Đề thi thử tốt nghiệp THPT 2025 môn Hóa lần 2 Sở GD&ĐT Vĩnh Phúc
Thi THPT Quốc gia 2025
Lớp:
THPT Quốc gia
Môn:
Hóa Học
Dạng tài liệu:
Đề thi
Loại:
Tài liệu Lẻ
Loại File:
PDF
Phân loại:
Tài liệu Tính phí

Trang 1/4 – Mã đề 058
SỞ GIÁO DỤC VÀ ĐÀO TẠO VĨNH PHÚC
ĐỀ CHÍNH THỨC
(Đề thi có 04 trang)
(28 câu hỏi)
THI THỬ TN THPT QUỐC GIA LẦN 2
NĂM HỌC 2024-2025
Môn: HOÁ HỌC
Thời gian: 50 phút (không tính thời gian phát đề)
Mã đề 058
Phần I: Câu trắc nghiệm nhiều phương án lựa chọn. Thí sinh trả lời từ câu 1 đến câu 18. Mỗi câu hỏi
thí sinh chỉ chọn một phương án.
Câu 1: Chất X dùng làm xà phòng có công thức cấu tạo C
17
H
35
COONa. Tên gọi của X là :
A. sodium palmitate. B. sodium oleate. C. sodium acetate. D. sodium stearate.
Câu 2: Cellulose không có tính chất nào sau đây ?
A. Bị thủy phân trong dung dịch acid hoặc enzyme.
B. Phản ứng với nitric acid đặc (xúc tác sulfuric acid đặc).
C. Tan trong nước Schweizer.
D. Phản ứng với thuốc thử Tollens.
Câu 3: Cho các phát biểu sau :
(a) Cao su thiên nhiên chứa các mắt xích isoprene, liên kết đôi trong mạch đều ở dạng cis.
(b) Thủy phân không hoàn toàn tripeptide Ala-Gly-Ala thu được tối đa 2 dipeptide.
(c) Keo dán epoxy có thành phần chính là chất hữu cơ có nhóm –COOH và -NH
2
ở hai đầu.
(d) Tách tinh dầu từ hỗn hợp tinh dầu và nước bằng dung môi hexane là phương pháp chiết lỏng - lỏng.
Số phát biểu đúng là :
A. 1. B. 3. C. 4. D. 2.
Câu 4: Cocaine có công thức phân tử C
17
H
21
NO
4
. Cocaine là chất
gây nghiện, có thể gây lệ thuộc sau khi sử dụng chỉ trong một thời
gian ngắn. Các tác hại khác bao gồm tăng nguy cơ đột qụy, nhồi
máu cơ tim, tổn thương phổi và có thể đột tử do nguyên nhân tim
mạch. Cocain có công thức cấu tạo sau :
Cho 1 mol cocaine phản ứng hoàn toàn với dung dịch NaOH, tổng
khối lượng muối có trong dung dịch sau phản ứng là m gam. Giá
trị của m là :
A. 351. B. 240. C. 368. D. 334.
Câu 5: Một học sinh thực hiện thí nghiệm để tách đồng từ hỗn hợp kim loại gồm đồng, sắt và nhôm. Hoá
chất học sinh cần sử dụng là :
A. dung dịch ZnSO
4
. B. dung dịch NaOH. C. dung dịch HCl. D. dung dịch FeCl
2
.
Câu 6: Điện phân với điện cực trơ dung dịch chứa các ion Na
+
, K
+
, Cu
2+
, Ca
2+
, NO
3
-
. Ở cathode, ion kim
loại bị khử là :
A. Cu
2+
. B. Na
+
. C. Ca
2+
. D. K
+
.
Câu 7: Hợp chất hữu cơ X công thức phân tử là C
3
H
4
O
2
. Chất X tác dụng được với dung dịch bromine,
không tác dụng với sodium. Tên gọi của X là :
A. propane-1,3-diol. B. acetone. C. vinyl formate. D. acrylic acid.
Câu 8: Poly(methyl methacrylate) cho ánh sáng truyền qua trên 90%, được sử dụng làm thuỷ tinh hữu cơ.
