Đề tập huấn tốt nghiệp THPT 2025 môn Hóa Sở GD&ĐT Bắc Ninh
Thi THPT Quốc gia 2025
Lớp:
THPT Quốc gia
Môn:
Hóa Học
Dạng tài liệu:
Đề thi
Loại:
Tài liệu Lẻ
Loại File:
PDF
Phân loại:
Tài liệu Tính phí

Trang 1/6 – Mã đề 0301
SỞ GIÁO DỤC VÀ ĐÀO TẠO
BẮC NINH
(Đề có 06 trang)
ĐỀ TẬP HUẤN
KỲ THI TỐT NGHIỆP THPT NĂM 2025
MÔN: HÓA HỌC
Thời gian làm bài: 50 phút, không kể thời gian phát đề
Họ và tên thí sinh:. …………………………………..…..…Số báo danh:……………...
* Cho biết nguyên tử khối của các nguyên tố: H=1; C=12; N=14; O=16; Na=23; Al=27; S=32;
Cl=35,5; Cu=64; Zn=65; Ag=108.
PHẦN I. Thí sinh trả lời từ câu 1 đến câu 18. Mỗi câu hỏi thí sinh chỉ chọn một phương án.
Câu 1. Kim loại X được sử dụng trong nhiệt kế, áp kế và một số thiết bị khác. Ở điều kiện thường, X
là chất lỏng. Kim loại X là
A. Hg. B. Pb. C. Cr. D. W.
Câu 2. Ở điều kiện thường, halogen nào sau đây tồn tại ở thể lỏng, có màu nâu đỏ, gây bỏng sâu nếu
rơi vào da?
A. F
2
. B. Cl
2
. C. Br
2
. D. I
2
.
Câu 3. Cho phương trình nhiệt hoá học của phản ứng tổng hợp NH
3
như sau:
3H
2
(g) + N
2
(g) → 2NH
3
(g)
0
r 298
H
= -105 kJ
Cho biết năng lượng liên kết của một số liên hết hóa học
Liên kết
H–H
N≡N
E (kJ/mol hay kJ. mol
-1
)
432
945
Năng lượng liên kết của liên kết N–H là
A. -391 kJ/mol. B. 782 kJ/mol. C. 391 kJ/mol. D. -782 kJ/mol.
Câu 4. Trong xà phòng có chứa chủ yếu chất nào sau đây?
A. CH
3
[CH
2
]
14
COONa. B. CH
3
[CH
2
]
10
CH
2
OSO
3
Na.
C. CH
3
[CH
2
]
10
CH
2
C
6
H
4
SO
3
Na. D. C
3
H
5
(OH)
3
.
Câu 5. Thí nghiệm nào không xảy ra phản ứng hóa học?
A. Cho bột Fe vào dung dịch CuCl
2
.
B. Cho bột Cu vào dung dịch AgNO
3
.
C. Nhúng thanh Ag vào dung dịch Cu(NO
3
)
2
.
D. Nhúng thanh Cu vào dung dịch Fe
2
(SO
4
)
3
.
Câu 6. Dung dịch chất nào sau đây làm quỳ tím chuyển sang màu đỏ?
A. H
2
SO
4
. B. KOH. C. NaCl. D. C
2
H
5
OH.
Câu 7. Tiến hành thí nghiệm theo các bước sau:
Bước 1: Cho vài giọt dung dịch iodine vào ống nghiệm đựng sẵn 2 mL dung dịch hồ tinh bột 2%, quan
sát và ghi nhận hiện tượng trong vài phút ở nhiệt độ thường.
Bước 2: Đun nóng nhẹ dung dịch trên ngọn lửa đèn cồn khoảng 2 phút.
Bước 3: Để dung dịch nguội dần ở nhiệt độ thường, ghi nhận hiện tượng quan sát được.
Cho các phát biểu sau:
(a) Sau bước 1, thu được dung dịch có màu xanh tím.
