Giả sử
và
là hai biến cố ngẫu nhiên thỏa mãn
và
. Khẳng định nào dưới đây sai?
Giả sử và
là hai biến cố ngẫu nhiên thỏa mãn
và
.
Khi đó, công thức Bayes:
Hay còn có thể viết dưới dạng: .
Cùng nhau thử sức với bài kiểm tra 15 phút Toán 12 Chân trời sáng tạo Chương 6 Xác suất có điều kiện nhé!
Điểm khả dụng: 0 điểm
Bạn sẽ dùng 50 điểm để đổi lấy 1 lượt làm bài.
Bạn không đủ điểm để đổi.
Tìm khẳng định sai
Giả sử
và
là hai biến cố ngẫu nhiên thỏa mãn
và
. Khẳng định nào dưới đây sai?
Giả sử và
là hai biến cố ngẫu nhiên thỏa mãn
và
.
Khi đó, công thức Bayes:
Hay còn có thể viết dưới dạng: .
Tính P(A)
Cho hai biến cố
thỏa mãn
. Khi đó,
bằng
Ta có: .
Theo công thức xác suất toàn phần, ta có:
.
Chọn kết luận đúng
Cho
và
là hai biến cố, trong đó
. Khi đó
Ta có : .
Tính xác suất thắng thầu
Một công ty xây dựng đấu thầu 2 dự án độc lập. Khả năng thắng thầu của các dự án 1 là
và dự án 2 là
. Biết công ty thắng thầu dự án 1, tìm xác suất công ty thắng thầu dự án 2?
Gọi A là biến cố ”Thắng thầu dự án 1″
Gọi B là biến cố “Thắng thầu dự án 2″
Theo đề bài ta có: với 2 biến cố A; B độc lập.
Gọi E là biến cố “thắng thầu dự án 2 biết không thắng thầu dự án 1” do A; B là hai biến cố độc lập nên:
.
Tính xác suất lấy được viên bi đánh số
Một hộp có 80 viên bi, trong đó có 50 viên bi màu đỏ và 30 viên bi màu vàng; các viên bi có kích thước và khối lượng như nhau. Sau khi kiểm tra, người ta thấy có 60% số viên bi màu đỏ đánh số và 50% số viên bi màu vàng có đánh số, những viên bi còn lại không đánh số. Lấy ra ngẫu nhiên một viên bi trong hộp. Xác suất để viên bi được lấy ra có đánh số bằng
Gọi là biến cố “viên bi được lấy ra có đánh số”.
Gọi là biến cố “viên bi được lấy ra có màu đỏ”, suy ra
là biến cố “viên bi được lấy ra có màu vàng”.
Lúc này ta đi tính theo công thức:
.
Ta có:.
.
.
.
Vậy .
Tính xác suất của biến cố
Gieo lần lượt hai con xúc xắc cân đối và đồng chất. Tính xác suất để tổng số chấm xuất hiện trên hai con xúc xắc bằng 6. Biết rằng con xúc xắc thứ nhất xuất hiện mặt 4 chấm.
Gọi A là biến cố “con xúc xắc thứ nhất xuất hiện mặt 4 chấm”.
Gọi B là biến cố “Tổng số chấm xuất hiện trên 2 con xúc xắc bằng 6”.
Khi con xúc xắc thứ nhất đã xuất hiện mặt 4 chấm thì thì lần thứ hai xuất hiện 2 chấm thì tổng hai lần xuất hiện là 6 chấm thì .
Tính xác suất theo yêu cầu
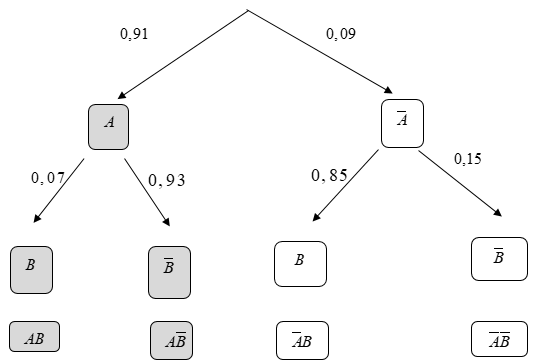
Giả sử trong một nhóm người có
người là không nhiễm bệnh. Để phát hiện ra người nhiễm bệnh, người ta tiến hành xét nghiệm tất cả mọi người của nhóm đó. Biết rằng đối với người nhiễm bệnh thì xác suất xét nghiệm có kết quả dương tính là
, nhưng đối với người không nhiễm bệnh thì xác suất xét nghiệm có phản ứng dương tính là
. Tính xác suất để người được chọn ra không nhiễm bệnh và không có phản ứng dương tính.
