Đề thi thử tốt nghiệp THPT 2025 môn Hóa Sở GD&ĐT Quảng Ninh
Thi THPT Quốc gia 2025
Lớp:
THPT Quốc gia
Môn:
Hóa Học
Dạng tài liệu:
Đề thi
Loại:
Tài liệu Lẻ
Loại File:
PDF
Phân loại:
Tài liệu Tính phí

Trang 1/5 - Mã đề thi
SỞ GIÁO DỤC VÀ ĐÀO TẠO
QUẢNG NINH
ĐỀ THI THỬ
(Đề thi có 05 trang)
KỲ THI THỬ TỐT NGHIỆP THPT NĂM 2025
Môn thi: HÓA HỌC
Thời gian làm bài: 50 phút, không kể thời gian phát đề
Họ, tên thí sinh:………………………….
Số báo danh:……………………………..
Cho khối lượng nguyên tử: H = 1; C = 12; N = 14; O = 16; Cl = 35,5; Na = 23; Mg = 24; Al = 27;
P = 31; S = 32; K = 39; Ca = 40; Cr = 52; Fe = 56; Cu = 64; Zn = 65; Br = 80; Ag = 108; Ba = 137.
Phần I. Thí sinh trả lời từ câu 1 đến câu 18. Mỗi câu hỏi thí sinh chỉ chọn một phương án.
Câu 1. Cho ba dung dịch có cùng nồng độ mol sau: (1) CH
3
CH
2
COOH, (2) CH
3
CH(NH
2
)COOH,
(3) CH
3
CH
2
NH
2
. Dãy sắp xếp theo chiều tăng dần pH của các dung dịch trên là
A. (3), (2), (1). B. (3), (1), (2). C. (1), (3), (2). D. (1), (2), (3).
Câu 2. PE là một polymer thông dụng, dùng làm chất dẻo (chất dẻo chứa PE chiếm gần 1/3 tổng lượng
chất dẻo được sản xuất hàng năm). Trong đời sống, PE được dùng làm màng bọc thực phẩm, túi nylon, bao
gói, chai lọ đựng hoá mĩ phẩm,... PE được điều chế từ monomer có tên gọi là
A. styrene. B. vinyl chloride. C. ethylene. D. propylene.
Câu 3. Cho sức điện động chuẩn của các pin điện hoá:
o
Pin (T X)
E 2, 46 V
−
=
;
o
Pin (T Y)
E 2,00 V
−
=
;
o
Pin (Z Y)
E 0,90 V
−
=
(với X, Y, Z, T là 4 kim loại, kim loại ở bên trái trong kí hiệu pin đóng vai trò anode).
Dãy sắp xếp các kim loại theo chiều tăng dần tính khử là
A. Z < X < Y < T. B. X < Y < Z < T. C. Y < T < Z < X. D. T < Z < Y < X.
Câu 4. Hãy chọn giải thích đúng về sự xâm thực của nước mưa với đá vôi và sự tạo thành thạch nhũ trong
các hang động.
A. Do CaO tác dụng với SO
2
và O
2
tạo thành CaSO
4
B. Do sự phân hủy Ca(HCO
3
)
2
→ CaCO
3
+ CO
2
+ H
2
O
C. Do quá trình phản ứng thuận nghịch: CaCO
3
+ H
2
O + CO
2
⇆ Ca(HCO
3
)
2
xảy ra trong 1 thời gian rất lâu.
D. Do phản ứng của CO
2
trong không khí với CaO tạo thành CaCO
3
Câu 5. Số nguyên tử oxygen trong một phân tử ester đơn chức là
A. 2. B. 3. C. 1. D. 4.
Câu 6. Kim loại có những tính chất vật lí chung nào sau đây?