(b) Sau bước 2, dung dịch trong ống nghiệm mất màu xanh tím.
(c) Sau bước 3, ống nghiệm xuất hiện kết tủa màu vàng.
(d) Từ kết quả của thí nghiệm trên, có thể dùng iodine để nhận biết hồ tinh bột.
Số phát biểu đúng là
A. 1. B. 4. C. 2. D. 3.
Mã đề 0301

Trang 2/6 – Mã đề 0301
Câu 8. "Nguyên tố hóa học là tập hợp các …(1)… có cùng số hạt …(2)…". Nội dung phù hợp trong
các ô trống (1), (2) lần lượt là
A. nguyên tử, proton. B. ion, điện tích.
C. ion, electron. D. nguyên tử, neutron.
Câu 9. Hemoglobin là thành phần cấu tạo nên hồng cầu trong các mạch máu. Mỗi phân tử hemoglobin
chứa 4 heme B. Mỗi heme B là phức chất với nguyên tử trung tâm là sắt (iron). Heme B kết hợp thêm
một phân tử oxygen thông qua đường hô hấp để vận chuyển dưỡng khí đến mô. Mỗi lần đến mô, một
phân tử hemoglobin có thể đem đến cho mô tối đa bao nhiêu nguyên tử oxygen?
A. 2. B. 4. C. 8. D. 16.
Câu 10. Ethane và bromine có thể phản ứng với nhau theo phương trình hóa học sau:
Phản ứng trên thuộc loại
A. phản ứng thế. B. phản ứng tách.
C. phản ứng acid-base. D. phản ứng cộng.
Câu 11. Cho các phát biểu sau:
(a) Dung dịch ethylamine làm quỳ tím chuyển sang màu xanh.
(b) Ester isopropyl formate ít tan trong nước.
(c) Tơ nylon-6,6 thuộc loại tơ tự nhiên.
(d) Trong y học glucose được dùng làm thuốc tăng lực (huyết thanh glucose) cho người bệnh.
Số phát biểu đúng là
A. 2. B. 1. C. 3. D. 4.
Câu 12. Nguồn điện nào sau đây không dựa vào năng lượng từ các phản ứng hoá học?
A. Pin nhiên liệu. B. Pin Galvani. C. Pin mặt trời. D. Acquy.
Câu 13. Điểm chớp cháy được áp dụng trong các quy định an toàn về vận chuyển. Cục Hàng không
Việt Nam đã có quy định: Tinh dầu là hàng hóa nguy hiểm nếu có điểm chớp cháy nhỏ hơn 60
0
C.
Quan sát bảng số liệu sau, hãy cho biết các hãng hàng không có thể từ chối vận chuyển các loại tinh
dầu nào?
Tinh dầu
Điểm chớp cháy (
0
C)
Tinh dầu
Điểm chớp cháy (
0
C)
Thân cây đinh hương
104
Nhựa thông
38
Trà
53,5
Cam
55
Dứa
52
Sả chanh
50
A. Trà, nhựa thông, sả chanh, cam, dứa.
B. Trà, dứa, nhựa thông, sả chanh, thân cây đinh hương.
C. Thân cây đinh hương, nhựa thông, sả chanh, cam.
D. Thân cây đinh hương, trà, sả chanh, cam, dứa.
Câu 14. Cho bảng giá trị thế điện cực chuẩn của các cặp oxi hóa – khử như sau:
Cặp oxi hóa – khử
Fe
2+
/Fe
Cu
2+
/Cu
Ni
2+
/Ni
Ag
+
/Ag
Thế điện cực chuẩn (V)
-0,440
+0,340
-0,260
+0,799
Ở điều kiện chuẩn kim loại nào sau đây có tính khử mạnh nhất?