Cách 1: Sơ đồ hình cây
Gọi : “Người được chọn ra không nhiễm bệnh”.
Và : “Người được chọn ra có phản ứng dương tính”
Theo bài ta có:
Do đó:
Ta có sơ đồ hình cây như sau:

Vậy: .
Cách 2: Sử dụng công thức
Chọn đáp án đúng
Cho hai biến cố
và
là hai biến cố độc lập, với
. Tính
?
Hai biến cố và
là hai biến cố độc lập nên
.
Ghi đáp án đúng vào ô trống
Một địa phương có tỉ lệ người dân nghiện thuốc lá là
. Biết rằng tỉ lệ người bị viêm họng trong số người nghiện thuốc lá là
, còn tỉ lệ đó trong số người không nghiện thuốc lá là
. Chọn ngẫu nhiên một người bị viêm họng từ địa phương trên. Tính xác suất để người đó nghiện thuốc lá, kết quả làm tròn đến hàng phần trăm
Đáp án: 0,39||0.39
Một địa phương có tỉ lệ người dân nghiện thuốc lá là
. Biết rằng tỉ lệ người bị viêm họng trong số người nghiện thuốc lá là
, còn tỉ lệ đó trong số người không nghiện thuốc lá là
. Chọn ngẫu nhiên một người bị viêm họng từ địa phương trên. Tính xác suất để người đó nghiện thuốc lá, kết quả làm tròn đến hàng phần trăm
Đáp án: 0,39||0.39
Đặt
Biến cố : "người dân nghiện thuốc lá"
Biến cố B : "người dân bị viêm họng"
Khi đó:
Trước tiên ta tính xác suất người này viêm họng
.
Xác suất để người nghiện thuốc lá nếu bị viêm họng là
.
Tính xác suất của biến cố A
Cho
,
là hai biến cố. Biết
. Nếu
không xảy ra thì thỉ lệ
xảy ra là
. Nếu
xảy ra thì tỉ lệ
xảy ra
. Xác suất của biến cố
là bao nhiêu?
Ta có:
.
Vì xảy ra thì tỉ lệ
sảy ra
nên
.
Tương tự ta cũng có .
Theo công thức xác suất toàn phần ta có:
.
Tính P(A|B)
Cho
;
;
. Khi đó
bằng
Theo công thức Bayes, ta có:
.
Chọn phương án thích hợp
Kết quả khảo sát tại một xã cho thấy có
cư dân hút thuốc lá. Tỉ lệ cư dân thường xuyên gặp các vấn đề sức khoẻ về đường hô hấp trong số những người hút thuốc lá và không hút thuốc lá lần lượt là
và
. Nếu ta gặp một cư dân của xã thường xuyên gặp các vấn đề sức khoẻ về đường hô hấp thì xác suất người đó có hút thuốc lá là bao nhiêu?
Giả sử ta gặp một cư dân của xã, gọi là biến cố "Người đó có hút thuốc lá" và
là biến cố "Người đó thường xuyên gặp các vấn đề sức khoẻ về đường hô hấp". Ta có sơ đồ hình cây sau:

Ta có
.
Theo công thức Bayes, ta có:
.
Vậy nếu ta gặp một cư dân của xã thường xuyên gặp các vấn đề sức khoẻ về đường hô hấp thì xác suất người đó có hút thuốc lá là .
Chọn kết quả đúng
Một học sinh làm 2 bài tập kế tiếp. Xác suất làm đúng bài thứ nhất là
. Nếu làm đúng bài thứ nhất thì khả năng làm đúng bài thứ hai là
. Nhưng nếu làm sai bài thứ nhất thì khả năng làm đúng bài thứ hai là
. Tính xác suất học sinh đó làm đúng cả hai bài?
Gọi A: “Làm đúng bài thứ nhất”.
Và B: “Làm đúng bài thứ hai”
Khi đó biến cố: “làm đúng cả hai bài” là
Theo bài ta có:
Do đó:
Ta có sơ đồ hình cây như sau:
Vậy
Xét tính đúng sai của các phương án
Trong một cửa hàng có 18 bóng đèn loại I và 2 bóng đèn loại II, các bóng đèn có hình dạng và kích thước như nhau. Một một người mua hàng lấy ngẫu nhiên lần lượt 2 bóng đèn (lấy không hoàn lại) trong cửa hàng.
a) Xác suất để lần thứ nhất lấy được bóng đèn loại II là
. Sai||Đúng
b) Xác suất để lần thứ hai lấy được bóng đèn loại II, biết lần thứ nhất lấy được bóng đèn loại II là
. Đúng||Sai
c) Xác suất để cả hai lần đều lấy được bóng đèn loại II là
. Sai||Đúng
d) Xác suất để ít nhất 1 lần lấy được bóng đèn loại I là
. Đúng||Sai
Trong một cửa hàng có 18 bóng đèn loại I và 2 bóng đèn loại II, các bóng đèn có hình dạng và kích thước như nhau. Một một người mua hàng lấy ngẫu nhiên lần lượt 2 bóng đèn (lấy không hoàn lại) trong cửa hàng.