Thực hiện phản ứng trùng hợp monomer nào sau đây thu được poly(methyl methacrylate) ?
A. CH
2
=C(CH
3
)COOCH
3
. B. CH
2
=CHC
6
H
5
.
C. CH
2
=CHCOOCH
3
. D. CH
2
=CHCl.

Trang 2/4 – Mã đề 058
Câu 9: Kim loại tungsten (W) được sử dụng làm dây tóc bóng điện. Ứng dụng này được dựa trên cơ sở
tính chất vật lí nào sau đây của tungsten ?
A. Tính dẻo. B. Nhiệt độ nóng chảy cao.
C. Tính dẫn nhiệt. D. Tính ánh kim.
Câu 10: Quá trình reforming là quá trình sắp xếp lại mạch hydrocarbon để tạo ra nhiều hydrocarbon
mạch nhánh, làm tăng chỉ số octane của xăng hoặc tạo ra các hợp chất arene như benzene, toluene, xylene
để làm nguyên liệu cho hóa dầu. Cho các quá trình nào sau đây :
(1) Hexane (t°, xt) → isohexane.
(2) Ethylbenzen (t°, xt) → 1,2-dimethylbenzene.
(3) Octane (t°, xt) → Butane + But-1-ene.
(4) Octane (t°, xt) → 2,2,4-trimethylpentane
Có bao nhiêu quá trình là quá trình reforming ?
A. 1. B. 3. C. 4. D. 2.
Câu 11: Cho lượng dư ethylamine vào dung dịch CuSO
4
thì thu được
A. kết tủa màu đen. B. kết tủa màu xanh lam.
C. dung dịch màu xanh lam. D. dung dịch không màu.
Câu 12: Hợp chất nào sau đây thuộc loại protein?
A. Cellulose. B. Saccharose. C. Albumin. D. Triglyceride.
Câu 13: Polymer nào sau đây có chứa nguyên tố nitrogen?
A. Polyisoprene. B. Nylon-6,6.
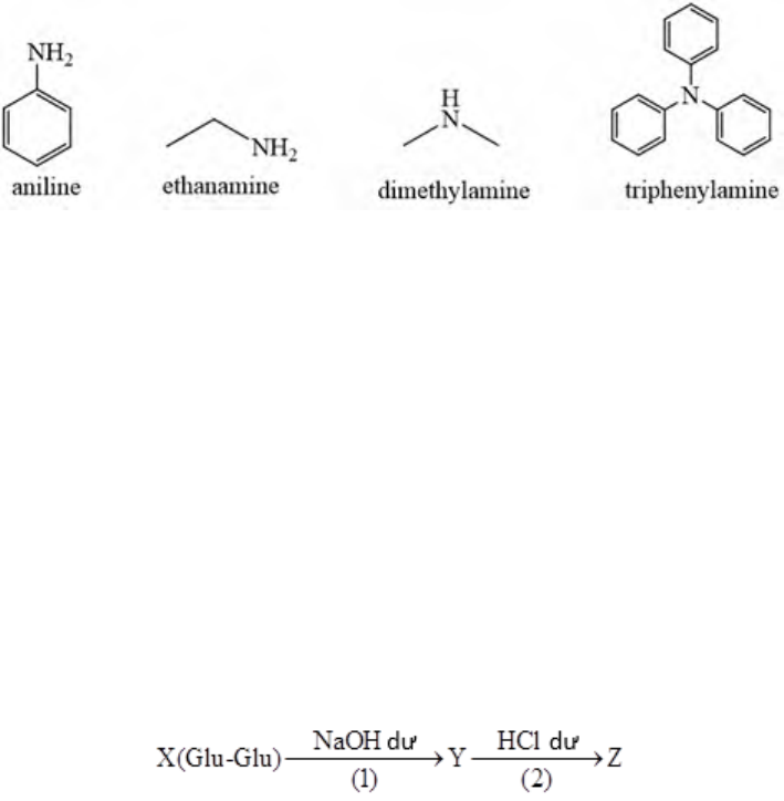
C. Poly(vinyl chloride). D. Polystyrene.
Câu 14: Amine là dẫn xuất của ammonia, trong đó nguyên tử hydrogen trong phân tử ammonia được
thay thế bằng gốc hydrocarbon. Cho các amine có công thức cấu tạo dưới đây:
Trong các amine trên, amine nào là amine bậc ba?
A. Aniline. B. Triphenylamine. C. Dimethylamine. D. Ethanamine.
Câu 15: Carbohydrate nào sau đây được tạo thành từ các đơn vị β-glucose?
A. Cellulose. B. Saccharose. C. Amylopectin. D. Amylose.
Câu 16: Thủy phân ester X trong dung dịch NaOH, thu được CH
3
COONa và C
2
H
5
OH. Công thức cấu tạo
thu gọn của X là
A. CH
3
COOC
2
H
5
. B. C
2
H
5
COOCH
3
. C. C
2
H
3
COOCH
3
. D. C
2
H
3
COOC
2
H
5
.
Câu 17: Protein tham gia phản ứng với dung dịch HNO
3
đặc tạo thành hợp chất rắn có màu gì?
A. Tím. B. Trắng. C. Xanh. D. Vàng.
Câu 18: Chất nào sau đây làm mềm được nước có tính cứng toàn phần?
A. NaCl. B. KNO
3
. C. KCl. D. Na
2
CO
3
.
PHẦN II. Câu trắc nghiệm đúng sai. Thí sinh trả lời từ câu 19 đến câu 22. Trong mỗi ý a), b), c), d) ở
mỗi câu, thi sinh chọn đúng hoặc sai.
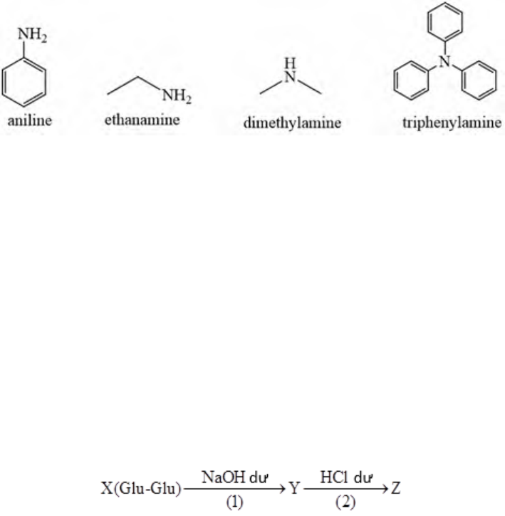
Câu 19: Cho sơ đồ chuyển hóa:

Trang 3/4 – Mã đề 058
Y và Z là các hợp chất hữu cơ; mỗi mũi tên ứng với một phương trình hóa học của phản ứng giữa hai chất
tương ứng.
a) Dùng quỳ tím để phân biệt 3 dung dịch riêng biệt Z, Y và glycine.
b) 1 mol Y tác dụng tối đa với dung dịch chứa 1 mol HCl.
c) Glutamic acid có vai trò quan trọng trong việc trao đổi chất của cơ thể động vật.
d) Ở điều kiện thường, glutamic acid dễ tan trong nước.
Câu 20: Quá trình điện phân để mạ đồng lên tấm huy chương hình trụ,
đáy tròn với bán kính 2,5 cm, chiều cao hình trụ 0,3 cm với lớp mạ dày
0,1 cm được mô tả như hình sau:
Tiến hành điện phân dung dịch CuSO
4
0,5M với cường độ dòng điện
không đổi 2 ampe, khi kết thúc điện phân (quá trình mạ hoàn thành) thì
thời gian là t giây. Biết khối lượng riêng của đồng là 8,95 gam/cm³ và
hiệu suất điện phân là 100%, giả thiết lớp mạ huy chương dày như nhau,
toàn bộ lượng đồng tạo ra đều bám hết vào tấm huy chương. Cho biết:
Số mol electron mà nguyên tử hoặc ion đã cho hoặc nhận tính bằng công
thức n = I.t/F, trong đó I là cường độ dòng điện (ampe), t là thời gian
(giây), F = 96500, π = 3,14.
a) Trong quá trình mạ điện tại điện cực anode không có khí thoát ra.
b) Thanh đồng là cực dương, huy chương được mạ sẽ đóng vai trò cực
âm.
c) Thời gian điện phân là 63773 giây (Kết quả làm tròn đến hàng đơn vị).
d) Chiều dòng electron di chuyển từ huân chương được mạ qua dây dẫn đến thanh đồng.
Câu 21: Aspartame (APM) là một chất làm ngọt nhân tạo, còn
được gọi là đường hóa học không chứa đường saccharide, có độ
ngọt gấp 200 lần đường ăn thông thường. Công thức cấu tạo của
APM cho như sau:
a) APM bền trong môi trường acid nhưng kém bền trong môi
trường kiềm.
b) Trong phân tử APM có 1 liên kết amide (-CO-NH-).
c) Công thức phân tử của APM là C
14
H
18
N
2
O
5
.
d) APM tác dụng với NaOH theo tỉ lệ 1 : 2.
Câu 22: Trong công nghiệp, một lượng lớn NaHCO
3
và Na
2
CO
3
được sản xuất theo phương pháp Solvay
bằng cách cho khí CO
2
(lấy từ nhiệt phân đá vôi) vào dung dịch chứa sodium chloride bão hoà và
ammonia bão hoà.
(1) CO
2
(aq) + H
2
O(l) + NH
3
(aq) + NaCl(aq) → NH
4
Cl(aq) + NaHCO
3
(s)
NaHCO
3
tách ra đem nhiệt phân thu được Na
2
CO
3
:
(2) 2NaHCO
3
→ Na
2
CO
3
+ CO
2
+ H
2
O
Để tái sử dụng NH
3
, người ta cho NH
4
Cl tác dụng với CaO (thu được từ quá trình nhiệt phân đá vôi):
(3) 2NH
4
Cl(aq) + CaO(s) → 2NH
3
(g) + CaCl
2
(aq) + H
2
O
a) Nguyên liệu của quá trình sản xuất soda bằng phương pháp Solvay là NaCl và CaCO
3
, NH
3
, H
2
O.
b) Trong thực tiễn, NaHCO
3
được sử dụng làm bột nở trong chế biến thực phẩm.
c) Khi làm lạnh, NaHCO
3
kết tinh và được lọc ra khỏi dung dịch.
d) Trong sản xuất, đun nóng hỗn hợp các chất tham gia phản ứng (1) để thu được Na
2
CO
3
ngay.
PHẦN III. Câu trắc nghiệm trả lời ngắn. Thí sinh trả lời từ câu 23 đến câu 28.
Câu 23: Để sản xuất m kg xà phòng (có chứa 75% muối sodium của acid béo, còn lại là chất độn), người
ta xà phòng hóa hoàn toàn 1 tấn chất béo trung tính bằng dung dịch chứa 150 kg NaOH vừa đủ. Tính m.
(Kết quả làm tròn đến hàng đơn vị).
Câu 24: Cho bảng dữ liệu sau:
Đề thi thử tốt nghiệp môn Hóa lần 2 Sở Vĩnh Phúc
Đề thi thử tốt nghiệp THPT Quốc gia 2025 môn Hóa lần 2 Sở GD&ĐT Vĩnh Phúc có đáp án được VnDoc.com tổng hợp và xin gửi tới bạn đọc cùng tham khảo. Đề thi gồm có 18 câu hỏi trắc nghiệm nhiều phương án lựa chọn, 4 câu hỏi trắc nghiệm đúng sai và 6 câu hỏi trắc nghiệm trả lời ngắn. Thí sinh làm bài trong thời gian 50 phút. Đề có đáp án và lời giải chi tiết kèm theo. Mời các bạn cùng theo dõi đề thi dưới đây để có thêm tài liệu ôn thi kì Thi THPT Quốc gia sắp tới nhé.