A. Ag. B. Fe. C. Cu. D. Ni.

Trang 3/6 – Mã đề 0301
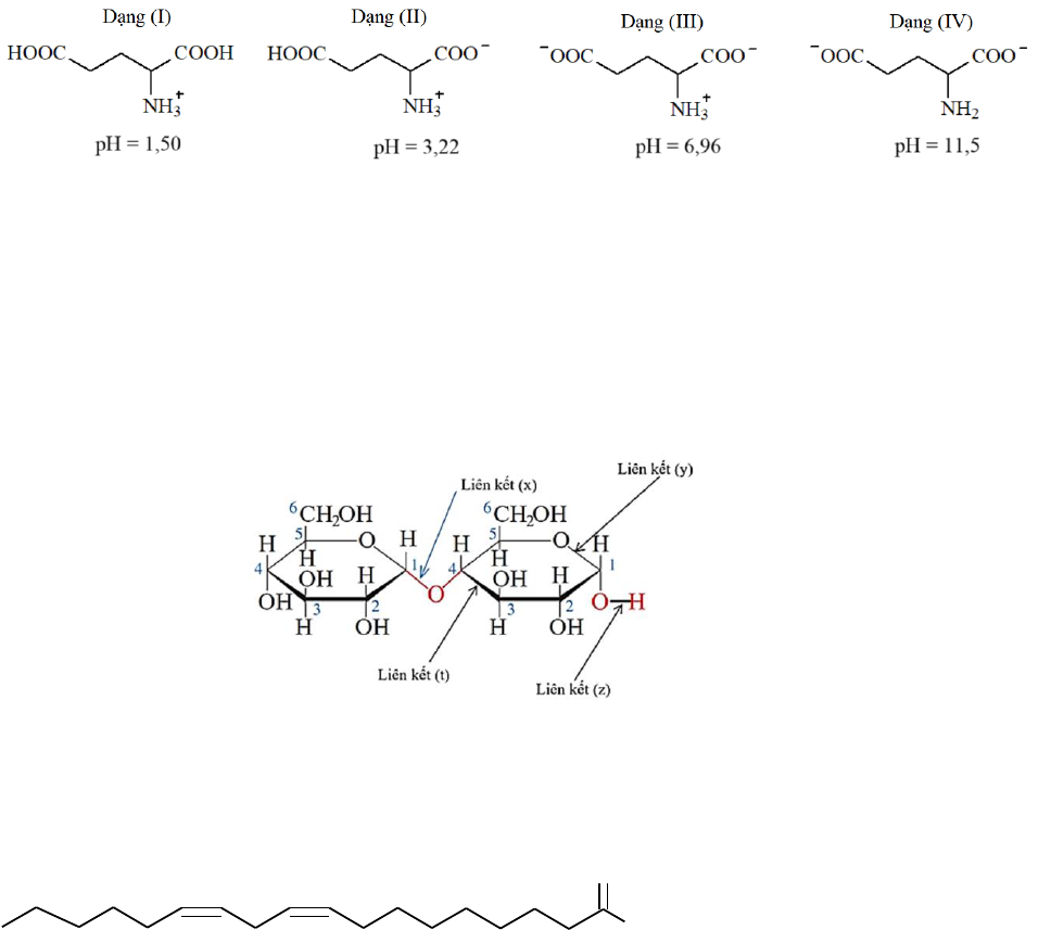
Câu 15. Glutamic acid có các dạng tồn tại và giá trị pH mà dạng tồn tại đó là chủ yếu (≈ 100%) như
sau:
Cho các phát biểu sau đây về quá trình điện di của glutamic acid:
(a) Với môi trường pH = 1,50 thì dạng (I) di chuyển về cực dương.
(b) Với môi trường pH = 3,22 thì dạng (II) hầu như không di chuyển.
(c) Với môi trường pH = 6,96 thì dạng (III) hầu như không di chuyển.
(d) Với môi trường pH = 11,50 thì dạng (IV) di chuyển về cực dương.
Số phát biểu đúng là
A. 1. B. 2. C. 3. D. 4.
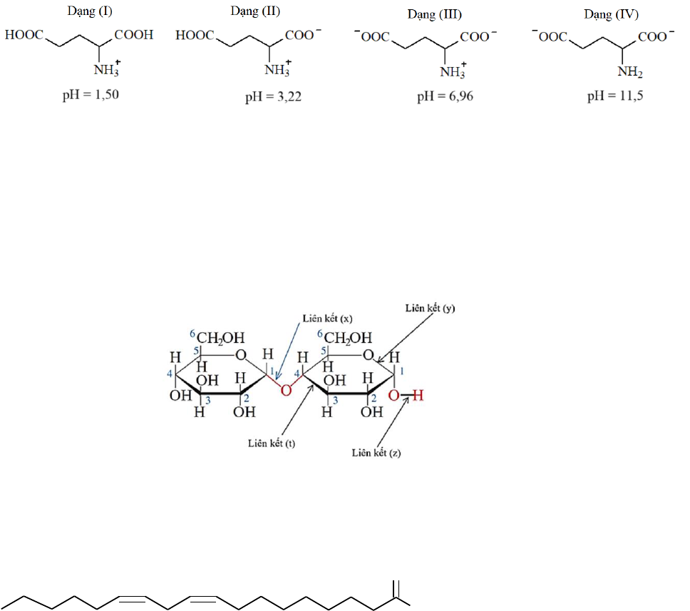
Câu 16. Cho cấu trúc phân tử của một carbohydrate như sau:
Liên kết glycoside là liên kết nào?
A. Liên kết (t). B. Liên kết (y). C. Liên kết (x). D. Liên kết (z).
Câu 17. Linoleic acid (có cấu tạo như hình dưới) là một trong những acid béo có lợi cho sức khỏe tim
mạch ngăn ngừa các bệnh về tim, động mạch vành.
OH
O
Nhận xét nào sau đây không đúng về linoleic acid?
A. Trong phân tử linoleic acid có ba liên kết pi (
).
B. Công thức phân tử của linoleic acid là C
18
H
34
O
2
.
C. Linoleic acid thuộc loại omega-6.
D. Linoleic acid có 18 nguyên tử cacbon trong phân tử.
Câu 18. Một chai rượu gạo có thể tích 750 mL và có độ rượu là 40
0
. Số mL ethanol nguyên chất
(khan) có trong chai rượu đó là
A. 750 mL. B. 400 mL. C. 300 mL. D. 150 mL.
PHẦN II. Thí sinh trả lời từ câu 1 đến câu 4. Trong mỗi ý a), b), c), d) ở mỗi câu, thí sinh chọn đúng
hoặc sai.
Câu 1. Aspirin được sử dụng làm thuốc giảm đau, hạ sốt. Sau khi uống, aspirin bị thủy phân trong cơ
thể (môi trường acid) tạo thành chất X (hợp chất hữu cơ tạp chức). Chất X ức chế quá trình sinh tổng
hợp protaglandin (chất gây đau, sốt và viêm khi nồng độ trong máu cao hơn bình thường). Aspirin có
công thức cấu tạo như sau:
Đề tập huấn thi tốt nghiệp môn Hóa Sở Bắc Ninh
VnDoc.com xin gửi tới bạn đọc bài viết Đề tập huấn tốt nghiệp THPT Quốc gia 2025 môn Hóa Sở GD&ĐT Bắc Ninh để bạn đọc cùng tham khảo. Đề thi được biên soạn theo cấu trúc đề thi mới. Đề thi gồm có 18 câu hỏi trắc nghiệm nhiều phương án lựa chọn, 4 câu hỏi trắc nghiệm đúng sai và 6 câu hỏi trắc nghiệm trả lời ngắn. Thí sinh làm bài trong thời gian 50 phút. Đề có đáp án và lời giải chi tiết kèm theo. Mời các bạn cùng theo dõi đề thi dưới đây để có thêm tài liệu ôn thi kì Thi THPT Quốc gia sắp tới nhé.