A. Tính dẻo, tính dẫn điện, tính dẫn nhiệt và có ánh kim.
B. Tính dẻo, có ánh kim, rất cứng.
C. Tính dẻo, tính dẫn điện, nhiệt độ nóng chảy cao.
D. Tính dẻo, tính dẫn điện, có khối lượng riêng lớn và có ánh kim.
Câu 7. X là một kim loại có độ cứng cao nhất trong các kim loại. Người ta dùng X để chế tạo các loại thép
không gỉ. X là kim loại nào sau đây?
A. Chromium. B. Tungsten. C. Osmium. D. Titanium.
Câu 8. Khi thế thay thế nguyên tử hydrogen trong ammonia bằng gốc hydrocarbon ta thu được hợp chất
nào sau đây?
A. Carbohydrate. B. Amine. C. Ester. D. Carboxylic acid.
Câu 9. Nhúng dây kim loại platinum vào ống nghiệm chứa dung dịch NaCl bão hoà rồi hơ nóng đầu dây
trên ngọn lửa đèn khí sẽ thấy ngọn lửa có màu
A. đỏ tía. B. đỏ cam. C. tím nhạt. D. vàng.
Mã đề thi:

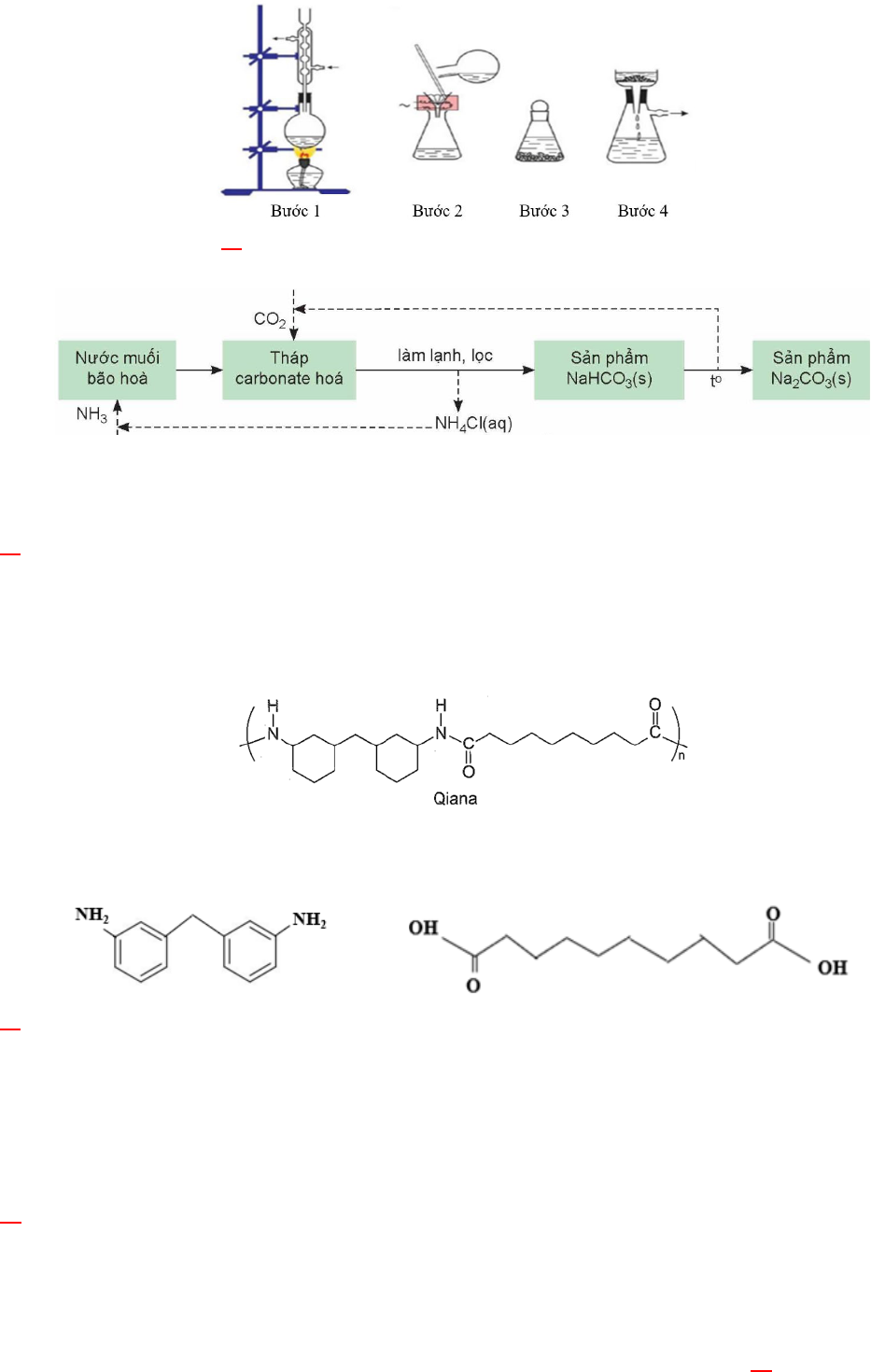
Câu 10. Hình vẽ dưới đây mô tả các bước tiến hành của phương pháp tách biệt và tinh chế nào?
A. Chiết. B. Kết tinh. C. Sắc kí cột. D. Chưng cất.
Câu 11. Quá trình Solvay đóng vai trò quan trọng trong công nghiệp để sản xuất NaHCO
3
và Na
2
CO
3
.
Quá trình Solvay là một ví dụ về quy trình tuần hoàn trong ngành công nghiệp hóa học
Phát biểu nào sau đây sai?
A. Nguyên liệu chính của quá trình Solvay là đá vôi, muối ăn, ammonia, nước.
B. Dựa trên tính lưỡng tính của NaHCO
3
để chuyển hoá chất này thành Na
2
CO
3
.
C. Quá trình Solvay đã tái sử dụng các sản phẩm trung gian như NH
3
và CO
2
.
D. NaHCO
3
được tách biệt khỏi hệ phản ứng bằng phương pháp kết tinh.
Câu 12. Qiana là tên thương mại của một loại tơ nylon được sử dụng để sản xuất vải lụa chống nhăn cao
cấp. Qiana có công thức cấu tạo sau đây:
Nhận xét nào sau đây đúng?
A. Các monomer dùng để tổng hợp Qiana có cấu tạo như sau:
và
B. Tơ này kém bền trong môi trường acid hoặc base mạnh.
C. Tơ nylon làm từ tơ Qiana thuộc loại tơ nhân tạo.
D. Qiana thuộc loại loại polyamide được điều chế từ phản ứng trùng hợp các monomer đa chức tương ứng.
Câu 13. Trong quá trình pin điện hoá Zn – Ag hoạt động, ta nhận thấy
A. khối lượng của điện cực Zn tăng.
B. khối lượng của điện cực Ag giảm.
C. nồng độ của ion Zn
2+
trong dung dịch tăng.
D. nồng độ của ion Ag
+
trong dung dịch tăng.
Câu 14. Xét cân bằng trong dung dịch gồm NH
4
Cl 0,10M và NH
3
0,05M ở 25
0
C:
NH
3
+ H
2
O ⇌ NH
4
+
+ OH
-
K
c
= 1,74.10
-5
Bỏ qua sự phân li của nước. Xác định giá trị pH của dung dịch trên
A. 2,5. B. 6,7. C. 5,06. D. 8,94.

Câu 15. Trong phân tử amylose có chứa loại liên kết nào sau đây?
A. α-1,4-glycoside. B. β-1,6-glycoside. C. β-1,4-glycoside. D. α-1,6-glycoside.
Câu 16. Nguyên tố X thuộc nhóm IIA. Cấu hình của X có tổng số electron các phân lớp p là 12. X là nguyên
tố nào sau đây?
A. Be. B. Ca. C. Mg. D. Ba.
Câu 17. Xét phản ứng giữa methane với chlorine:
CH
4
+ Cl
2
askt
→
CH
3
Cl + HCl
Phản ứng xảy ra theo cơ chế gốc tự do, trong đó giai đoạn phát triển mạch có sự hình thành các gốc tự
do
3
CH
•
và
Cl
•
. Giai đoạn tắt mạch có sự kết hợp 2 gốc tự do nói trên, tạo thành CH
3
Cl như sau
3
CH
•
+
Cl
•
→
CH
3
Cl
Bên cạnh sản phẩm thế mong muốn CH
3
Cl, phản ứng còn tạo sản phẩm phụ nào dưới đây?
A. C
2
H
2
. B. C
2
H
4
. C. C
2
H
6
. D. C
2
H
5
OH.
Câu 18. Khi thủy phân CH
3
COOC
2
H
5
bằng dung dịch NaOH dư thì sản phẩm của phản ứng là
A. CH
3
COONa và C
2
H
5
OH. B. C
2
H
5
COOH và CH
3
ONa.
C. CH
3
COOH và C
2
H
5
OH. D. CH
3
COONa và C
2
H
5
ONa.
Phần II. Thí sinh trả lời từ câu 1 đến câu 4. Trong mỗi ý a), b), c). d) ở mỗi câu, thí sinh chọn đúng hoặc sai.
Câu 1. Cho pin điện hoá có cấu tạo như sau:
a) Thế điện cực chuẩn
E
2
o
Zn / Zn
0, 76V
+
= −
.
b) Khi pin hoạt động, ion âm trong cầu muối di chuyển về phía điện cực hydrogen.
c) Tại điện cực dương xảy ra quá trình khử ion H
+
(aq) thành khí H
2
(g).
d) Phản ứng xảy ra trong pin là: H
2
(g) + Zn
2+
(aq)
→
Zn(s) + 2H
+
(aq).
Câu 2. Thí nghiệm nghiên cứu ảnh hưởng của nhiệt độ tới sự chuyển dịch cân bằng của phản ứng:
CH
3
COONa + H
2
O ⇌ CH
3
COOH + NaOH Δ
r
H
o
298
> 0.
- Chuẩn bị: dung dịch CH
3
COONa 0,5M; phenolphthalein; cốc nước nóng, cốc nước đá, ba ống nghiệm
- Tiến hành: Cho khoảng 10 mL dung dịch CH
3
COONa 0,5M vào cốc thuỷ tinh, thêm 1-2 giọt
phenolphthalein, khuấy đều. Chia dung dịch vào 3 ống nghiệm với thể tích gần bằng nhau
+ Ống nghiệm (1) để so sánh.
+ Ngâm ống nghiệm (2) vào cốc nước đá trong khoảng 1 – 2 phút.
+ Ngâm ống nghiệm (3) vào cốc nước nóng trong khoảng 1 – 2 phút.
a) Ở cân bằng trên, phản ứng thuận toả nhiệt, phản ứng nghịch thu nhiệt.
Đề thi thử tốt nghiệp môn Hóa Sở Quảng Ninh
Đề thi thử tốt nghiệp THPT Quốc gia 2025 môn Hóa Sở GD&ĐT Quảng Ninh có đáp án được VnDoc.com tổng hợp và xin gửi tới bạn đọc cùng tham khảo. Đề thi được biên soạn theo cấu trúc đề thi mới. Đề thi gồm có 18 câu hỏi trắc nghiệm nhiều phương án lựa chọn, 4 câu hỏi trắc nghiệm đúng sai và 6 câu hỏi trắc nghiệm trả lời ngắn. Thí sinh làm bài trong thời gian 50 phút. Đề có đáp án và lời giải chi tiết kèm theo. Mời các bạn cùng theo dõi đề thi dưới đây để có thêm tài liệu ôn thi kì Thi THPT Quốc gia sắp tới nhé.