a) Xác suất để lần thứ nhất lấy được bóng đèn loại II là
. Sai||Đúng
b) Xác suất để lần thứ hai lấy được bóng đèn loại II, biết lần thứ nhất lấy được bóng đèn loại II là
. Đúng||Sai
c) Xác suất để cả hai lần đều lấy được bóng đèn loại II là
. Sai||Đúng
d) Xác suất để ít nhất 1 lần lấy được bóng đèn loại I là
. Đúng||Sai
Xét các biến cố: A: "Lần thứ nhất lấy được bóng đèn loại II"; B: "Lần thứ hai lấy được bóng đèn loại II".
a) Xác suất đề lần thứ nhất lấy được bóng đèn loại II là: .
b) Sau khi lấy 1 bóng đèn loại II thì chỉ còn 1 bóng đèn loại II trong hộp. Suy ra xác suất để lần thứ hai lấy được quá bóng đèn loại II, biết lần thứ nhất lấy được bóng đèn loại II là: .
c) Khi đó, xác suất để cả hai lần đều lấy được bóng đèn loại II là:
.
d) Để ít nhất 1 lần lấy được bóng đèn loại I là:
.
Tìm xác suất để bi lấy ra màu trắng
Có 3 hộp đựng bi giống nhau, mỗi hộp đựng 5 bi trắng và 7 bi đỏ có cùng kích thước, và trọng lượng. Lần thứ nhất lấy 1 bi từ hộp I bỏ sang hộp II, lần thứ hai lấy 1 từ hộp II bỏ sang hộp III. Cuối cùng lấy 1 bi từ hộp III ra ngoài. Tính xác suất để bi lấy ra đó là bi trắng. (làm tròn kết quả đến hàng phần trăm)
Gọi là biến cố bi lấy ra từ hộp thứ i (
) là bi trắng.
Ta thấy là họ đầy đủ.
Nên ta có xác suất toàn phần
(*)
Lại có là họ đầy đủ.
Nên ta có xác suất toàn phần:
Khi đó
Do đó từ (*) ta có
Tính xác suất P(A|B)
Cho hai biến cố
có
;
. Xác suất
bằng
Ta có: .
Tính xác suất có điều kiện
Gieo hai con xúc sắc cân đối và đồng chất. Tính xác suất để tổng số chấm xuất hiện trên hai con xúc xắc bằng
. Biết rằng con xúc xắc thứ nhất xuất hiện mặt
chấm.
Gọi là biến cố “con xúc xắc thứ nhất xuất hiện mặt
chấm”
Gọi là biến cố “Tổng số chấm xuất hiện trên
con xác xắc bằng
”.
Khi con xúc xắc thứ nhất đã xuất hiện mặt chấm thì lần thứ hai xuất hiện
chấm thì tổng hai lần xuất hiện là
chấm thì
Chọn đáp án thích hợp
Hàng ngày, Hùng luyện tập hai môn thể thao là bóng chuyền hoặc cầu lông. Nếu hôm nay Hùng chơi bóng chuyền thì xác suất để hôm sau Hùng chơi cầu lông là
. Nếu hôm nay Hùng chơi cầu lông thì xác suất để hôm sau Hùng chơi bóng chuyền là
. Xét một tuần mà thứ hai Hùng chơi bóng chuyền. Gọi hai biến cố:
: “Thứ ba Hùng chơi cầu lông”;
: “Thứ ba Hùng chơi cầu lông”
Ta có sơ đồ hình cây biểu thị tình huống trên trong hai ngày thứ ba, thứ tư như sau:

Xác suất bạn Hùng chơi cầu lông vào thứ tư là
Dựa theo sơ đồ hình cây, ta có
.
Chọn công thức đúng
Cho hai biến cố
và
là hai biến cố ngẫu nhiên mà
,
, công thức Bayes là:
Ta có: .
Chọn đáp án đúng
Cho hai biến cố
và
, với
. Tính
?
Ta có: .
Điểm khả dụng: 0 điểm
Bạn sẽ dùng 50 điểm để đổi lấy 1 lượt làm bài.
Bạn không đủ điểm để đổi.
Theo Nghị định 147/2024/ND-CP, bạn cần xác thực tài khoản trước khi sử dụng tính năng này. Chúng tôi sẽ gửi mã xác thực qua SMS hoặc Zalo tới số điện thoại mà bạn nhập dưới đây: