Đề thi thử tốt nghiệp THPT 2025 môn Hóa lần 1 trường THPT Chuyên Phan Bội Châu, Nghệ An
Thi THPT Quốc gia 2025
Lớp:
THPT Quốc gia
Môn:
Hóa Học
Dạng tài liệu:
Đề thi
Loại:
Tài liệu Lẻ
Loại File:
PDF
Phân loại:
Tài liệu Tính phí

Trang 1/5 – Mã đề 012
SỞ GIÁO DỤC VÀ ĐÀO TẠO NGHỆ AN
THPT CHUYÊN PHAN BỘI CHÂU
(Đề thi có 05 trang)
(28 câu hỏi)
THI THỬ TN THPT QUỐC GIA LẦN 1
NĂM HỌC 2024-2025
Môn: HOÁ HỌC
Thời gian: 50 phút (không tính thời gian phát đề)
Mã đề 012
Phần I: Câu trắc nghiệm nhiều phương án lựa chọn. Thí sinh trả lời từ câu 1 đến câu 18. Mỗi câu hỏi
thí sinh chỉ chọn một phương án.
Câu 1: Hai khí nào sau đây là tác nhân chính gây ra mưa acid ?
A. CO
2
và NO
2
. B. CO
2
và SO
2
. C. NO
2
và SO
2
. D. N
2
O và SO
2
.
Câu 2: Cho phản ứng CaO(s) + H
2
O(l) → Ca(OH)
2
(aq) Δ
r
H
298
0
= -105 kJ. Khi cho từ từ 5 gam bột CaO
vào cốc chứa 50 mL H
2
O (ở 20°C) thì nhiệt độ của dung dịch trong cốc thay đổi như thế nào trong quá
trình tiến hành thí nghiệm ?
A. Không đổi. B. Lúc đầu giảm, sau đó tăng.
C. Giảm. D. Tăng.
Câu 3: Khói thuốc lá và thuốc lá điện tử chứa các thành phần là nicotine, carbon
monoxide, benzene, formaldehyde,… là những chất tác động trực tiếp lên não, thần
kinh, tim mạch, hệ hô hấp và nguy cơ dẫn đến ung thư. Nicotine (có cấu tạo như
hình bên) là hợp chất thuộc loại amin rất độc.
Bậc của nguyên tử N(1) trong phân tử nicotin là :
A. 2. B. 3. C. 4. D. 1.
Câu 4: Isopropyl formate là một ester có trong cà phê Arabica (còn gọi là cà phê chè). Công thức của
isopropyl formate là :
A. HCOOCH
2
CH
3
. B. HCOOCH(CH
3
)
2
.
C. HCOOCH
3
. D. HCOOCH
2
CH
2
CH
3
.
Câu 5: Lỗ rỗng của viên than tổ ong càng nhiều thì than sẽ cháy nhanh hơn. Yếu tố nào đã làm tăng tốc
độ cháy của viên than tổ ong ?
A. Diện tích bề mặt tiếp xúc. B. Nồng độ.
C. Áp suất. D. Nhiệt độ.
Câu 6: Hàm lượng đạm (%N) trong chất nào sau đây là lớn nhất ?
A. NH
4
NO
3
. B. (NH
4
)
2
HPO
4
. C. (NH
4
)
2
SO
4
. D. (NH
2
)
2
CO.
Câu 7: Ở nhiệt độ thường, chất nào sau đây phản ứng với nitrous acid (HNO
2
) sinh ra khí N
2
và alcohol ?
A. CH
3
NHCH
3
. B. HCOOCH
3
. C. CH
3
CH
2
NH
2
. D. C
2
H
5
OH.
Câu 8: Lycopene (chất tạo màu đỏ trong quả cà chua chín) có công thức phân tử C
40
H
56
và có cấu tạo
như hình sau :
Cho các phát biểu sau :
(a) Lycopene thuộc loại hydrocarbon không no, mạch hở.
(b) Trong một phân tử lycopene có 13 liên kết π.

Trang 2/5 – Mã đề 012
(c) Trong một phân tử lycopene có 39 liên kết σ.
(d) Lycopene làm mất màu dung dịch Br
2
trong CCl
4
.
Những nhận định đúng là :
A. (b), (c), (d). B. (a), (b), (c). C. (a), (b), (d). D. (a), (c), (d).
Câu 9: Hình vẽ bên mô tả phương pháp sắc kí để tách
các chất a, b, c ra khỏi hỗn hợp của chúng.
Cho các nhận định sau :
(a) Chất bị hấp phụ mạnh nhất là a, chất bị hấp phụ kém
nhất là c
(b) Trong dung môi được sử dụng thì chất hòa tan tốt
nhất là a, chất hòa tan kém nhất là c.
(c) Vai trò của bông gòn là để giữ cho pha tĩnh không bị
rơi xuống làm tắc khóa.
(d) Phương pháp tách các chất trong thí nghiệm bên là
phương pháp sắc kí cột.
Những nhận định đúng là :
A. (a), (c), (d). B. (a), (b). C. (b), (c), (d). D. (a), (b), (d).
Câu 10: Chất béo X (có cấu tạo như sau) là thành phần chính trong một loại dầu thực vật :
CH
2
-OOC(CH
2
)
14
CH
3
|
CH-OOC(CH
2
)
7
CH=CH(CH
2
)
7
CH
3
|
CH
2
-OOC(CH
2
)
7
CH=CHCH
2
CH=CH(CH
2
)
4
CH
3
.
Cho các phát biểu sau :
a) Thủy phân X trong môi trường acid sẽ thu được acid béo omega-6.
b) Ở điều kiện thường, X ở trạng thái lỏng.
c) Khi hydrogen hóa hoàn toàn X thu được chất béo có tên gọi là tristearin.
d) Công thức phân tử của X là C
55
H
100
O
6
.
Những phát biểu nào đúng ?
A. (a), (b) và (c). B. (a), (c) và (d). C. (b), (c) và (d). D. (a), (b) và (d).
Câu 11: Trong dung dịch Na
2
CO
3
có các quá trình:
Na
2
CO
3
→ 2Na
+
+ CO
3
2-
(1) CO
3
2-
+ H
2
O ⇋ HCO
3
-
+ OH
-
(2)
Phát biểu nào sau đây không đúng ?
A. Dung dịch Na
2
CO
3
có môi trường kiềm.
B. Theo thuyết Br∅nsted – Lowry thì CO
3
2-
là base.
C. Nếu thêm NaOH rắn vào dung dịch Na
2
CO
3
thì pH sẽ giảm.
D. Na
2
CO
3
là chất điện li mạnh.
Câu 12: Sodium chloride là hợp chất có sẵn trong tự nhiên và có nhiều ứng dụng quan trong trong cuộc
sống như làm gia vị thức ăn và trong công nghiệp như sản xuất sodium hydoxyde, chlorine,. Công thức
của sodium chloride là
A. NaCl. B. KCl. C. NaClO. D. NaOH.
Câu 13: Cao su thiên nhiên được khai thác từ mủ cây cao su. Cao su thiên
nhiên có thành phần chính là polymer của isoprene (cấu trúc như hình bên).
Cao su thiên nhiên không dẫn điện, không thấm nước và khí, có tính đàn hồi
tốt nhưng tính đàn hồi chỉ tồn tại trong một khoảng nhiệt độ hẹp. Phát biểu
nào sau đây sai?
A. Cao su thiên nhiên tan tốt được trong nước và trong xăng, dầu.

Trang 3/5 – Mã đề 012
B. Lưu hóa cao su sẽ làm tăng tính cơ lí của cao su thiên nhiên.
C. Phân tử polymer của cao thu thiên có cấu hình cis.
D. Phân hủy cao su thiên nhiên bởi nhiệt thu được isoprene.
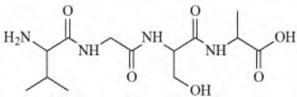
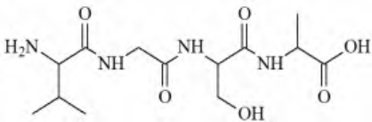
Câu 14: Cho một peptide X có cấu tạo như hình bên:
Phát biểu nào sau đây đúng?
A. Dung dịch X không có phản ứng màu biuret. B. Peptide X thuộc loại tripeptide.
C. Amino acid đầu C của X là alanine. D. Thủy phân X thu được tối đa 4 dipeptide.
Câu 15: Trong mật ong chứa nhiều monosaccharide X. Vị ngọt sắc của mật ong là do chất X gây ra.
Trong phân tử X ở dạng mạch hở có nhóm ketone. Monosaccharide X có tên gọi là
A. Saccharose. B. Glucose. C. Fructose. D. Maltose.
Câu 16: Chất nào sau đây không phải là ester?
A. CH
3
[CH
2
]
14
COO[CH
2
]
29
CH
3
(có trong mật ong).
B. CH
3
COOH (có trong giấm ăn).
C. CH
3
COO[CH
2
]
7
CH
3
(có trong quả cam).
D. CH
3
COOCH
2
C
6
H
5
(có trong hoa nhài).
Câu 17: Cho 3 giọt dung dịch CuSO
4
2% và 1 mL dung dịch NaOH 30% vào ống nghiệm. Thêm tiếp
khoảng 2 mL dung dịch lòng trắng trứng và lắc đều ống nghiệm, dung dịch thu được sẽ có màu gì?
A. Xanh. B. Tím. C. Vàng. D. Đỏ.
Câu 18: Cho các phát biểu sau:
(a) Chất dẻo có thành phần chính là polymer, ngoài ra còn có chất độn, chất hóa dẻo,.
(b) Vật liệu composite thường gồm hai thành phần chính là vật liệu cốt và vật liệu nền.
(c) Một trong những phương pháp xử lí rác thải nhựa không gây ô nhiễm môi trường là đốt cháy.
(d) Tơ tằm, len đều có thành phần chính là protein, vì vậy chúng rất bền nhiệt và bền trong môi trường
kiềm.
(e) Keo dán epoxy gồm hai thành phần là chất hữu cơ có nhóm –COOH và -NH
2
ở hai đầu và chất đóng
rắn.
Số phát biểu đúng là
A. 2. B. 5. C. 3. D. 4.
PHẦN II. Câu trắc nghiệm đúng sai. Thí sinh trả lời từ câu 19 đến câu 22. Trong mỗi ý a), b), c), d) ở
mỗi câu, thí sinh chọn đúng hoặc sai.
Câu 19: Bia, rượu đều có thể được sản xuất từ nguyên liệu ban đầu là tinh bột trong ngũ cốc theo sơ đồ
chuyển hóa sau: Tinh bột (1) → dextrin (2) → maltose (3) → glucose (4) → ethanol.
a) Có thể phân biệt maltose và glucose bằng thuốc thử Tollens hoặc Cu(OH)
2
trong dung dịch NaOH.
b) Các phản ứng (1), (2), (3) và (4) trong sơ đồ trên đều là phản ứng thủy phân.
c) Dextrin có cấu tạo gồm các mắt xích glucose liên kết với nhau bằng liên kết β-1,4-glycoside
d) Maltose, glucose, ethanol đều tan tốt trong nước là do các chất này đều tạo được liên kết hydrogen với
nước.
Câu 20: Isoamyl acetate thường được sử dụng làm chất phụ gia để tạo mùi chuối trong thực phẩm hoặc
được dùng làm hương liệu nhân tạo. Một học sinh tiến hành điều chế isoamyl acetate theo các bước sau:
Bước 1: Cho vào bình cầu 26,4 mL isoamyl alcohol (d = 0,81 g/mL), 40 mL acetic acid (d =1,049 g/mL)
và 2,5 mL H
2
SO
4
đậm đặc, cho thêm vào bình vài viên đá bọt. Lắp ống sinh hàn hồi lưu thẳng đứng vào
miệng bình cầu. Sau đó đun nóng bình cầu trong khoảng 1,5 giờ.
Đề thi thử tốt nghiệp môn Hóa trường Chuyên Phan Bội Châu, Nghệ An
VnDoc.com xin gửi tới bạn đọc bài viết Đề thi thử tốt nghiệp THPT Quốc gia 2025 môn Hóa lần 1 trường THPT Chuyên Phan Bội Châu, Nghệ An có đáp án để bạn đọc cùng tham khảo. Đề thi được biên soạn theo cấu trúc đề thi mới. Đề thi gồm có 18 câu hỏi trắc nghiệm nhiều phương án lựa chọn, 4 câu hỏi trắc nghiệm đúng sai và 6 câu hỏi trắc nghiệm trả lời ngắn. Thí sinh làm bài trong thời gian 50 phút. Đề có đáp án và lời giải chi tiết kèm theo. Mời các bạn cùng theo dõi đề thi dưới đây để có thêm tài liệu ôn thi kì Thi THPT Quốc gia sắp tới nhé.