Bộ đề thi thử THPT Quốc gia 2025 môn Hóa bám sát đề minh họa
Thi THPT Quốc gia 2025
Lớp:
THPT Quốc gia
Môn:
Hóa Học
Dạng tài liệu:
Đề thi
Loại:
Bộ tài liệu
Loại File:
Word + PDF
Phân loại:
Tài liệu Tính phí

BÁM SÁT ĐỀ MINH HỌA
KỲ THI TỐT NGHIỆP THPT QUỐC GIA NĂM 2025
Bài thi môn: HÓA HỌC
ĐỀ 1
Thời gian làm bài: 50 phút, không kể thời gian phát đề
Cho biết nguyên tử khối: H = 1, C = 12, N = 14, O = 16, Na = 23, Mg = 24, Al = 27, S = 32, K = 39, Ca =
40, Fe = 56, Cu = 64, Zn = 65, Ag = 108.
PHẦN I. Thí sinh trả lời từ câu 1 đến câu 18 . Mỗi câu hỏi thí sinh chỉ chọn một phương án.
Câu 1. Kim loại nào sau đây điều chế được bằng phương pháp thủy luyện?
A. Au. B. Ca. C. Na. D. Mg.
Câu 2. Đun nước lâu ngày thấy xuất hiện lớp cặn bám vào đáy ấm đun nước. Để loại bỏ lớp cặn có thể
dùng dung dịch nào sau đây?
A. Cồn. B. Giấm ăn. C. Nước vôi. D. Muối ăn.
Câu 3. Loại polymer nào sau đây có chứa nguyên tố nitrogen?
A. Polystyrene. B. Poly(vinyl chloride).
C. Polyisoprene. D. Nylon-6,6.
Câu 4. Kim loại tungsten (W) được sử dụng làm dây tóc bóng điện. Ứng dụng này được dựa trên cơ sở
tính chất vật lí nào sau đây của tungsten?
A. Tính dẫn nhiệt. B. Tỉ trọng nhỏ. C. Tính dẻo. D. Nhiệt độ nóng chảy
Câu 5. Thành phần dịch vị dạ dày gồm 95% là nước, enzyme và hydrochloric acid. Sự có mặt của
hydrochloric acid làm cho pH của dịch vị trong khoảng từ 2 – 3. Khi độ acid trong dịch vị dạ dày tăng thì
dễ bị ợ chua, ợ hơi, ói mửa, buồn nôn, loét dạ dày, tá tràng. Để làm giảm bớt lượng acid dư trong dịch vị dạ
dày người ta thường uống thuốc muối dạ dày “Nabica” từng lượng nhỏ và cách quãng. Phát biểu nào sau
đây là sai?
A. Công thức hoá học của thuốc muối “Nabica” là NaHCO
3
.
B. Khi uống từng lượng nhỏ và cách quãng thuốc muối “Nabica” thì pH của dịch vị dạ dày sẽ tăng từ
từ.
C. Khi uống thuốc muối “Nabica” thì sẽ sinh ra khí carbon dioxide.
D. Nếu có 10 mL dịch vị dạ dày và coi pH của dạ dày hoàn toàn do hydrochloric acid gây ra, để nâng
pH của dạ dày từ pH=1 lên pH=2 ta cần dùng hết 0,0756 gam thuốc muối Nabica (với giả thiết Nabica là
nguyên chất).
Câu 6. Một mẫu nước được thử nghiệm định tính để xác định sự có mặt của một số ion. Mẫu nước được
cho vào 4 ống nghiệm, sau đó nhỏ mỗi loại thuốc thử vào mỗi ống nghiệm và ghi nhận hiện tượng như
bảng dưới đây:
Ống
Thuốc thử
Hiện tượng
1
Sodium carbonate (Na
2
CO
3
)
Xuất hiện kết tủa
2
Barium chloride (BaCl
2
)
Xuất hiện kết tủa
3
Sodium hydroxide (NaOH)
Xuất hiện kết tủa
4
Nitric acid (HNO
3
)
Sủi bọt khí
Mẫu nước trên có thể chứa những ion nào trong số các ion sau đây: (1) H
+
; (2) Ca
2+
; (3) SO
4
2-
; (4) HCO
3
-
;
(5) CO
3
2-
?
A. (1), (2), (3). B. (2), (3), (4). C. (3), (4), (5). D. (2), (3), (5).
Câu 7. Hai monosaccharide liên kết nhau bởi liên kết nào sau đây?
A. Liên kết peptide. B. Liên kết glycoside.
C. Liên kết hydrogen. D. Liên kết phosphodiester.
Câu 8. Có bao nhiêu loại phối tử có trong phân tử phức chất cho sau đây?

A. 1. B. 2. C. 3. D. 4.
Câu 9. Hiện tượng phú dưỡng là một biểu hiện của môi trường ao, hồ bị ô nhiễm do dư thừa các chất dinh
dưỡng, Sự dư thừa dinh dưỡng chủ yếu do hàm lượng các ion nào sau đây vượt quá mức cho phép?
A. Sodium, potassium. B. Calcium, magnesium.
C. Nitrate, phosphate. D. Chloride, sulfate.
Câu 10. Cho từ từ dung dịch ethylamine vào ống nghiệm đựng dung dịch nitrous acid (hoặc dung dịch
hỗn hợp acid HCl + NaNO
2
) ở nhiệt độ thường. Hiện tượng quan sát được trong ống nghiệm là
A. có kết tủa màu trắng. B. có bọt khí không màu thoát ra.
C. có kết tủa màu vàng. D. có khí màu nâu thoát ra.
Câu 11. Công thư
́
c na
̀
o sau đây co
́
thê
̉
la
̀
công thư
́
c cu
̉
a châ
́
t be
́
o?
A. C
15
H
31
COOCH
3
. B. (C
17
H
33
COO)
2
C
2
H
4
. C. CH
3
COOCH
2
C
6
H
5
. D. (C
17
H
35
COO)
3
C
3
H
5
.
Câu 12. Thuỷ phân saccharose, thu được hai monosaccharide X và Y. Chất X có nhiều trong quả nho chín
nên còn được gọi là đường nho. Phát biểu nào sau đây đúng ?
A. Y không tan trong nước. B. X không có phản ứng tráng bạc.
C. Y có phân tử khối bằng 342 amu. D. X có tính chất của alcohol đa chức
Câu 13. Linalyl acetate là một trong những của tinh dầu cam và mùi thơm của hoa oải hương. Cho công
thức khung phân tử của linalyl acetate như sau:
Phát biểu nào sau đây là đúng?
A. Linalyl acetate là ester no, đơn chức.
B. Linalyl acetate có đồng phân hình học.
C. Linalyl acetate có vùng hấp thụ trong phổ hồng ngoại (IR) ở khoảng sóng với peak đặc trưng với số
sóng có giá trị từ 3650 – 3200 cm
–1
.
D. Hydrogen hóa linalyl acetate bằng H
2
(xt, t
o
, p) thu được ester có công thức phân tử C
12
H
24
O
2
.
Câu 14. Phản ứng Würtz là một trong những phản ứng thuộc phương pháp làm tăng mạch carbon của các
hydrocarbon thường dùng để điều chế các alkane đối xứng. Chất tham gia phản ứng Würtz là một dẫn xuất
mono halogen của một hydrocarbon no và sodium. Dung môi được sử dụng là ether khan, phương trình
tổng quát mô tả như sau:
2R X 2Na R R 2NaX
Alkane (X) được nhà hóa học Edward Frankland phát hiện vào năm 1849. Nó được tìm thấy hòa
tan trong dầu thô vào năm 1864 bởi Edmund Ronalds. X có trong khí dầu mỏ, khí thiên nhiên, khí chế biến
dầu và được điều chế bằng cách cho ethyl bromide tác dụng với Na kim loại (phản ứng Würtz).
Cho các phát biểu sau:
(a). Alkane X có tên gọi thay thế là butane.
(b). Alkane X có 2 đồng phân dạng (n)và dạng (iso). Trong đó dạng (iso) có nhiệt độ cao hơn dạng (n).

(c). Khi cho dạng iso của X tác dụng với chlorine ở 25
0
C có chiếu sáng chỉ thu được một sản phẩm thế.
(d) Nếu cho tỷ lệ khả năng phản ứng tương đối của nguyên tử H bậc I và bậc III trong phản ứng chlorine ở
ý (c) là 1: 5 thì phần trăm sản phẩm chính sẽ chiếm khoảng 64% (cho phép làm tròn kết quả đến hàng đơn
vị).
Cho biết tỷ lệ % các sản phẩm thế phụ thuộc vào số lượng n
i
nguyên tử H cùng một loại và khả năng phản
ứng r
i
của những nguyên tử H đó theo công thức sau:
ii
ii
100rn
%
rn
.
Số phát biểu đúng là
A. 1. B. 2. C. 3. D. 4.
Câu 15. Dãy gồm các kim loại phản ứng với nước ở nhiệt độ thường là
A. Na, Fe, K. B. Na, Cr, K. C. Be, Na, Ca. D. Na, Ba, K.
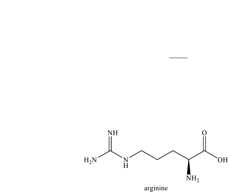
Câu 16. Arginine là hợp chất có tác dụng giãn mạch nên được sử dụng để điều trị cho những người bị suy
tim mãn tính, người có nồng độ cholesterol cao,… Công thức của arginine được cho ở hình bên dưới.
Cho các phát biểu sau:
(a) Arginine tham gia phản ứng với dung dịch KOH theo tỉ lệ mol 1:1.
(b) Dung dịch arginine làm quỳ tím chuyển sang màu đỏ.
(c) Phần trăm khối lượng của nguyên tố N trong arginine là 40,2%.
(d) Trong một phân tử arginine có 2 liên kết π.
Số phát biểu đúng là
A. 1. B. 2. C. 3. D. 4.
Câu 17. Cho biết:
2+
0
Fe /Fe
E V0,440
;
2+
0
Cu /Cu
E 0,340 V
. Sức điện động chuẩn của pin điện hoá Fe-Cu
là
A. 0,920 V. B. 1,660 V. C. 0,100 V. D. 0,7
Câu 18. Cho các phản ứng sau:
(1) X + 2X
3+
3X
2+
(2) X
2+
+ Y
+
X
3+
+ Y
Sự sắp xếp đúng với chiều tăng dần tính oxi hoá của các cation là
A. X
3+
, X
2+
, Y
+
. B. X
2+
, Y
+
, X
3+
. C. X
2+
, X
3+
, Y
+
. D. Y
+
, X
2+
, X
3+
.
PHẦN II. Thí sinh trả lời từ câu 1 đến câu 4 . Trong mỗi ý a), b), c), d) ở mỗi câu, thí sinh chọn đúng
hoặc sai.
Câu 1. Cho sơ đồ (1) biểu diễn sự điện phân dung dịch CuSO
4
(aq) với điện cực trơ, sơ đồ (2) biểu diễn
quá trình tinh luyện đồng (Cu) bằng phương pháp điện phân. Trong sơ đồ (2), khối đồng có độ tinh khiết
thấp được gắn với một điện cực của nguồn điện, thanh đồng mỏng có độ tinh khiết cao được gắn với một
điện cực của nguồn điện. Dung dịch điện phân là dung dịch CuSO
4
.
Bộ đề thi thử bám sát đề minh họa 2025 môn Hóa
Bộ đề thi thử THPT Quốc gia 2025 môn Hóa bám sát đề minh họa có đáp án được VnDoc.com sưu tầm và xin gửi tới bạn đọc cùng tham khảo. Bộ đề được tổng hợp gồm có 6 mã đề thi. Mỗi đề gồm có 18 câu hỏi trắc nghiệm nhiều phương án lựa chọn, 4 câu hỏi trắc nghiệm đúng sai và 6 câu hỏi trắc nghiệm trả lời ngắn. Thí sinh làm bài trong thời gian 50 phút, đề có đáp án và lời giải chi tiết kèm theo. Mời các bạn cùng theo dõi đề thi dưới đây để có thêm tài liệu ôn thi kì Thi THPT Quốc gia sắp tới nhé.